Номер 410, страница 120 - гдз по алгебре 9 класс учебник Солтан, Солтан

Авторы: Солтан Г. Н., Солтан А. Е., Жумадилова А. Ж.
Тип: Учебник
Издательство: Кокшетау
Год издания: 2019 - 2025
Цвет обложки:
ISBN: 978-601-317-424-2
Рекомендовано Министерством образования и науки Республики Казахстан
Популярные ГДЗ в 9 классе
16. Сумма n первых членов арифметической прогрессии. III. Последовательности - номер 410, страница 120.
№410 (с. 120)
Условие. №410 (с. 120)
скриншот условия

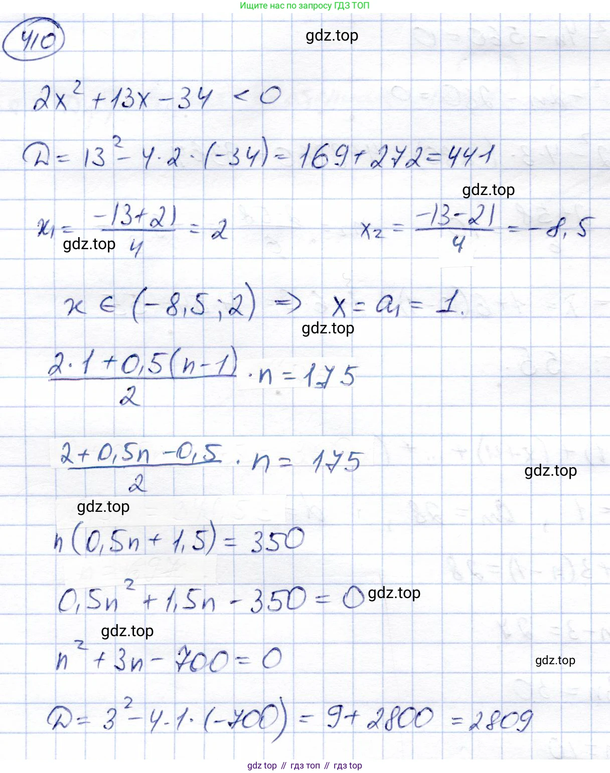
410. Сколько членов арифметической прогрессии с разностью $0.5$ надо взять, чтобы их сумма равнялась $175$, а первый член был равен наибольшему целому решению неравенства $2x^2 + 13x - 34 < 0$.
Решение. №410 (с. 120)


Решение 2 (rus). №410 (с. 120)
Решение задачи состоит из двух этапов. Сначала мы найдем первый член арифметической прогрессии, а затем определим количество членов.
1. Нахождение первого члена прогрессии ($a_1$)
Согласно условию, первый член прогрессии $a_1$ равен наибольшему целому решению неравенства $2x^2 + 13x - 34 < 0$. Для решения этого неравенства сначала найдем корни соответствующего квадратного уравнения $2x^2 + 13x - 34 = 0$.
Вычислим дискриминант по формуле $D = b^2 - 4ac$:
$D = 13^2 - 4 \cdot 2 \cdot (-34) = 169 + 272 = 441$
Теперь найдем корни уравнения:
$x_1 = \frac{-b - \sqrt{D}}{2a} = \frac{-13 - \sqrt{441}}{2 \cdot 2} = \frac{-13 - 21}{4} = \frac{-34}{4} = -8,5$
$x_2 = \frac{-b + \sqrt{D}}{2a} = \frac{-13 + \sqrt{441}}{2 \cdot 2} = \frac{-13 + 21}{4} = \frac{8}{4} = 2$
Поскольку коэффициент при $x^2$ положителен ($a=2 > 0$), ветви параболы $y = 2x^2 + 13x - 34$ направлены вверх. Это означает, что неравенство $2x^2 + 13x - 34 < 0$ выполняется для всех $x$, находящихся между корнями.
Таким образом, решением неравенства является интервал $x \in (-8,5; 2)$.
Наибольшим целым числом в этом интервале является 1. Следовательно, первый член арифметической прогрессии $a_1 = 1$.
2. Нахождение количества членов прогрессии ($n$)
Теперь, когда мы знаем все необходимые параметры, мы можем найти количество членов $n$. Нам известно:
Первый член $a_1 = 1$
Разность прогрессии $d = 0,5$
Сумма $n$ членов $S_n = 175$
Используем формулу суммы первых $n$ членов арифметической прогрессии:
$S_n = \frac{2a_1 + d(n-1)}{2} \cdot n$
Подставим известные значения:
$175 = \frac{2 \cdot 1 + 0,5(n-1)}{2} \cdot n$
Умножим обе части на 2, чтобы упростить уравнение:
$350 = (2 + 0,5n - 0,5) \cdot n$
$350 = (1,5 + 0,5n) \cdot n$
$350 = 1,5n + 0,5n^2$
Перепишем уравнение в стандартном виде квадратного уравнения $an^2 + bn + c = 0$:
$0,5n^2 + 1,5n - 350 = 0$
Умножим все уравнение на 2, чтобы избавиться от десятичных дробей:
$n^2 + 3n - 700 = 0$
Теперь решим это квадратное уравнение относительно $n$. Вычислим дискриминант:
$D = 3^2 - 4 \cdot 1 \cdot (-700) = 9 + 2800 = 2809$
Найдем корни:
$n_1 = \frac{-3 - \sqrt{2809}}{2} = \frac{-3 - 53}{2} = \frac{-56}{2} = -28$
$n_2 = \frac{-3 + \sqrt{2809}}{2} = \frac{-3 + 53}{2} = \frac{50}{2} = 25$
Поскольку количество членов прогрессии $n$ должно быть натуральным (положительным целым) числом, корень $n_1 = -28$ не является решением нашей задачи.
Следовательно, нужно взять 25 членов арифметической прогрессии.
Ответ: 25
Другие задания:
Помогло решение? Оставьте отзыв в комментариях ниже.
Присоединяйтесь к Телеграм-группе @top_gdz
ПрисоединитьсяМы подготовили для вас ответ c подробным объяснением домашего задания по алгебре за 9 класс, для упражнения номер 410 расположенного на странице 120 к учебнику 2019 года издания для учащихся школ и гимназий.
Теперь на нашем сайте ГДЗ.ТОП вы всегда легко и бесплатно найдёте условие с правильным ответом на вопрос «Как решить ДЗ» и «Как сделать» задание по алгебре к упражнению №410 (с. 120), авторов: Солтан (Генадий Николаевич), Солтан (Алла Евгеньевна), Жумадилова (Аманбала Жумадиловна), учебного пособия издательства Кокшетау.