Номер 368, страница 112 - гдз по алгебре 9 класс учебник Солтан, Солтан

Авторы: Солтан Г. Н., Солтан А. Е., Жумадилова А. Ж.
Тип: Учебник
Издательство: Кокшетау
Год издания: 2019 - 2025
Цвет обложки:
ISBN: 978-601-317-424-2
Рекомендовано Министерством образования и науки Республики Казахстан
Популярные ГДЗ в 9 классе
15. Арифметическая профессия и ее свойства. III. Последовательности - номер 368, страница 112.
№368 (с. 112)
Условие. №368 (с. 112)
скриншот условия

368. Запишите формулу $n$-го члена арифметической прогрессии $(x_n)$:
а) 1; 6; 11; 16; ...;
б) 25; 21; 17; 13; ...;
в) -4; -6; -8; -10; ...;
г) 1; -4; -9; -14; ....
Решение. №368 (с. 112)


Решение 2 (rus). №368 (с. 112)
Для нахождения формулы n-го члена арифметической прогрессии используется формула $x_n = x_1 + (n-1)d$, где $x_1$ — первый член прогрессии, а $d$ — её разность.
а) Дана последовательность: 1; 6; 11; 16; ...
Первый член прогрессии $x_1 = 1$.
Найдем разность прогрессии $d$, вычтя из второго члена первый:
$d = 6 - 1 = 5$.
Подставим найденные значения $x_1$ и $d$ в формулу n-го члена:
$x_n = 1 + (n-1) \cdot 5$
$x_n = 1 + 5n - 5$
$x_n = 5n - 4$.
Ответ: $x_n = 5n - 4$.
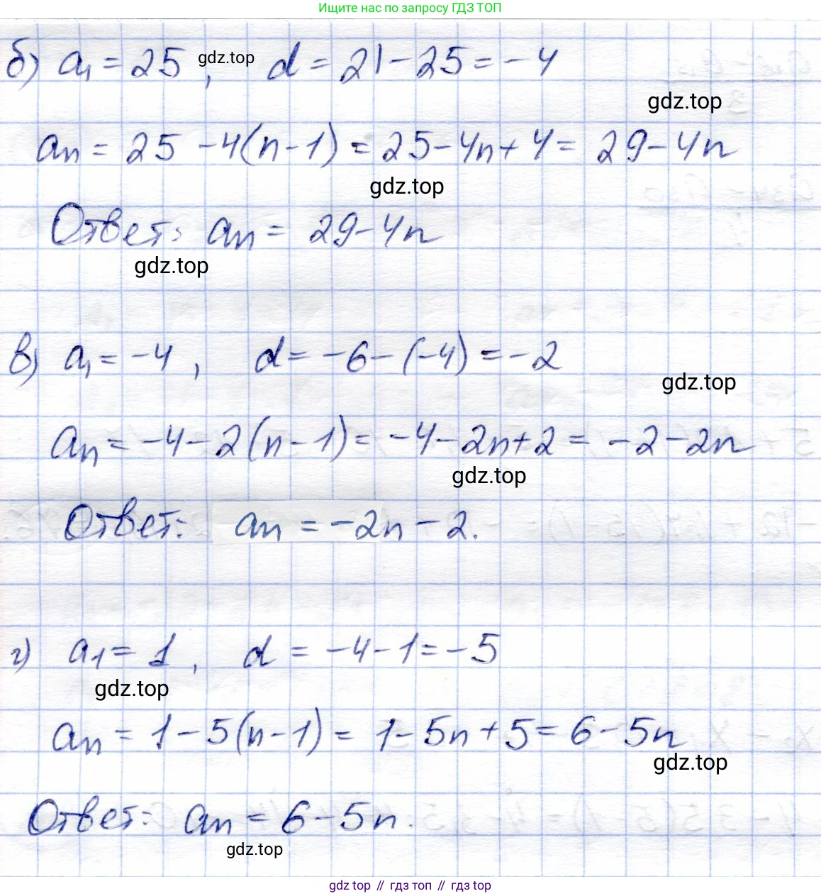
б) Дана последовательность: 25; 21; 17; 13; ...
Первый член прогрессии $x_1 = 25$.
Найдем разность прогрессии $d$:
$d = 21 - 25 = -4$.
Подставим значения $x_1$ и $d$ в формулу:
$x_n = 25 + (n-1) \cdot (-4)$
$x_n = 25 - 4n + 4$
$x_n = 29 - 4n$.
Ответ: $x_n = 29 - 4n$.
в) Дана последовательность: -4; -6; -8; -10; ...
Первый член прогрессии $x_1 = -4$.
Найдем разность прогрессии $d$:
$d = -6 - (-4) = -6 + 4 = -2$.
Подставим значения $x_1$ и $d$ в формулу:
$x_n = -4 + (n-1) \cdot (-2)$
$x_n = -4 - 2n + 2$
$x_n = -2n - 2$.
Ответ: $x_n = -2n - 2$.
г) Дана последовательность: 1; -4; -9; -14; ...
Первый член прогрессии $x_1 = 1$.
Найдем разность прогрессии $d$:
$d = -4 - 1 = -5$.
Подставим значения $x_1$ и $d$ в формулу:
$x_n = 1 + (n-1) \cdot (-5)$
$x_n = 1 - 5n + 5$
$x_n = 6 - 5n$.
Ответ: $x_n = 6 - 5n$.
Другие задания:
Помогло решение? Оставьте отзыв в комментариях ниже.
Присоединяйтесь к Телеграм-группе @top_gdz
ПрисоединитьсяМы подготовили для вас ответ c подробным объяснением домашего задания по алгебре за 9 класс, для упражнения номер 368 расположенного на странице 112 к учебнику 2019 года издания для учащихся школ и гимназий.
Теперь на нашем сайте ГДЗ.ТОП вы всегда легко и бесплатно найдёте условие с правильным ответом на вопрос «Как решить ДЗ» и «Как сделать» задание по алгебре к упражнению №368 (с. 112), авторов: Солтан (Генадий Николаевич), Солтан (Алла Евгеньевна), Жумадилова (Аманбала Жумадиловна), учебного пособия издательства Кокшетау.