Занимательные задачи 2, страница 100 - гдз по алгебре 9 класс учебник Солтан, Солтан

Авторы: Солтан Г. Н., Солтан А. Е., Жумадилова А. Ж.
Тип: Учебник
Издательство: Кокшетау
Год издания: 2019 - 2025
Цвет обложки:
ISBN: 978-601-317-424-2
Рекомендовано Министерством образования и науки Республики Казахстан
Популярные ГДЗ в 9 классе
13. Числовая последовательность, способы ее задания и свойства. III. Последовательности - страница 100.
Занимательные задачи 2 (с. 100)
Условие. Занимательные задачи 2 (с. 100)
скриншот условия

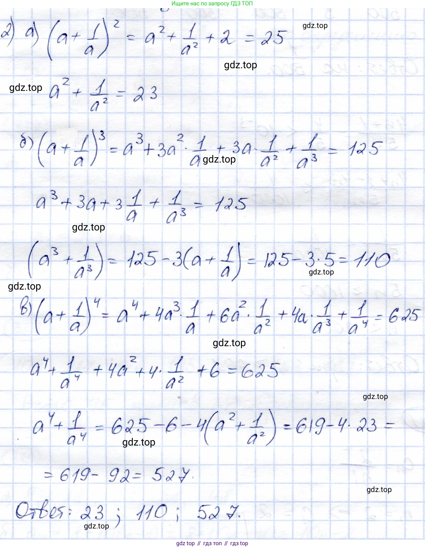
2) Известно, что $a + \frac{1}{a} = 5$. Запишите последовательность чисел, являющихся значениями выражений: $a^2 + \frac{1}{a^2}$; $a^3 + \frac{1}{a^3}$; $a^4 + \frac{1}{a^4}$.
Решение. Занимательные задачи 2 (с. 100)

Решение 2 (rus). Занимательные задачи 2 (с. 100)
а) Вычислим значение выражения по действиям. Сначала преобразуем многоэтажную дробь.
1. Начнем с самого нижнего знаменателя: $2 + \frac{1}{2}$.
$2 + \frac{1}{2} = \frac{4}{2} + \frac{1}{2} = \frac{5}{2}$
2. Подставим полученное значение в следующий знаменатель: $2 + \frac{1}{2 + \frac{1}{2}}$.
$2 + \frac{1}{\frac{5}{2}} = 2 + \frac{2}{5} = \frac{10}{5} + \frac{2}{5} = \frac{12}{5}$
3. Теперь вычислим значение всей первой дроби:
$\frac{1}{2 + \frac{1}{2 + \frac{1}{2}}} = \frac{1}{\frac{12}{5}} = \frac{5}{12}$
4. Теперь упростим вторую дробь $\frac{1717}{2424}$. Заметим, что числитель и знаменатель можно сократить на 101:
$\frac{1717}{2424} = \frac{17 \times 101}{24 \times 101} = \frac{17}{24}$
5. Выполним вычитание, приведя дроби к общему знаменателю 24:
$\frac{5}{12} - \frac{17}{24} = \frac{5 \times 2}{12 \times 2} - \frac{17}{24} = \frac{10}{24} - \frac{17}{24} = \frac{10 - 17}{24} = -\frac{7}{24}$
Ответ: $-\frac{7}{24}$
б) Для вычисления выражения $\sqrt{\sqrt{\sqrt{390625}}}$ можно пойти двумя путями.
Способ 1: Использование свойства корней.
Свойство вложенных корней гласит: $\sqrt[n]{\sqrt[m]{a}} = \sqrt[n \cdot m]{a}$. Три вложенных квадратных корня (корень 2-й степени) эквивалентны корню степени $2 \times 2 \times 2 = 8$.
$\sqrt{\sqrt{\sqrt{390625}}} = \sqrt[8]{390625}$
Число 390625 оканчивается на 5, поэтому можно предположить, что это степень числа 5. Проверим:
$5^4 = 625$
$5^8 = (5^4)^2 = 625^2 = 390625$
Значит, $\sqrt[8]{390625} = \sqrt[8]{5^8} = 5$.
Способ 2: Последовательное извлечение корней.
1. Сначала извлечем корень из 390625. Так как $600^2 = 360000$ и $630^2 = 396900$, а число оканчивается на 5, искомый корень — 625. Проверка: $625 \times 625 = 390625$.
Теперь выражение выглядит так: $\sqrt{\sqrt{625}}$.
2. Далее извлечем корень из 625. Это известный квадрат числа 25.
$\sqrt{625} = 25$
Остается вычислить: $\sqrt{25}$.
3. $\sqrt{25} = 5$.
Оба способа приводят к одному и тому же результату.
Ответ: $5$
Другие задания:
Помогло решение? Оставьте отзыв в комментариях ниже.
Присоединяйтесь к Телеграм-группе @top_gdz
ПрисоединитьсяМы подготовили для вас ответ c подробным объяснением домашего задания по алгебре за 9 класс, для упражнения Занимательные задачи 2 расположенного на странице 100 к учебнику 2019 года издания для учащихся школ и гимназий.
Теперь на нашем сайте ГДЗ.ТОП вы всегда легко и бесплатно найдёте условие с правильным ответом на вопрос «Как решить ДЗ» и «Как сделать» задание по алгебре к упражнению Занимательные задачи 2 (с. 100), авторов: Солтан (Генадий Николаевич), Солтан (Алла Евгеньевна), Жумадилова (Аманбала Жумадиловна), учебного пособия издательства Кокшетау.