Номер 398, страница 118 - гдз по алгебре 9 класс учебник Солтан, Солтан

Авторы: Солтан Г. Н., Солтан А. Е., Жумадилова А. Ж.
Тип: Учебник
Издательство: Кокшетау
Год издания: 2019 - 2025
Цвет обложки:
ISBN: 978-601-317-424-2
Рекомендовано Министерством образования и науки Республики Казахстан
Популярные ГДЗ в 9 классе
16. Сумма n первых членов арифметической прогрессии. III. Последовательности - номер 398, страница 118.
№398 (с. 118)
Условие. №398 (с. 118)
скриншот условия

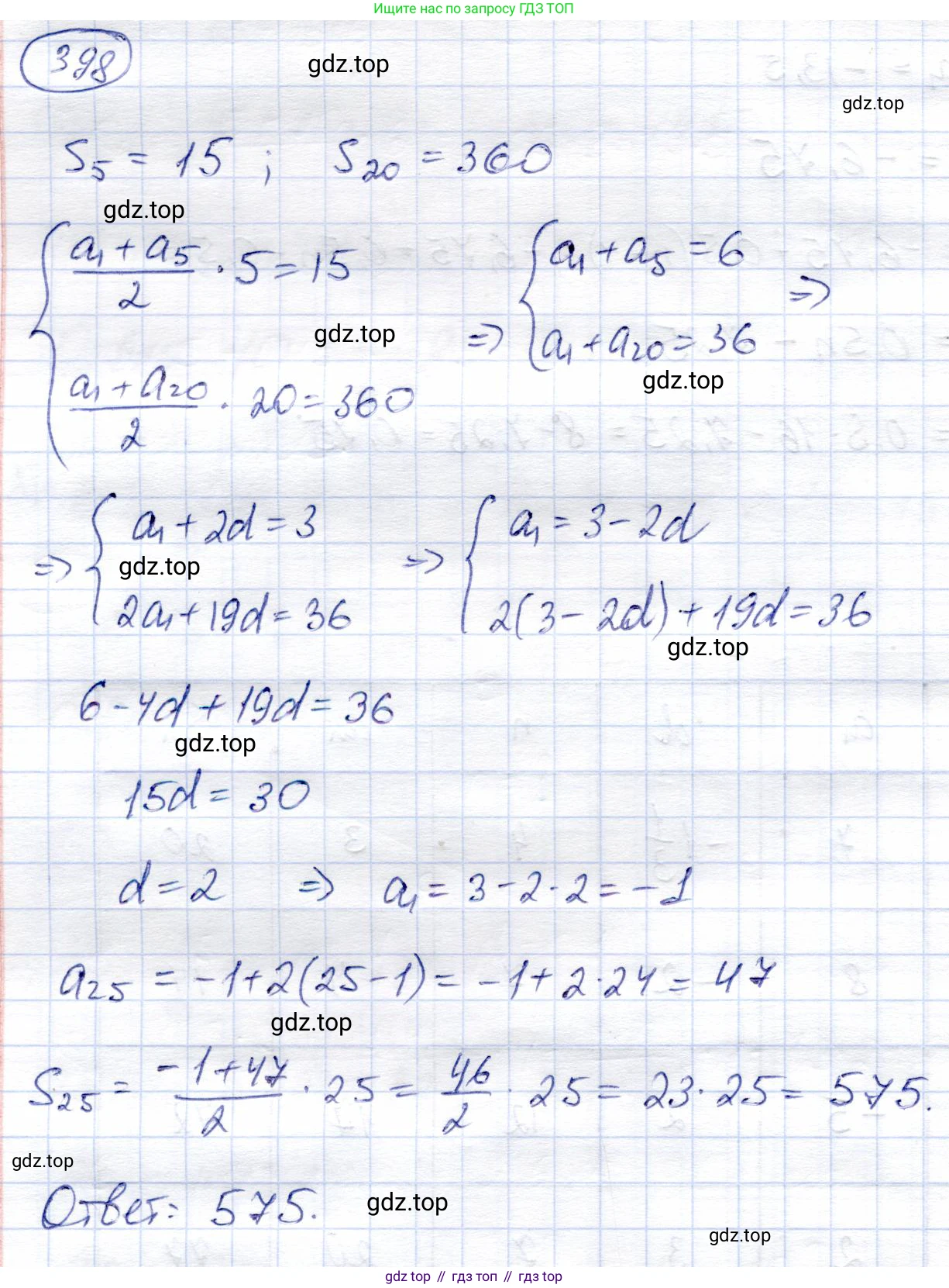
398. В арифметической прогрессии сумма пяти первых членов равна 15, а сумма двадцати первых членов равна 360. Найдите сумму двадцати пяти первых членов этой прогрессии.
Решение. №398 (с. 118)

