Номер 384, страница 114 - гдз по алгебре 9 класс учебник Солтан, Солтан

Авторы: Солтан Г. Н., Солтан А. Е., Жумадилова А. Ж.
Тип: Учебник
Издательство: Кокшетау
Год издания: 2019 - 2025
Цвет обложки:
ISBN: 978-601-317-424-2
Рекомендовано Министерством образования и науки Республики Казахстан
Популярные ГДЗ в 9 классе
15. Арифметическая профессия и ее свойства. III. Последовательности - номер 384, страница 114.
№384 (с. 114)
Условие. №384 (с. 114)
скриншот условия

384. Найдите первый член и разность арифметической прогрессии $a_n$, если:
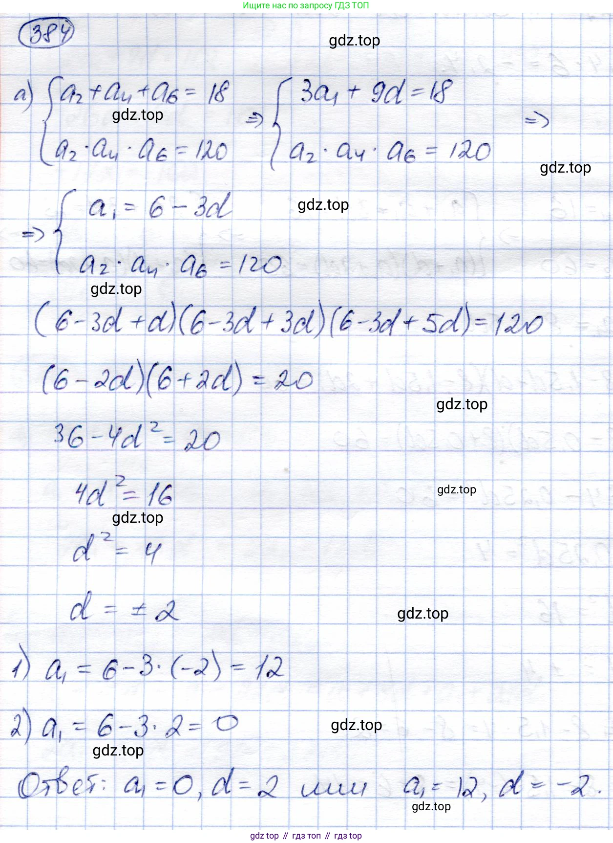
а) $a_2 + a_4 + a_6 = 18$ и $a_2 \cdot a_4 \cdot a_6 = 120;$
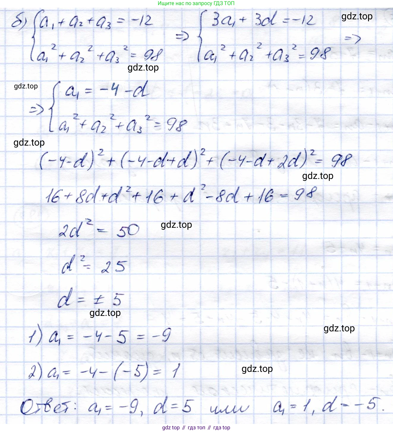
б) $a_1 + a_2 + a_3 = -12$ и $a_1^2 + a_2^2 + a_3^2 = 98.$
Решение. №384 (с. 114)


