Номер 476, страница 139 - гдз по алгебре 9 класс учебник Солтан, Солтан

Авторы: Солтан Г. Н., Солтан А. Е., Жумадилова А. Ж.
Тип: Учебник
Издательство: Кокшетау
Год издания: 2019 - 2025
Цвет обложки:
ISBN: 978-601-317-424-2
Рекомендовано Министерством образования и науки Республики Казахстан
Популярные ГДЗ в 9 классе
19. Бесконечно убывающая геометрическая прогрессия. III. Последовательности - номер 476, страница 139.
№476 (с. 139)
Условие. №476 (с. 139)
скриншот условия

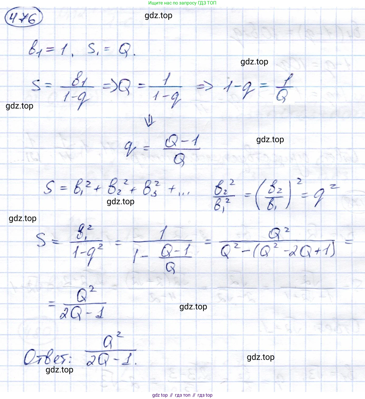
476. Сумма бесконечно убывающей геометрической прогрессии, первый член которой 1, равна $Q$. Найдите сумму квадратов членов этой прогрессии.
Решение. №476 (с. 139)

Решение 2 (rus). №476 (с. 139)
Пусть дана бесконечно убывающая геометрическая прогрессия $b_n$, у которой первый член $b_1 = 1$, а знаменатель равен $q$. По определению, для такой прогрессии должно выполняться условие $|q| < 1$.
Сумма $S$ бесконечно убывающей геометрической прогрессии находится по формуле:$S = \frac{b_1}{1-q}$
По условию задачи, сумма прогрессии равна $Q$. Подставим известные значения в формулу:$Q = \frac{1}{1-q}$
Из этого соотношения выразим знаменатель прогрессии $q$:$1-q = \frac{1}{Q}$$q = 1 - \frac{1}{Q} = \frac{Q-1}{Q}$
Теперь рассмотрим новую последовательность, которая состоит из квадратов членов исходной прогрессии: $b_1^2, b_2^2, b_3^2, \dots$.Эта последовательность также является геометрической прогрессией. Найдем ее первый член $b'_1$ и знаменатель $q'$.
Первый член новой прогрессии:$b'_1 = b_1^2 = 1^2 = 1$
Знаменатель новой прогрессии $q'$ равен отношению второго члена к первому:$q' = \frac{b_2^2}{b_1^2} = \frac{(b_1q)^2}{b_1^2} = \frac{b_1^2q^2}{b_1^2} = q^2$
Так как $|q| < 1$, то $|q'| = |q^2| = q^2 < 1$. Это означает, что новая прогрессия также является бесконечно убывающей, и для нее можно вычислить сумму.
Пусть $S'$ — это искомая сумма квадратов членов. Вычислим ее по формуле суммы для бесконечно убывающей геометрической прогрессии:$S' = \frac{b'_1}{1-q'}$
Подставим найденные значения $b'_1 = 1$ и $q' = q^2 = (\frac{Q-1}{Q})^2$:$S' = \frac{1}{1 - (\frac{Q-1}{Q})^2}$
Теперь выполним алгебраические преобразования для упрощения выражения:$S' = \frac{1}{1 - \frac{(Q-1)^2}{Q^2}} = \frac{1}{\frac{Q^2 - (Q-1)^2}{Q^2}} = \frac{Q^2}{Q^2 - (Q^2 - 2Q + 1)} = \frac{Q^2}{Q^2 - Q^2 + 2Q - 1} = \frac{Q^2}{2Q - 1}$
Ответ: $\frac{Q^2}{2Q-1}$
Другие задания:
Помогло решение? Оставьте отзыв в комментариях ниже.
Присоединяйтесь к Телеграм-группе @top_gdz
ПрисоединитьсяМы подготовили для вас ответ c подробным объяснением домашего задания по алгебре за 9 класс, для упражнения номер 476 расположенного на странице 139 к учебнику 2019 года издания для учащихся школ и гимназий.
Теперь на нашем сайте ГДЗ.ТОП вы всегда легко и бесплатно найдёте условие с правильным ответом на вопрос «Как решить ДЗ» и «Как сделать» задание по алгебре к упражнению №476 (с. 139), авторов: Солтан (Генадий Николаевич), Солтан (Алла Евгеньевна), Жумадилова (Аманбала Жумадиловна), учебного пособия издательства Кокшетау.