Номер 404, страница 119 - гдз по алгебре 9 класс учебник Солтан, Солтан

Авторы: Солтан Г. Н., Солтан А. Е., Жумадилова А. Ж.
Тип: Учебник
Издательство: Кокшетау
Год издания: 2019 - 2025
Цвет обложки:
ISBN: 978-601-317-424-2
Рекомендовано Министерством образования и науки Республики Казахстан
Популярные ГДЗ в 9 классе
16. Сумма n первых членов арифметической прогрессии. III. Последовательности - номер 404, страница 119.
№404 (с. 119)
Условие. №404 (с. 119)
скриншот условия

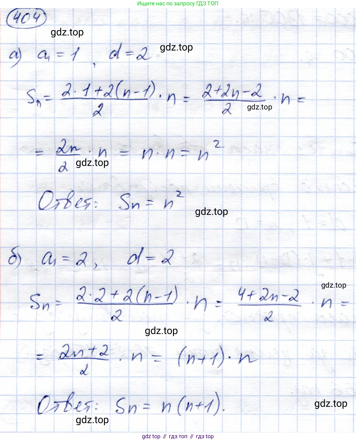
404. Запишите формулу суммы $n$ первых натуральных чисел:
а) нечетных;
б) четных.
Решение. №404 (с. 119)

Решение 2 (rus). №404 (с. 119)
а) нечетных;
Последовательность первых $n$ нечетных натуральных чисел имеет вид: $1, 3, 5, 7, \dots$.Это арифметическая прогрессия, у которой первый член $a_1 = 1$ и разность $d = 2$.$n$-й член этой прогрессии можно найти по формуле $a_n = a_1 + (n-1)d$.Подставив значения, получим: $a_n = 1 + (n-1) \cdot 2 = 1 + 2n - 2 = 2n - 1$.Сумма первых $n$ членов арифметической прогрессии вычисляется по формуле: $S_n = \frac{a_1 + a_n}{2} \cdot n$.Подставим в эту формулу значения для нашей последовательности нечетных чисел:$S_n = \frac{1 + (2n - 1)}{2} \cdot n$Упростим выражение в числителе:$S_n = \frac{2n}{2} \cdot n = n \cdot n = n^2$.Таким образом, сумма первых $n$ нечетных натуральных чисел равна $n^2$.
Ответ: $S_n = n^2$
б) четных.
Последовательность первых $n$ четных натуральных чисел имеет вид: $2, 4, 6, 8, \dots$.Это также арифметическая прогрессия. Ее первый член $a_1 = 2$, а разность $d = 2$.$n$-й член этой прогрессии равен $a_n = 2n$.Для нахождения суммы воспользуемся той же формулой суммы первых $n$ членов арифметической прогрессии: $S_n = \frac{a_1 + a_n}{2} \cdot n$.Подставим значения для последовательности четных чисел:$S_n = \frac{2 + 2n}{2} \cdot n$Вынесем общий множитель 2 в числителе и сократим дробь:$S_n = \frac{2(1 + n)}{2} \cdot n = (1 + n) \cdot n = n(n+1)$.Следовательно, сумма первых $n$ четных натуральных чисел равна $n(n+1)$.
Ответ: $S_n = n(n+1)$
Другие задания:
Помогло решение? Оставьте отзыв в комментариях ниже.
Присоединяйтесь к Телеграм-группе @top_gdz
ПрисоединитьсяМы подготовили для вас ответ c подробным объяснением домашего задания по алгебре за 9 класс, для упражнения номер 404 расположенного на странице 119 к учебнику 2019 года издания для учащихся школ и гимназий.
Теперь на нашем сайте ГДЗ.ТОП вы всегда легко и бесплатно найдёте условие с правильным ответом на вопрос «Как решить ДЗ» и «Как сделать» задание по алгебре к упражнению №404 (с. 119), авторов: Солтан (Генадий Николаевич), Солтан (Алла Евгеньевна), Жумадилова (Аманбала Жумадиловна), учебного пособия издательства Кокшетау.