Номер 480, страница 140 - гдз по алгебре 9 класс учебник Солтан, Солтан

Авторы: Солтан Г. Н., Солтан А. Е., Жумадилова А. Ж.
Тип: Учебник
Издательство: Кокшетау
Год издания: 2019 - 2025
Цвет обложки:
ISBN: 978-601-317-424-2
Рекомендовано Министерством образования и науки Республики Казахстан
Популярные ГДЗ в 9 классе
19. Бесконечно убывающая геометрическая прогрессия. III. Последовательности - номер 480, страница 140.
№480 (с. 140)
Условие. №480 (с. 140)
скриншот условия

480. Найдите все корни уравнения, в левой части которого записана сумма бесконечно убывающей геометрической прогрессии:
а) $x + x^3 + x^5 + \dots = \frac{2}{3}$;
б) $x + x^2 + \dots = 3.5 - \frac{1}{x}$.
Решение. №480 (с. 140)


Решение 2 (rus). №480 (с. 140)
а) $x + x^3 + x^5 + \dots = \frac{2}{3}$
Левая часть уравнения представляет собой сумму бесконечно убывающей геометрической прогрессии. Первый член этой прогрессии $b_1 = x$, а знаменатель прогрессии $q = \frac{x^3}{x} = x^2$.
Сумма бесконечной геометрической прогрессии существует (сходится) только при условии, что модуль ее знаменателя меньше единицы, то есть $|q| < 1$. В нашем случае это условие выглядит как $|x^2| < 1$, что равносильно $x^2 < 1$, или $-1 < x < 1$.
Формула для суммы бесконечно убывающей геометрической прогрессии: $S = \frac{b_1}{1-q}$.
Подставив в формулу значения $b_1$ и $q$, получим выражение для левой части уравнения: $S = \frac{x}{1-x^2}$.
Теперь исходное уравнение можно записать в виде: $\frac{x}{1-x^2} = \frac{2}{3}$.
Решим это уравнение, используя правило пропорции:
$3x = 2(1-x^2)$
$3x = 2 - 2x^2$
$2x^2 + 3x - 2 = 0$
Мы получили квадратное уравнение. Найдем его корни с помощью дискриминанта:
$D = b^2 - 4ac = 3^2 - 4 \cdot 2 \cdot (-2) = 9 + 16 = 25 = 5^2$
Корни уравнения:
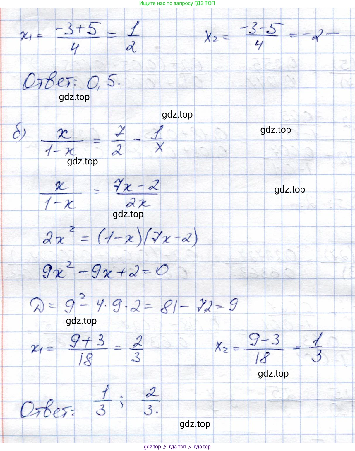
$x_1 = \frac{-b + \sqrt{D}}{2a} = \frac{-3 + 5}{2 \cdot 2} = \frac{2}{4} = \frac{1}{2}$
$x_2 = \frac{-b - \sqrt{D}}{2a} = \frac{-3 - 5}{2 \cdot 2} = \frac{-8}{4} = -2$
Теперь необходимо проверить, удовлетворяют ли найденные корни условию сходимости прогрессии $-1 < x < 1$.
Корень $x_1 = \frac{1}{2}$ удовлетворяет этому условию, так как $-1 < \frac{1}{2} < 1$.
Корень $x_2 = -2$ не удовлетворяет условию, так как $-2 < -1$. Для этого значения $x$ исходный ряд расходится, следовательно, $x_2 = -2$ является посторонним корнем.
Ответ: $\frac{1}{2}$.
б) $x + x^2 + \dots = 3,5 - \frac{1}{x}$
Левая часть этого уравнения также является суммой бесконечно убывающей геометрической прогрессии. Здесь первый член $b_1 = x$, а знаменатель $q = \frac{x^2}{x} = x$.
Условие сходимости прогрессии: $|q| < 1$, то есть $|x| < 1$, или $-1 < x < 1$. Также из правой части уравнения следует, что $x \neq 0$.
Сумма прогрессии вычисляется по формуле $S = \frac{b_1}{1-q} = \frac{x}{1-x}$.
Запишем уравнение с учетом этого:
$\frac{x}{1-x} = 3,5 - \frac{1}{x}$
Решим полученное уравнение. Сначала преобразуем правую часть:
$\frac{x}{1-x} = \frac{7}{2} - \frac{1}{x} = \frac{7x - 2}{2x}$
Теперь имеем пропорцию: $\frac{x}{1-x} = \frac{7x - 2}{2x}$.
Решим ее, перемножив крест-накрест (при условии, что $x \neq 1$ и $x \neq 0$):
$x \cdot (2x) = (1-x)(7x-2)$
$2x^2 = 7x - 2 - 7x^2 + 2x$
$2x^2 = -7x^2 + 9x - 2$
$9x^2 - 9x + 2 = 0$
Решим это квадратное уравнение. Найдем дискриминант:
$D = b^2 - 4ac = (-9)^2 - 4 \cdot 9 \cdot 2 = 81 - 72 = 9 = 3^2$
Найдем корни:
$x_1 = \frac{-b + \sqrt{D}}{2a} = \frac{9 + 3}{2 \cdot 9} = \frac{12}{18} = \frac{2}{3}$
$x_2 = \frac{-b - \sqrt{D}}{2a} = \frac{9 - 3}{2 \cdot 9} = \frac{6}{18} = \frac{1}{3}$
Проверим, удовлетворяют ли найденные корни условиям $-1 < x < 1$ и $x \neq 0$.
Корень $x_1 = \frac{2}{3}$ удовлетворяет условиям, так как $-1 < \frac{2}{3} < 1$ и $\frac{2}{3} \neq 0$.
Корень $x_2 = \frac{1}{3}$ также удовлетворяет условиям, так как $-1 < \frac{1}{3} < 1$ и $\frac{1}{3} \neq 0$.
Оба корня являются решениями.
Ответ: $\frac{1}{3}; \frac{2}{3}$.
Другие задания:
Помогло решение? Оставьте отзыв в комментариях ниже.
Присоединяйтесь к Телеграм-группе @top_gdz
ПрисоединитьсяМы подготовили для вас ответ c подробным объяснением домашего задания по алгебре за 9 класс, для упражнения номер 480 расположенного на странице 140 к учебнику 2019 года издания для учащихся школ и гимназий.
Теперь на нашем сайте ГДЗ.ТОП вы всегда легко и бесплатно найдёте условие с правильным ответом на вопрос «Как решить ДЗ» и «Как сделать» задание по алгебре к упражнению №480 (с. 140), авторов: Солтан (Генадий Николаевич), Солтан (Алла Евгеньевна), Жумадилова (Аманбала Жумадиловна), учебного пособия издательства Кокшетау.