Номер 388, страница 115 - гдз по алгебре 9 класс учебник Солтан, Солтан

Авторы: Солтан Г. Н., Солтан А. Е., Жумадилова А. Ж.
Тип: Учебник
Издательство: Кокшетау
Год издания: 2019 - 2025
Цвет обложки:
ISBN: 978-601-317-424-2
Рекомендовано Министерством образования и науки Республики Казахстан
Популярные ГДЗ в 9 классе
15. Арифметическая профессия и ее свойства. III. Последовательности - номер 388, страница 115.
№388 (с. 115)
Условие. №388 (с. 115)
скриншот условия

388. Известно, что $x_1$ и $x_2$ — корни уравнения (1), а $x_3$ и $x_4$ — корни уравнения (2), причем числа $x_1$; $x_2$; $x_3$; $x_4$ в указанном порядке составляют арифметическую прогрессию. Найдите $n$ и $m$, если даны уравнения:
а) $x^2 - 7x + n = 0$ (1), $x^2 - 11x + m = 0$ (2);
б) $x^2 - 4x + n = 0$ (1), $x^2 + 14x + m = 0$ (2).
Решение. №388 (с. 115)


Решение 2 (rus). №388 (с. 115)
а)
По условию, $x_1$ и $x_2$ – корни уравнения (1): $x^2 - 7x + n = 0$, а $x_3$ и $x_4$ – корни уравнения (2): $x^2 - 11x + m = 0$. Числа $x_1, x_2, x_3, x_4$ в указанном порядке образуют арифметическую прогрессию.
Применим теорему Виета для обоих уравнений:
Для уравнения (1):
$x_1 + x_2 = 7$
$x_1 \cdot x_2 = n$
Для уравнения (2):
$x_3 + x_4 = 11$
$x_3 \cdot x_4 = m$
Пусть $d$ – разность арифметической прогрессии. Тогда корни можно выразить через первый член $x_1$ и разность $d$:
$x_2 = x_1 + d$
$x_3 = x_1 + 2d$
$x_4 = x_1 + 3d$
Подставим эти выражения в уравнения для сумм корней:
$x_1 + (x_1 + d) = 2x_1 + d = 7$
$(x_1 + 2d) + (x_1 + 3d) = 2x_1 + 5d = 11$
Получим систему из двух линейных уравнений с двумя переменными $x_1$ и $d$:
$\begin{cases} 2x_1 + d = 7 \\ 2x_1 + 5d = 11 \end{cases}$
Вычтем из второго уравнения первое:
$(2x_1 + 5d) - (2x_1 + d) = 11 - 7$
$4d = 4$
$d = 1$
Подставим значение $d=1$ в первое уравнение системы:
$2x_1 + 1 = 7$
$2x_1 = 6$
$x_1 = 3$
Теперь найдем все корни прогрессии:
$x_1 = 3$
$x_2 = 3 + 1 = 4$
$x_3 = 3 + 2 \cdot 1 = 5$
$x_4 = 3 + 3 \cdot 1 = 6$
Осталось найти $n$ и $m$, используя формулы для произведения корней:
$n = x_1 \cdot x_2 = 3 \cdot 4 = 12$
$m = x_3 \cdot x_4 = 5 \cdot 6 = 30$
Ответ: $n = 12, m = 30$.
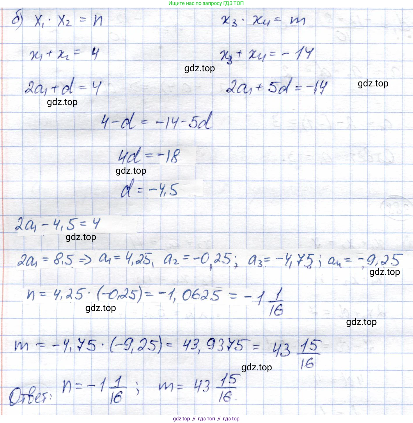
б)
По условию, $x_1$ и $x_2$ – корни уравнения (1): $x^2 - 4x + n = 0$, а $x_3$ и $x_4$ – корни уравнения (2): $x^2 + 14x + m = 0$. Числа $x_1, x_2, x_3, x_4$ в указанном порядке образуют арифметическую прогрессию.
Применим теорему Виета для обоих уравнений:
Для уравнения (1):
$x_1 + x_2 = 4$
$x_1 \cdot x_2 = n$
Для уравнения (2):
$x_3 + x_4 = -14$
$x_3 \cdot x_4 = m$
Пусть $d$ – разность арифметической прогрессии. Выразим корни через $x_1$ и $d$:
$x_2 = x_1 + d$
$x_3 = x_1 + 2d$
$x_4 = x_1 + 3d$
Подставим эти выражения в уравнения для сумм корней:
$x_1 + (x_1 + d) = 2x_1 + d = 4$
$(x_1 + 2d) + (x_1 + 3d) = 2x_1 + 5d = -14$
Получим систему из двух линейных уравнений с двумя переменными $x_1$ и $d$:
$\begin{cases} 2x_1 + d = 4 \\ 2x_1 + 5d = -14 \end{cases}$
Вычтем из второго уравнения первое:
$(2x_1 + 5d) - (2x_1 + d) = -14 - 4$
$4d = -18$
$d = -18/4 = -9/2 = -4.5$
Подставим значение $d=-4.5$ в первое уравнение системы:
$2x_1 - 4.5 = 4$
$2x_1 = 8.5$
$x_1 = 8.5/2 = 17/4 = 4.25$
Теперь найдем все корни прогрессии:
$x_1 = 4.25$
$x_2 = 4.25 + (-4.5) = -0.25$
$x_3 = -0.25 + (-4.5) = -4.75$
$x_4 = -4.75 + (-4.5) = -9.25$
Осталось найти $n$ и $m$, используя формулы для произведения корней:
$n = x_1 \cdot x_2 = 4.25 \cdot (-0.25) = \frac{17}{4} \cdot \left(-\frac{1}{4}\right) = -\frac{17}{16}$
$m = x_3 \cdot x_4 = (-4.75) \cdot (-9.25) = \left(-\frac{19}{4}\right) \cdot \left(-\frac{37}{4}\right) = \frac{703}{16}$
Ответ: $n = -17/16, m = 703/16$.
Другие задания:
Помогло решение? Оставьте отзыв в комментариях ниже.
Присоединяйтесь к Телеграм-группе @top_gdz
ПрисоединитьсяМы подготовили для вас ответ c подробным объяснением домашего задания по алгебре за 9 класс, для упражнения номер 388 расположенного на странице 115 к учебнику 2019 года издания для учащихся школ и гимназий.
Теперь на нашем сайте ГДЗ.ТОП вы всегда легко и бесплатно найдёте условие с правильным ответом на вопрос «Как решить ДЗ» и «Как сделать» задание по алгебре к упражнению №388 (с. 115), авторов: Солтан (Генадий Николаевич), Солтан (Алла Евгеньевна), Жумадилова (Аманбала Жумадиловна), учебного пособия издательства Кокшетау.