Номер 373, страница 113 - гдз по алгебре 9 класс учебник Солтан, Солтан

Авторы: Солтан Г. Н., Солтан А. Е., Жумадилова А. Ж.
Тип: Учебник
Издательство: Кокшетау
Год издания: 2019 - 2025
Цвет обложки:
ISBN: 978-601-317-424-2
Рекомендовано Министерством образования и науки Республики Казахстан
Популярные ГДЗ в 9 классе
15. Арифметическая профессия и ее свойства. III. Последовательности - номер 373, страница 113.
№373 (с. 113)
Условие. №373 (с. 113)
скриншот условия

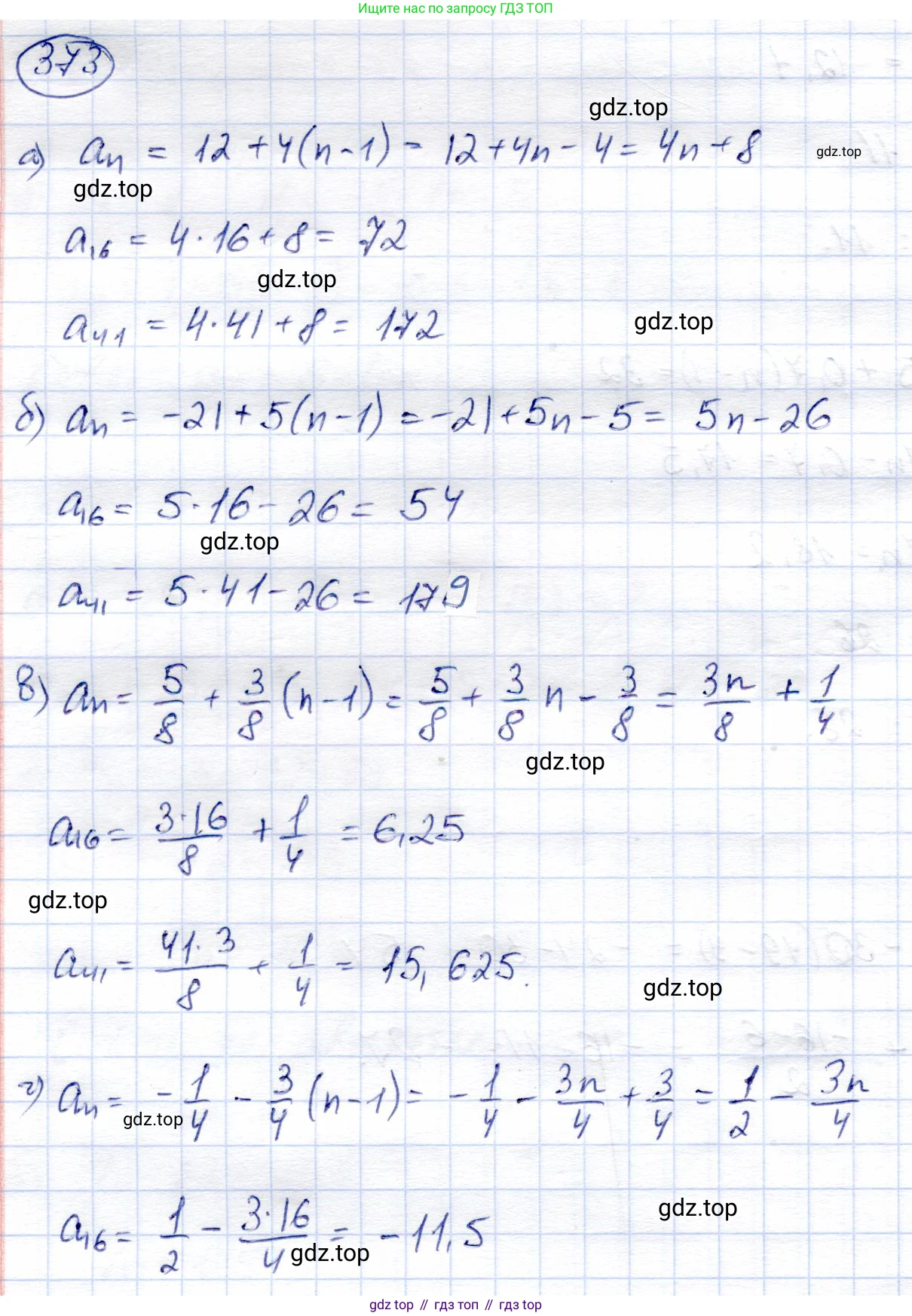
373. Найдите шестнадцатый, сорок первый и $n$-й члены арифметической прогрессии:
а) 12; 16; ...;
б) -21; -16; ...;
в) $\frac{5}{8}$; 1; ...;
г) $-\frac{1}{4}$; -1; ....
Решение. №373 (с. 113)