Решение 2 (rus). №384 (с. 114)
а)
Даны условия для арифметической прогрессии $(a_n)$: $a_2 + a_4 + a_6 = 18$ и $a_2 \cdot a_4 \cdot a_6 = 120$.
Воспользуемся формулой n-го члена арифметической прогрессии $a_n = a_1 + (n-1)d$, где $a_1$ — первый член, а $d$ — разность прогрессии. Выразим члены $a_2, a_4, a_6$ через $a_1$ и $d$:
$a_2 = a_1 + d$
$a_4 = a_1 + 3d$
$a_6 = a_1 + 5d$
Подставим эти выражения в первое уравнение:
$(a_1 + d) + (a_1 + 3d) + (a_1 + 5d) = 18$
$3a_1 + 9d = 18$
Разделив обе части на 3, получим: $a_1 + 3d = 6$.
Левая часть этого уравнения, $a_1 + 3d$, является формулой для $a_4$, следовательно, $a_4 = 6$.
Теперь подставим $a_4 = 6$ во второе уравнение:
$a_2 \cdot 6 \cdot a_6 = 120$, откуда $a_2 \cdot a_6 = 20$.
Выразим $a_2$ и $a_6$ через $a_4$ и $d$:
$a_2 = a_4 - 2d = 6 - 2d$
$a_6 = a_4 + 2d = 6 + 2d$
Подставим эти выражения в уравнение $a_2 \cdot a_6 = 20$:
$(6 - 2d)(6 + 2d) = 20$
$36 - 4d^2 = 20$
$4d^2 = 16$
$d^2 = 4$
Отсюда получаем два возможных значения для разности: $d = 2$ и $d = -2$.
Теперь найдем $a_1$ для каждого значения $d$, используя уравнение $a_1 = 6 - 3d$.
1. Если $d = 2$, то $a_1 = 6 - 3(2) = 0$.
2. Если $d = -2$, то $a_1 = 6 - 3(-2) = 12$.
Таким образом, существуют две прогрессии, удовлетворяющие заданным условиям.
Ответ: $a_1 = 0, d = 2$ или $a_1 = 12, d = -2$.
б)
Даны условия: $a_1 + a_2 + a_3 = -12$ и $a_1^2 + a_2^2 + a_3^2 = 98$.
Выразим члены прогрессии $a_2$ и $a_3$ через $a_1$ и $d$:
$a_2 = a_1 + d$
$a_3 = a_1 + 2d$
Подставим в первое уравнение:
$a_1 + (a_1 + d) + (a_1 + 2d) = -12$
$3a_1 + 3d = -12$
Разделив обе части на 3, получим: $a_1 + d = -4$.
Левая часть этого уравнения, $a_1 + d$, является формулой для $a_2$, следовательно, $a_2 = -4$.
Теперь выразим $a_1$ и $a_3$ через $a_2$ и $d$:
$a_1 = a_2 - d = -4 - d$
$a_3 = a_2 + d = -4 + d$
Подставим эти выражения и значение $a_2 = -4$ во второе уравнение:
$(-4 - d)^2 + (-4)^2 + (-4 + d)^2 = 98$
Раскроем скобки и упростим:
$(16 + 8d + d^2) + 16 + (16 - 8d + d^2) = 98$
$48 + 2d^2 = 98$
$2d^2 = 50$
$d^2 = 25$
Отсюда получаем два возможных значения для разности: $d = 5$ и $d = -5$.
Найдем $a_1$ для каждого случая, используя $a_1 = -4 - d$.
1. Если $d = 5$, то $a_1 = -4 - 5 = -9$.
2. Если $d = -5$, то $a_1 = -4 - (-5) = 1$.
Таким образом, существуют две прогрессии, удовлетворяющие заданным условиям.
Ответ: $a_1 = -9, d = 5$ или $a_1 = 1, d = -5$.
Другие задания:
Помогло решение? Оставьте отзыв в комментариях ниже.
Присоединяйтесь к Телеграм-группе @top_gdz
ПрисоединитьсяМы подготовили для вас ответ c подробным объяснением домашего задания по алгебре за 9 класс, для упражнения номер 384 расположенного на странице 114 к учебнику 2019 года издания для учащихся школ и гимназий.
Теперь на нашем сайте ГДЗ.ТОП вы всегда легко и бесплатно найдёте условие с правильным ответом на вопрос «Как решить ДЗ» и «Как сделать» задание по алгебре к упражнению №384 (с. 114), авторов: Солтан (Генадий Николаевич), Солтан (Алла Евгеньевна), Жумадилова (Аманбала Жумадиловна), учебного пособия издательства Кокшетау.