Номер 347, страница 105 - гдз по алгебре 9 класс учебник Солтан, Солтан

Авторы: Солтан Г. Н., Солтан А. Е., Жумадилова А. Ж.
Тип: Учебник
Издательство: Кокшетау
Год издания: 2019 - 2025
Цвет обложки:
ISBN: 978-601-317-424-2
Рекомендовано Министерством образования и науки Республики Казахстан
Популярные ГДЗ в 9 классе
14. Метод математической индукции. III. Последовательности - номер 347, страница 105.
№347 (с. 105)
Условие. №347 (с. 105)
скриншот условия

347. Для последовательности $(a_n)$, заданной перечислением ее членов, докажите формулу суммы $n$ первых членов:
а) $S_n = \left(\frac{n(n+1)}{2}\right)^2$, если $(a_n)$: $1^3; 2^3; \dots, n^3;$
б) $S_n = 2n^2(n+1)^2$, если $(a_n)$: $2^3; 4^3; \dots, (2n)^3.$
Решение. №347 (с. 105)


Решение 2 (rus). №347 (с. 105)
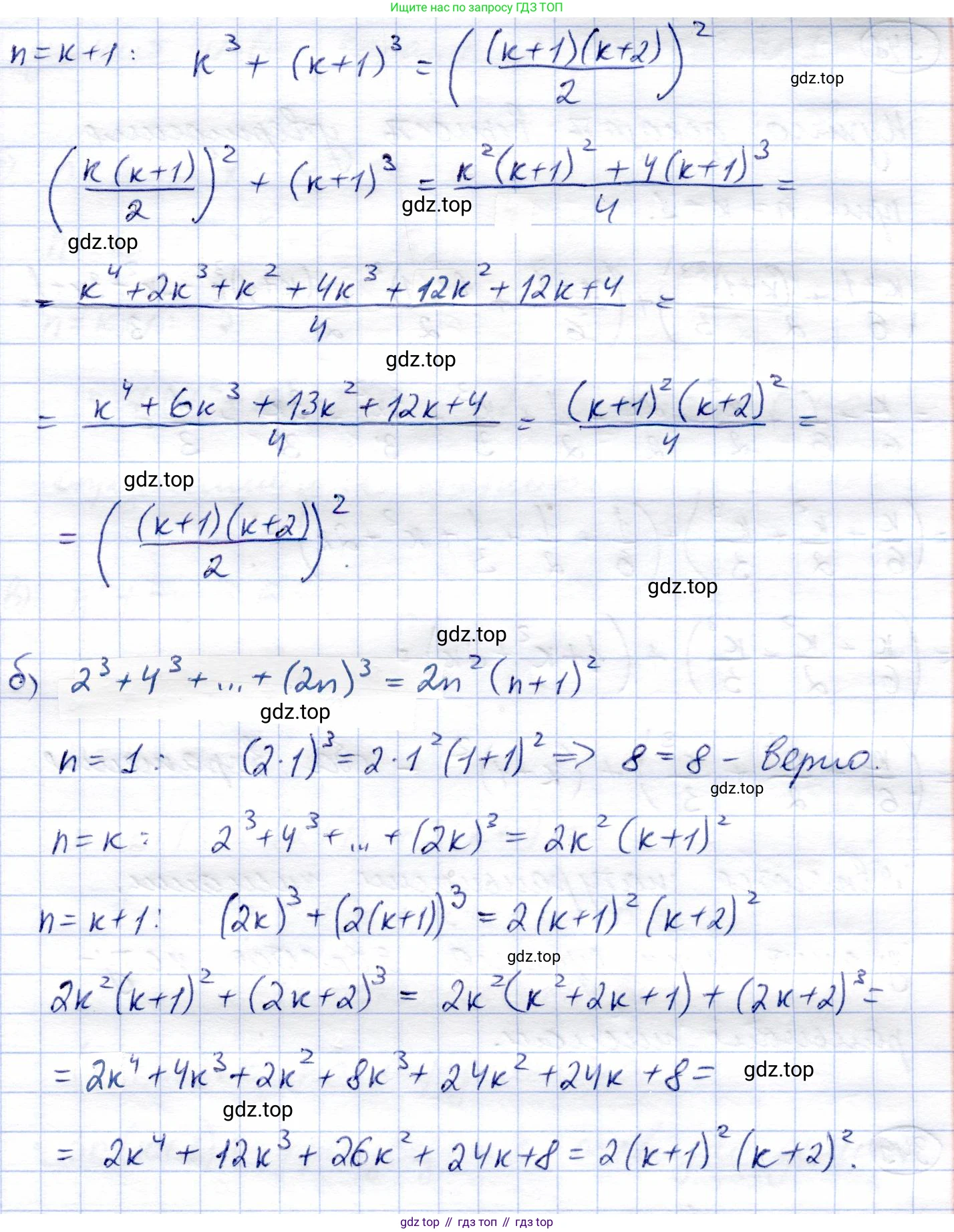
а) Для доказательства формулы $S_n = \left(\frac{n(n+1)}{2}\right)^2$ для последовательности $a_n = n^3$, где $S_n = 1^3 + 2^3 + \dots + n^3$, воспользуемся методом математической индукции.
1. База индукции. Проверим справедливость утверждения для $n=1$.
Левая часть: $S_1 = 1^3 = 1$.
Правая часть: $\left(\frac{1(1+1)}{2}\right)^2 = \left(\frac{2}{2}\right)^2 = 1^2 = 1$.
Левая и правая части равны, следовательно, формула верна для $n=1$.
2. Индукционное предположение. Предположим, что формула верна для некоторого натурального числа $k \ge 1$. То есть, выполняется равенство:
$S_k = 1^3 + 2^3 + \dots + k^3 = \left(\frac{k(k+1)}{2}\right)^2$.
3. Индукционный шаг. Докажем, что формула верна для $n=k+1$. Нам нужно доказать, что $S_{k+1} = \left(\frac{(k+1)(k+2)}{2}\right)^2$.
Сумма для $k+1$ членов выглядит так:
$S_{k+1} = 1^3 + 2^3 + \dots + k^3 + (k+1)^3 = S_k + (k+1)^3$.
Используем индукционное предположение для $S_k$:
$S_{k+1} = \left(\frac{k(k+1)}{2}\right)^2 + (k+1)^3 = \frac{k^2(k+1)^2}{4} + (k+1)^3$.
Вынесем общий множитель $(k+1)^2$ за скобки:
$S_{k+1} = (k+1)^2 \left( \frac{k^2}{4} + (k+1) \right)$.
Приведем выражение в скобках к общему знаменателю:
$S_{k+1} = (k+1)^2 \left( \frac{k^2 + 4(k+1)}{4} \right) = (k+1)^2 \left( \frac{k^2 + 4k + 4}{4} \right)$.
Выражение в числителе $k^2 + 4k + 4$ является полным квадратом $(k+2)^2$. Подставим его обратно:
$S_{k+1} = (k+1)^2 \frac{(k+2)^2}{4} = \left( \frac{(k+1)(k+2)}{2} \right)^2$.
Мы получили требуемое выражение для $S_{k+1}$. Таким образом, по принципу математической индукции, формула верна для всех натуральных $n$.
Ответ: Что и требовалось доказать.
б) Требуется доказать формулу $S_n = 2n^2(n+1)^2$ для последовательности $a_n$ с членами $2^3, 4^3, \dots, (2n)^3$.
Сумма $n$ первых членов этой последовательности имеет вид:
$S_n = 2^3 + 4^3 + 6^3 + \dots + (2n)^3$.
Каждый член этой суммы можно представить в виде $(2k)^3$, где $k$ принимает значения от $1$ до $n$.
$S_n = \sum_{k=1}^{n} (2k)^3 = \sum_{k=1}^{n} 2^3 \cdot k^3 = \sum_{k=1}^{n} 8k^3$.
Вынесем постоянный множитель $8$ за знак суммы:
$S_n = 8 \sum_{k=1}^{n} k^3 = 8(1^3 + 2^3 + \dots + n^3)$.
Сумма кубов в скобках нам известна из пункта а):
$1^3 + 2^3 + \dots + n^3 = \left(\frac{n(n+1)}{2}\right)^2$.
Подставим это выражение в нашу формулу для $S_n$:
$S_n = 8 \cdot \left(\frac{n(n+1)}{2}\right)^2 = 8 \cdot \frac{n^2(n+1)^2}{4}$.
Сокращая $8$ и $4$, получаем:
$S_n = 2n^2(n+1)^2$.
Формула доказана.
Ответ: Что и требовалось доказать.
Другие задания:
Помогло решение? Оставьте отзыв в комментариях ниже.
Присоединяйтесь к Телеграм-группе @top_gdz
ПрисоединитьсяМы подготовили для вас ответ c подробным объяснением домашего задания по алгебре за 9 класс, для упражнения номер 347 расположенного на странице 105 к учебнику 2019 года издания для учащихся школ и гимназий.
Теперь на нашем сайте ГДЗ.ТОП вы всегда легко и бесплатно найдёте условие с правильным ответом на вопрос «Как решить ДЗ» и «Как сделать» задание по алгебре к упражнению №347 (с. 105), авторов: Солтан (Генадий Николаевич), Солтан (Алла Евгеньевна), Жумадилова (Аманбала Жумадиловна), учебного пособия издательства Кокшетау.