Решение 2 (rus). №373 (с. 113)
Для решения задачи воспользуемся формулой n-го члена арифметической прогрессии: $a_n = a_1 + (n-1)d$, где $a_1$ — первый член прогрессии, а $d$ — её разность.
а) Для прогрессии 12; 16; ... имеем:
Первый член $a_1 = 12$.
Разность прогрессии $d = a_2 - a_1 = 16 - 12 = 4$.
Найдем шестнадцатый член прогрессии:
$a_{16} = a_1 + (16-1)d = 12 + 15 \cdot 4 = 12 + 60 = 72$.
Найдем сорок первый член прогрессии:
$a_{41} = a_1 + (41-1)d = 12 + 40 \cdot 4 = 12 + 160 = 172$.
Найдем n-й член прогрессии:
$a_n = a_1 + (n-1)d = 12 + (n-1) \cdot 4 = 12 + 4n - 4 = 4n + 8$.
Ответ: $a_{16}=72$; $a_{41}=172$; $a_n=4n+8$.
б) Для прогрессии -21; -16; ... имеем:
Первый член $a_1 = -21$.
Разность прогрессии $d = a_2 - a_1 = -16 - (-21) = -16 + 21 = 5$.
Найдем шестнадцатый член прогрессии:
$a_{16} = a_1 + (16-1)d = -21 + 15 \cdot 5 = -21 + 75 = 54$.
Найдем сорок первый член прогрессии:
$a_{41} = a_1 + (41-1)d = -21 + 40 \cdot 5 = -21 + 200 = 179$.
Найдем n-й член прогрессии:
$a_n = a_1 + (n-1)d = -21 + (n-1) \cdot 5 = -21 + 5n - 5 = 5n - 26$.
Ответ: $a_{16}=54$; $a_{41}=179$; $a_n=5n-26$.
в) Для прогрессии $\frac{5}{8}$; 1; ... имеем:
Первый член $a_1 = \frac{5}{8}$.
Разность прогрессии $d = a_2 - a_1 = 1 - \frac{5}{8} = \frac{8}{8} - \frac{5}{8} = \frac{3}{8}$.
Найдем шестнадцатый член прогрессии:
$a_{16} = a_1 + (16-1)d = \frac{5}{8} + 15 \cdot \frac{3}{8} = \frac{5}{8} + \frac{45}{8} = \frac{50}{8} = \frac{25}{4}$.
Найдем сорок первый член прогрессии:
$a_{41} = a_1 + (41-1)d = \frac{5}{8} + 40 \cdot \frac{3}{8} = \frac{5}{8} + \frac{120}{8} = \frac{125}{8}$.
Найдем n-й член прогрессии:
$a_n = a_1 + (n-1)d = \frac{5}{8} + (n-1) \cdot \frac{3}{8} = \frac{5 + 3(n-1)}{8} = \frac{5 + 3n - 3}{8} = \frac{3n+2}{8}$.
Ответ: $a_{16}=\frac{25}{4}$; $a_{41}=\frac{125}{8}$; $a_n=\frac{3n+2}{8}$.
г) Для прогрессии $-\frac{1}{4}$; -1; ... имеем:
Первый член $a_1 = -\frac{1}{4}$.
Разность прогрессии $d = a_2 - a_1 = -1 - (-\frac{1}{4}) = -1 + \frac{1}{4} = -\frac{3}{4}$.
Найдем шестнадцатый член прогрессии:
$a_{16} = a_1 + (16-1)d = -\frac{1}{4} + 15 \cdot (-\frac{3}{4}) = -\frac{1}{4} - \frac{45}{4} = -\frac{46}{4} = -\frac{23}{2}$.
Найдем сорок первый член прогрессии:
$a_{41} = a_1 + (41-1)d = -\frac{1}{4} + 40 \cdot (-\frac{3}{4}) = -\frac{1}{4} - \frac{120}{4} = -\frac{121}{4}$.
Найдем n-й член прогрессии:
$a_n = a_1 + (n-1)d = -\frac{1}{4} + (n-1) \cdot (-\frac{3}{4}) = \frac{-1 - 3(n-1)}{4} = \frac{-1 - 3n + 3}{4} = \frac{2-3n}{4}$.
Ответ: $a_{16}=-\frac{23}{2}$; $a_{41}=-\frac{121}{4}$; $a_n=\frac{2-3n}{4}$.
Другие задания:
Помогло решение? Оставьте отзыв в комментариях ниже.
Присоединяйтесь к Телеграм-группе @top_gdz
ПрисоединитьсяМы подготовили для вас ответ c подробным объяснением домашего задания по алгебре за 9 класс, для упражнения номер 373 расположенного на странице 113 к учебнику 2019 года издания для учащихся школ и гимназий.
Теперь на нашем сайте ГДЗ.ТОП вы всегда легко и бесплатно найдёте условие с правильным ответом на вопрос «Как решить ДЗ» и «Как сделать» задание по алгебре к упражнению №373 (с. 113), авторов: Солтан (Генадий Николаевич), Солтан (Алла Евгеньевна), Жумадилова (Аманбала Жумадиловна), учебного пособия издательства Кокшетау.