Номер 378, страница 114 - гдз по алгебре 9 класс учебник Солтан, Солтан

Авторы: Солтан Г. Н., Солтан А. Е., Жумадилова А. Ж.
Тип: Учебник
Издательство: Кокшетау
Год издания: 2019 - 2025
Цвет обложки:
ISBN: 978-601-317-424-2
Рекомендовано Министерством образования и науки Республики Казахстан
Популярные ГДЗ в 9 классе
15. Арифметическая профессия и ее свойства. III. Последовательности - номер 378, страница 114.
№378 (с. 114)
Условие. №378 (с. 114)
скриншот условия

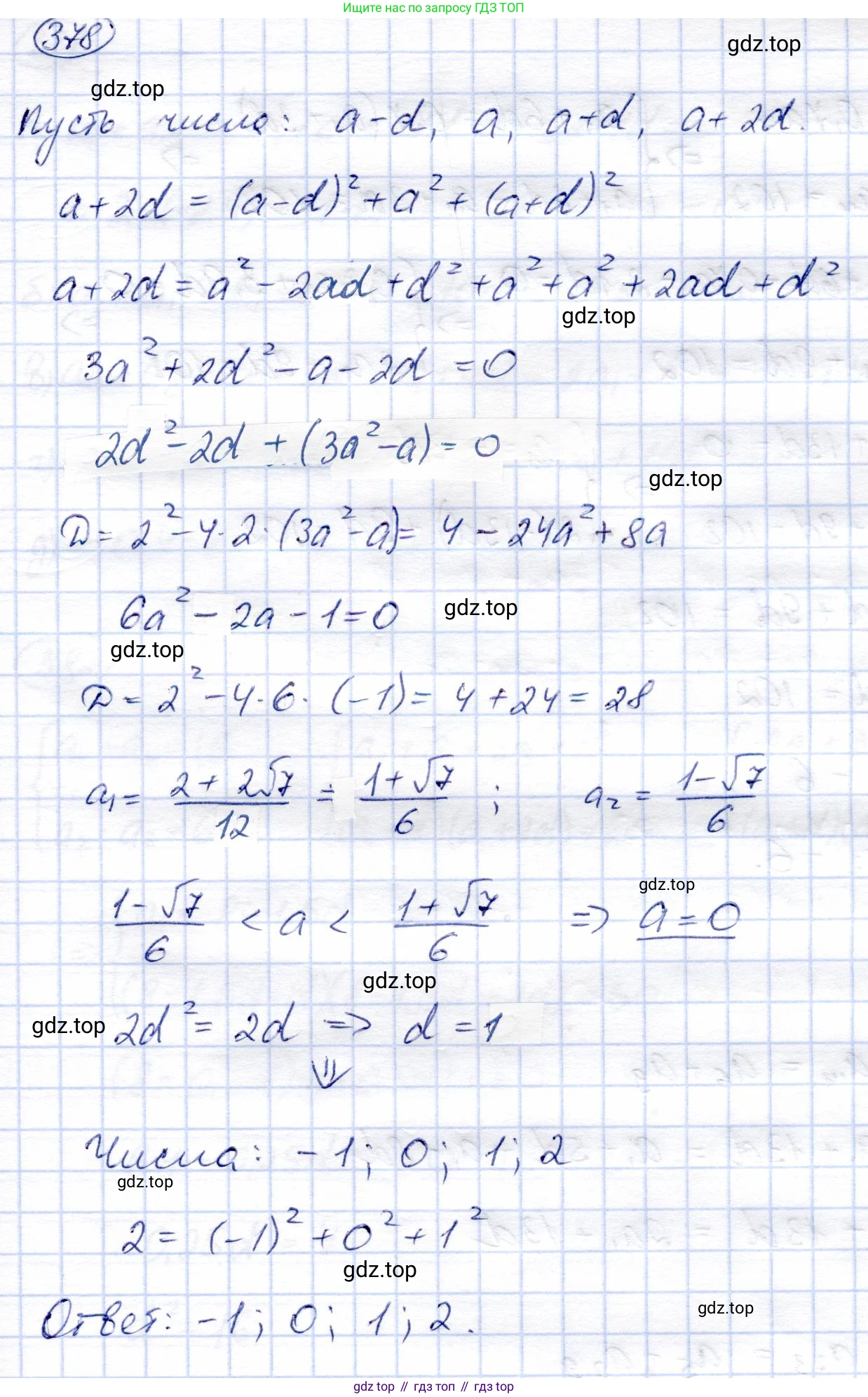
378. Найдите четыре последовательных целых числа, образующих арифметическую прогрессию, если наибольшее из них равно сумме квадратов трех остальных.
Решение. №378 (с. 114)