Решение 2 (rus). №398 (с. 118)
Пусть $a_1$ — первый член арифметической прогрессии, а $d$ — её разность. Формула для суммы первых $n$ членов арифметической прогрессии имеет вид:$S_n = \frac{2a_1 + d(n-1)}{2} \cdot n$
По условию задачи, сумма пяти первых членов равна 15, то есть $S_5 = 15$. Подставим $n=5$ в формулу:$S_5 = \frac{2a_1 + d(5-1)}{2} \cdot 5 = 15$
Упростим это уравнение:$\frac{2a_1 + 4d}{2} \cdot 5 = 15$
$(a_1 + 2d) \cdot 5 = 15$
$a_1 + 2d = 3$ (1)
Также по условию, сумма двадцати первых членов равна 360, то есть $S_{20} = 360$. Подставим $n=20$ в формулу:$S_{20} = \frac{2a_1 + d(20-1)}{2} \cdot 20 = 360$
Упростим второе уравнение:$\frac{2a_1 + 19d}{2} \cdot 20 = 360$
$(2a_1 + 19d) \cdot 10 = 360$
$2a_1 + 19d = 36$ (2)
Теперь решим систему из двух уравнений (1) и (2):$\begin{cases} a_1 + 2d = 3 \\ 2a_1 + 19d = 36 \end{cases}$
Из первого уравнения выразим $a_1$:$a_1 = 3 - 2d$
Подставим это выражение во второе уравнение:$2(3 - 2d) + 19d = 36$
$6 - 4d + 19d = 36$
$15d = 30$
$d = 2$
Теперь найдем $a_1$, подставив значение $d$ в выражение для $a_1$:$a_1 = 3 - 2(2) = 3 - 4 = -1$
Мы определили, что первый член прогрессии $a_1 = -1$ и её разность $d = 2$. Теперь необходимо найти сумму двадцати пяти первых членов, $S_{25}$.
Используем ту же формулу для $n=25$:$S_{25} = \frac{2a_1 + d(25-1)}{2} \cdot 25$
$S_{25} = \frac{2(-1) + 2(24)}{2} \cdot 25$
$S_{25} = \frac{-2 + 48}{2} \cdot 25$
$S_{25} = \frac{46}{2} \cdot 25$
$S_{25} = 23 \cdot 25 = 575$
Ответ: 575
Другие задания:
Помогло решение? Оставьте отзыв в комментариях ниже.
Присоединяйтесь к Телеграм-группе @top_gdz
ПрисоединитьсяМы подготовили для вас ответ c подробным объяснением домашего задания по алгебре за 9 класс, для упражнения номер 398 расположенного на странице 118 к учебнику 2019 года издания для учащихся школ и гимназий.
Теперь на нашем сайте ГДЗ.ТОП вы всегда легко и бесплатно найдёте условие с правильным ответом на вопрос «Как решить ДЗ» и «Как сделать» задание по алгебре к упражнению №398 (с. 118), авторов: Солтан (Генадий Николаевич), Солтан (Алла Евгеньевна), Жумадилова (Аманбала Жумадиловна), учебного пособия издательства Кокшетау.