Номер 354, страница 106 - гдз по алгебре 9 класс учебник Солтан, Солтан

Авторы: Солтан Г. Н., Солтан А. Е., Жумадилова А. Ж.
Тип: Учебник
Издательство: Кокшетау
Год издания: 2019 - 2025
Цвет обложки:
ISBN: 978-601-317-424-2
Рекомендовано Министерством образования и науки Республики Казахстан
Популярные ГДЗ в 9 классе
14. Метод математической индукции. III. Последовательности - номер 354, страница 106.
№354 (с. 106)
Условие. №354 (с. 106)
скриншот условия

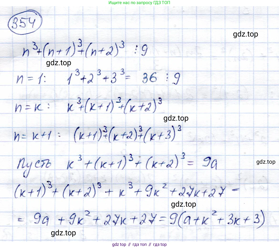
354. Докажите, что сумма кубов трех последовательных натуральных чисел делится на 9.
Решение. №354 (с. 106)

Решение 2 (rus). №354 (с. 106)
Пусть три последовательных натуральных числа равны $n-1$, $n$ и $n+1$, где $n$ — натуральное число и $n \ge 2$ (чтобы все числа были натуральными, наименьшая тройка: 1, 2, 3).
Запишем сумму их кубов $S$ и упростим ее.$S = (n-1)^3 + n^3 + (n+1)^3$
Используя формулы сокращенного умножения для куба разности и куба суммы, $(a \pm b)^3 = a^3 \pm 3a^2b + 3ab^2 \pm b^3$, раскроем скобки:$S = (n^3 - 3n^2 + 3n - 1) + n^3 + (n^3 + 3n^2 + 3n + 1)$
Приведя подобные слагаемые, получим:$S = (n^3 + n^3 + n^3) + (-3n^2 + 3n^2) + (3n + 3n) + (-1 + 1) = 3n^3 + 6n$
Вынесем общий множитель $3n$ за скобки:$S = 3n(n^2 + 2)$
Чтобы доказать, что $S$ делится на 9, необходимо показать, что выражение $n(n^2 + 2)$ делится на 3.Преобразуем выражение $n(n^2 + 2)$:$n(n^2 + 2) = n(n^2 - 1 + 3) = n((n-1)(n+1) + 3) = (n-1)n(n+1) + 3n$
Полученное выражение является суммой двух слагаемых: $(n-1)n(n+1)$ и $3n$.
Первое слагаемое, $(n-1)n(n+1)$, — это произведение трех последовательных целых чисел. Среди любых трех последовательных целых чисел одно обязательно делится на 3, поэтому их произведение также делится на 3.
Второе слагаемое, $3n$, очевидно делится на 3.
Поскольку оба слагаемых делятся на 3, их сумма $(n-1)n(n+1) + 3n$ также делится на 3. Следовательно, выражение $n(n^2 + 2)$ делится на 3.
Итак, мы доказали, что $n(n^2 + 2)$ делится на 3. Это означает, что $n(n^2 + 2) = 3k$ для некоторого целого числа $k$.Тогда исходная сумма $S$ может быть записана как:$S = 3 \cdot (n(n^2+2)) = 3 \cdot (3k) = 9k$
Это выражение делится на 9 для любого целого $k$. Таким образом, мы доказали, что сумма кубов трех последовательных натуральных чисел всегда делится на 9.
Ответ: Утверждение доказано.
Другие задания:
Помогло решение? Оставьте отзыв в комментариях ниже.
Присоединяйтесь к Телеграм-группе @top_gdz
ПрисоединитьсяМы подготовили для вас ответ c подробным объяснением домашего задания по алгебре за 9 класс, для упражнения номер 354 расположенного на странице 106 к учебнику 2019 года издания для учащихся школ и гимназий.
Теперь на нашем сайте ГДЗ.ТОП вы всегда легко и бесплатно найдёте условие с правильным ответом на вопрос «Как решить ДЗ» и «Как сделать» задание по алгебре к упражнению №354 (с. 106), авторов: Солтан (Генадий Николаевич), Солтан (Алла Евгеньевна), Жумадилова (Аманбала Жумадиловна), учебного пособия издательства Кокшетау.