Номер 408, страница 119 - гдз по алгебре 9 класс учебник Солтан, Солтан

Авторы: Солтан Г. Н., Солтан А. Е., Жумадилова А. Ж.
Тип: Учебник
Издательство: Кокшетау
Год издания: 2019 - 2025
Цвет обложки:
ISBN: 978-601-317-424-2
Рекомендовано Министерством образования и науки Республики Казахстан
Популярные ГДЗ в 9 классе
16. Сумма n первых членов арифметической прогрессии. III. Последовательности - номер 408, страница 119.
№408 (с. 119)
Условие. №408 (с. 119)
скриншот условия

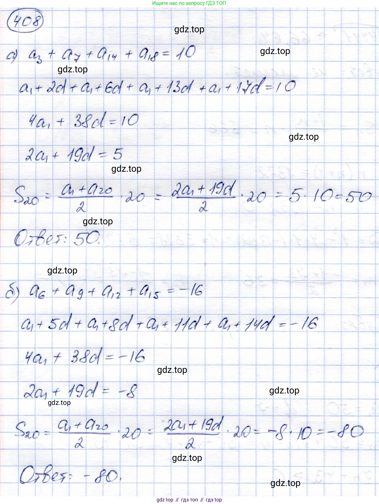
408. Найдите сумму двадцати первых членов арифметической прогрессии $(a_n)$, если:
а) $a_3 + a_7 + a_{14} + a_{18} = 10;$
б) $a_6 + a_9 + a_{12} + a_{15} = -16.$
Решение. №408 (с. 119)

Решение 2 (rus). №408 (с. 119)
а)
Для решения задачи нам понадобится формула суммы первых $n$ членов арифметической прогрессии: $S_n = \frac{2a_1 + (n-1)d}{2} \cdot n$, где $a_1$ — первый член прогрессии, а $d$ — её разность.
Мы ищем сумму первых двадцати членов, то есть $S_{20}$. Подставим $n=20$ в формулу:
$S_{20} = \frac{2a_1 + (20-1)d}{2} \cdot 20 = \frac{2a_1 + 19d}{2} \cdot 20 = (2a_1 + 19d) \cdot 10$
Из условия задачи нам известно, что $a_3 + a_7 + a_{14} + a_{18} = 10$.
Воспользуемся формулой n-го члена арифметической прогрессии $a_n = a_1 + (n-1)d$, чтобы выразить каждый член суммы через $a_1$ и $d$:
$a_3 = a_1 + (3-1)d = a_1 + 2d$
$a_7 = a_1 + (7-1)d = a_1 + 6d$
$a_{14} = a_1 + (14-1)d = a_1 + 13d$
$a_{18} = a_1 + (18-1)d = a_1 + 17d$
Теперь подставим эти выражения в данное нам равенство:
$(a_1 + 2d) + (a_1 + 6d) + (a_1 + 13d) + (a_1 + 17d) = 10$
Сгруппируем и приведем подобные слагаемые:
$4a_1 + (2+6+13+17)d = 10$
$4a_1 + 38d = 10$
Разделим обе части уравнения на 2:
$2a_1 + 19d = 5$
Мы получили значение выражения $2a_1 + 19d$, которое необходимо для вычисления $S_{20}$. Подставим это значение в формулу для суммы:
$S_{20} = (2a_1 + 19d) \cdot 10 = 5 \cdot 10 = 50$
Ответ: 50.
б)
Решение этого пункта аналогично предыдущему. Мы также ищем $S_{20}$ по формуле $S_{20} = 10(2a_1 + 19d)$.
По условию задачи дано: $a_6 + a_9 + a_{12} + a_{15} = -16$.
Выразим каждый член этой суммы через $a_1$ и $d$:
$a_6 = a_1 + 5d$
$a_9 = a_1 + 8d$
$a_{12} = a_1 + 11d$
$a_{15} = a_1 + 14d$
Подставим эти выражения в исходное равенство:
$(a_1 + 5d) + (a_1 + 8d) + (a_1 + 11d) + (a_1 + 14d) = -16$
Сгруппируем и приведем подобные слагаемые:
$4a_1 + (5+8+11+14)d = -16$
$4a_1 + 38d = -16$
Разделим обе части уравнения на 2:
$2a_1 + 19d = -8$
Теперь подставим найденное значение выражения $2a_1 + 19d$ в формулу для $S_{20}$:
$S_{20} = (2a_1 + 19d) \cdot 10 = -8 \cdot 10 = -80$
Ответ: -80.
Другие задания:
Помогло решение? Оставьте отзыв в комментариях ниже.
Присоединяйтесь к Телеграм-группе @top_gdz
ПрисоединитьсяМы подготовили для вас ответ c подробным объяснением домашего задания по алгебре за 9 класс, для упражнения номер 408 расположенного на странице 119 к учебнику 2019 года издания для учащихся школ и гимназий.
Теперь на нашем сайте ГДЗ.ТОП вы всегда легко и бесплатно найдёте условие с правильным ответом на вопрос «Как решить ДЗ» и «Как сделать» задание по алгебре к упражнению №408 (с. 119), авторов: Солтан (Генадий Николаевич), Солтан (Алла Евгеньевна), Жумадилова (Аманбала Жумадиловна), учебного пособия издательства Кокшетау.