Решение 2 (rus). №378 (с. 114)
Пусть искомые четыре последовательных целых числа равны $n$, $n+1$, $n+2$ и $n+3$. Эти числа образуют арифметическую прогрессию с разностью $d=1$.
Согласно условию задачи, наибольшее из этих чисел, $n+3$, равно сумме квадратов трех остальных. Составим уравнение на основе этого условия:
$n+3 = n^2 + (n+1)^2 + (n+2)^2$
Раскроем скобки в правой части уравнения, используя формулы квадрата суммы:
$n+3 = n^2 + (n^2 + 2n + 1) + (n^2 + 4n + 4)$
Сгруппируем и приведем подобные слагаемые:
$n+3 = (n^2+n^2+n^2) + (2n+4n) + (1+4)$
$n+3 = 3n^2 + 6n + 5$
Перенесем все члены уравнения в одну сторону, чтобы получить квадратное уравнение вида $an^2+bn+c=0$:
$3n^2 + 6n - n + 5 - 3 = 0$
$3n^2 + 5n + 2 = 0$
Решим полученное квадратное уравнение. Сначала найдем дискриминант $D$ по формуле $D = b^2 - 4ac$:
$D = 5^2 - 4 \cdot 3 \cdot 2 = 25 - 24 = 1$
Так как дискриминант положителен, уравнение имеет два корня. Найдем их по формуле $n = \frac{-b \pm \sqrt{D}}{2a}$:
$n_1 = \frac{-5 + \sqrt{1}}{2 \cdot 3} = \frac{-5 + 1}{6} = \frac{-4}{6} = -\frac{2}{3}$
$n_2 = \frac{-5 - \sqrt{1}}{2 \cdot 3} = \frac{-5 - 1}{6} = \frac{-6}{6} = -1$
По условию задачи мы ищем целые числа, поэтому корень $n_1 = -2/3$ не является решением. Единственный подходящий корень — $n_2 = -1$.
Теперь, зная значение $n$, найдем искомые четыре числа:
Первое число: $n = -1$
Второе число: $n+1 = -1+1 = 0$
Третье число: $n+2 = -1+2 = 1$
Четвертое число: $n+3 = -1+3 = 2$
Таким образом, мы получили последовательность чисел: -1, 0, 1, 2.
Выполним проверку. Наибольшее число в последовательности — это 2. Сумма квадратов трех остальных чисел:
$(-1)^2 + 0^2 + 1^2 = 1 + 0 + 1 = 2$
Так как $2 = 2$, найденные числа удовлетворяют условию задачи.
Ответ: -1, 0, 1, 2.
Другие задания:
Помогло решение? Оставьте отзыв в комментариях ниже.
Присоединяйтесь к Телеграм-группе @top_gdz
ПрисоединитьсяМы подготовили для вас ответ c подробным объяснением домашего задания по алгебре за 9 класс, для упражнения номер 378 расположенного на странице 114 к учебнику 2019 года издания для учащихся школ и гимназий.
Теперь на нашем сайте ГДЗ.ТОП вы всегда легко и бесплатно найдёте условие с правильным ответом на вопрос «Как решить ДЗ» и «Как сделать» задание по алгебре к упражнению №378 (с. 114), авторов: Солтан (Генадий Николаевич), Солтан (Алла Евгеньевна), Жумадилова (Аманбала Жумадиловна), учебного пособия издательства Кокшетау.