Номер 416, страница 120 - гдз по алгебре 9 класс учебник Солтан, Солтан

Авторы: Солтан Г. Н., Солтан А. Е., Жумадилова А. Ж.
Тип: Учебник
Издательство: Кокшетау
Год издания: 2019 - 2025
Цвет обложки:
ISBN: 978-601-317-424-2
Рекомендовано Министерством образования и науки Республики Казахстан
Популярные ГДЗ в 9 классе
16. Сумма n первых членов арифметической прогрессии. III. Последовательности - номер 416, страница 120.
№416 (с. 120)
Условие. №416 (с. 120)
скриншот условия

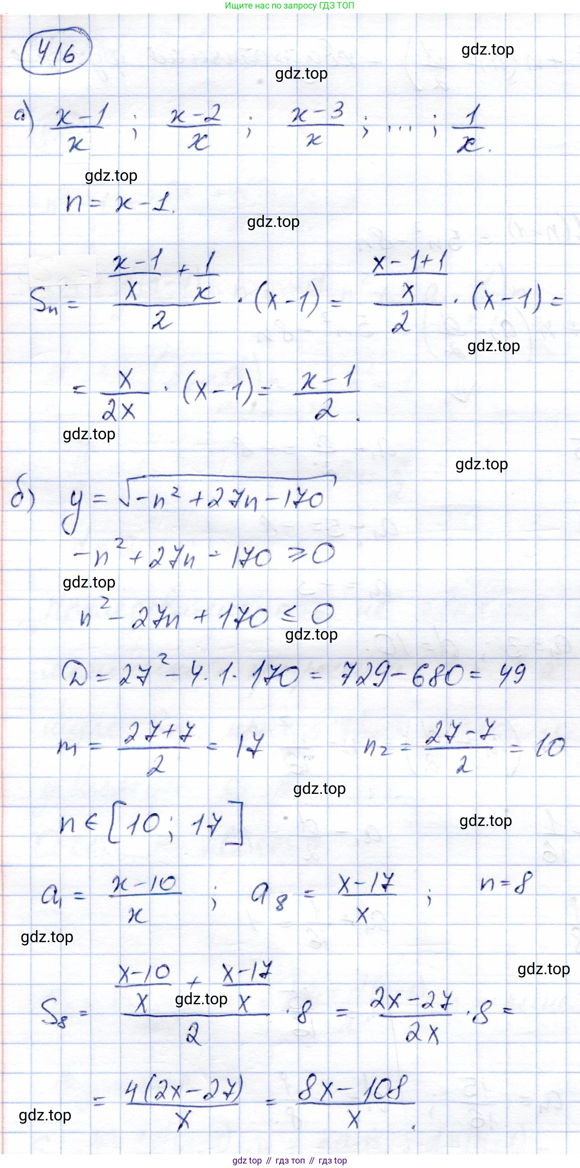
416. Дана конечная арифметическая прогрессия $\frac{x-1}{x}; \frac{x-2}{x}; \frac{x-3}{x}; \dots ; \frac{1}{x}$.
Найдите:
а) сумму всех ее членов;
б) сумму членов с номерами, принадлежащими области определения функции $y = \sqrt{-n^2 + 27n - 170}$, где $n \in N$.
Решение. №416 (с. 120)

