Номер 393, страница 118 - гдз по алгебре 9 класс учебник Солтан, Солтан

Авторы: Солтан Г. Н., Солтан А. Е., Жумадилова А. Ж.
Тип: Учебник
Издательство: Кокшетау
Год издания: 2019 - 2025
Цвет обложки:
ISBN: 978-601-317-424-2
Рекомендовано Министерством образования и науки Республики Казахстан
Популярные ГДЗ в 9 классе
16. Сумма n первых членов арифметической прогрессии. III. Последовательности - номер 393, страница 118.
№393 (с. 118)
Условие. №393 (с. 118)
скриншот условия

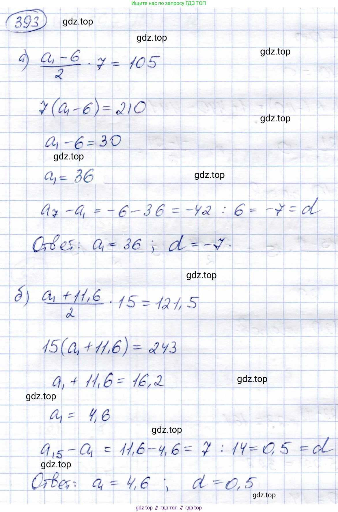
393. Найдите первый член и разность арифметической прогрессии $(a_n)$, для которой:
а) $S_7 = 105, a_7 = -6;$
б) $S_{15} = 121.5, a_{15} = 11.6.$
Решение. №393 (с. 118)

Решение 2 (rus). №393 (с. 118)
а) Для нахождения первого члена $a_1$ и разности $d$ арифметической прогрессии $(a_n)$ воспользуемся формулами суммы первых $n$ членов и $n$-го члена прогрессии.
Формула суммы первых $n$ членов арифметической прогрессии: $S_n = \frac{a_1 + a_n}{2} \cdot n$.
По условию дано $S_7 = 105$ и $a_7 = -6$. Подставим эти значения в формулу при $n=7$, чтобы найти $a_1$:
$105 = \frac{a_1 + (-6)}{2} \cdot 7$
Разделим обе части уравнения на 7:
$15 = \frac{a_1 - 6}{2}$
Теперь умножим обе части на 2:
$30 = a_1 - 6$
Из этого уравнения находим первый член прогрессии $a_1$:
$a_1 = 30 + 6 = 36$
Далее, для нахождения разности прогрессии $d$ воспользуемся формулой $n$-го члена: $a_n = a_1 + (n-1)d$.
При $n=7$ имеем $a_7 = a_1 + (7-1)d$. Подставим известные значения $a_7 = -6$ и $a_1 = 36$:
$-6 = 36 + 6d$
Перенесем 36 в левую часть:
$-6 - 36 = 6d$
$-42 = 6d$
Отсюда находим разность $d$:
$d = \frac{-42}{6} = -7$
Ответ: $a_1 = 36$, $d = -7$.
б) Решаем аналогично, используя данные $S_{15} = 121,5$ и $a_{15} = 11,6$.
Сначала найдем $a_1$ из формулы суммы $S_{15} = \frac{a_1 + a_{15}}{2} \cdot 15$:
$121,5 = \frac{a_1 + 11,6}{2} \cdot 15$
Разделим обе части уравнения на 15:
$\frac{121,5}{15} = \frac{a_1 + 11,6}{2}$
$8,1 = \frac{a_1 + 11,6}{2}$
Умножим обе части на 2:
$16,2 = a_1 + 11,6$
Отсюда находим первый член прогрессии $a_1$:
$a_1 = 16,2 - 11,6 = 4,6$
Теперь найдем разность $d$ по формуле $n$-го члена $a_{15} = a_1 + (15-1)d$.
Подставим известные значения $a_{15} = 11,6$ и $a_1 = 4,6$:
$11,6 = 4,6 + 14d$
Перенесем 4,6 в левую часть:
$11,6 - 4,6 = 14d$
$7 = 14d$
Отсюда находим разность $d$:
$d = \frac{7}{14} = 0,5$
Ответ: $a_1 = 4,6$, $d = 0,5$.
Другие задания:
Помогло решение? Оставьте отзыв в комментариях ниже.
Присоединяйтесь к Телеграм-группе @top_gdz
ПрисоединитьсяМы подготовили для вас ответ c подробным объяснением домашего задания по алгебре за 9 класс, для упражнения номер 393 расположенного на странице 118 к учебнику 2019 года издания для учащихся школ и гимназий.
Теперь на нашем сайте ГДЗ.ТОП вы всегда легко и бесплатно найдёте условие с правильным ответом на вопрос «Как решить ДЗ» и «Как сделать» задание по алгебре к упражнению №393 (с. 118), авторов: Солтан (Генадий Николаевич), Солтан (Алла Евгеньевна), Жумадилова (Аманбала Жумадиловна), учебного пособия издательства Кокшетау.