Решение 2 (rus). №416 (с. 120)
a)
Дана конечная арифметическая прогрессия $(a_n)$.
Первый член прогрессии $a_1 = \frac{x-1}{x}$.
Второй член прогрессии $a_2 = \frac{x-2}{x}$.
Последний член прогрессии $a_k = \frac{1}{x}$.
Найдем разность арифметической прогрессии $d$:
$d = a_2 - a_1 = \frac{x-2}{x} - \frac{x-1}{x} = \frac{(x-2) - (x-1)}{x} = \frac{x-2-x+1}{x} = -\frac{1}{x}$.
Формула $n$-го члена арифметической прогрессии: $a_n = a_1 + (n-1)d$.
Чтобы найти общее количество членов в прогрессии, которое мы обозначим $k$, подставим в формулу значение последнего члена $a_k$:
$\frac{1}{x} = \frac{x-1}{x} + (k-1)(-\frac{1}{x})$
Умножим обе части уравнения на $x$ (при условии $x \neq 0$):
$1 = (x-1) - (k-1)$
$1 = x - 1 - k + 1$
$1 = x - k$
Отсюда, количество членов прогрессии $k = x - 1$.
Сумма всех членов конечной арифметической прогрессии находится по формуле $S_k = \frac{k}{2}(a_1 + a_k)$.
Подставим найденные значения $k$, $a_1$ и $a_k$:
$S_{x-1} = \frac{x-1}{2} \left(\frac{x-1}{x} + \frac{1}{x}\right) = \frac{x-1}{2} \left(\frac{x-1+1}{x}\right) = \frac{x-1}{2} \cdot \frac{x}{x} = \frac{x-1}{2}$.
Ответ: $\frac{x-1}{2}$.
б)
Требуется найти сумму членов прогрессии, номера которых $n$ принадлежат области определения функции $y = \sqrt{-n^2 + 27n - 170}$, где $n$ — натуральное число ($n \in \mathbb{N}$).
Область определения данной функции задается условием, что выражение под знаком корня должно быть неотрицательным:
$-n^2 + 27n - 170 \ge 0$
Умножим неравенство на $-1$, изменив знак неравенства на противоположный:
$n^2 - 27n + 170 \le 0$
Для решения этого квадратного неравенства найдем корни уравнения $n^2 - 27n + 170 = 0$.
Вычислим дискриминант $D$:
$D = (-27)^2 - 4 \cdot 1 \cdot 170 = 729 - 680 = 49 = 7^2$.
Найдем корни:
$n_1 = \frac{27 - 7}{2} = \frac{20}{2} = 10$
$n_2 = \frac{27 + 7}{2} = \frac{34}{2} = 17$
Графиком функции $f(n) = n^2 - 27n + 170$ является парабола, ветви которой направлены вверх. Следовательно, неравенство $f(n) \le 0$ выполняется для $n$, находящихся между корнями, включая сами корни: $10 \le n \le 17$.
Так как $n$ — натуральное число, то нас интересуют номера членов: $10, 11, 12, 13, 14, 15, 16, 17$.
Нам нужно найти сумму этих членов: $S = a_{10} + a_{11} + \dots + a_{17}$.
Эта последовательность также является арифметической прогрессией, состоящей из $17 - 10 + 1 = 8$ членов.
Найдем первый и последний члены этой новой последовательности, используя общую формулу для члена исходной прогрессии $a_n = a_1 + (n-1)d = \frac{x-1}{x} + (n-1)(-\frac{1}{x}) = \frac{x-n}{x}$.
Первый член (с номером 10): $a_{10} = \frac{x-10}{x}$.
Последний член (с номером 17): $a_{17} = \frac{x-17}{x}$.
Найдем сумму этих 8 членов по формуле суммы арифметической прогрессии:
$S = \frac{\text{количество членов}}{2} \cdot (\text{первый член} + \text{последний член})$
$S = \frac{8}{2} \left(a_{10} + a_{17}\right) = 4 \left(\frac{x-10}{x} + \frac{x-17}{x}\right) = 4 \left(\frac{x-10+x-17}{x}\right) = 4 \left(\frac{2x-27}{x}\right) = \frac{8x-108}{x}$.
Ответ: $\frac{8x-108}{x}$.
Другие задания:
Помогло решение? Оставьте отзыв в комментариях ниже.
Присоединяйтесь к Телеграм-группе @top_gdz
ПрисоединитьсяМы подготовили для вас ответ c подробным объяснением домашего задания по алгебре за 9 класс, для упражнения номер 416 расположенного на странице 120 к учебнику 2019 года издания для учащихся школ и гимназий.
Теперь на нашем сайте ГДЗ.ТОП вы всегда легко и бесплатно найдёте условие с правильным ответом на вопрос «Как решить ДЗ» и «Как сделать» задание по алгебре к упражнению №416 (с. 120), авторов: Солтан (Генадий Николаевич), Солтан (Алла Евгеньевна), Жумадилова (Аманбала Жумадиловна), учебного пособия издательства Кокшетау.