Номер 472, страница 139 - гдз по алгебре 9 класс учебник Солтан, Солтан

Авторы: Солтан Г. Н., Солтан А. Е., Жумадилова А. Ж.
Тип: Учебник
Издательство: Кокшетау
Год издания: 2019 - 2025
Цвет обложки:
ISBN: 978-601-317-424-2
Рекомендовано Министерством образования и науки Республики Казахстан
Популярные ГДЗ в 9 классе
19. Бесконечно убывающая геометрическая прогрессия. III. Последовательности - номер 472, страница 139.
№472 (с. 139)
Условие. №472 (с. 139)
скриншот условия

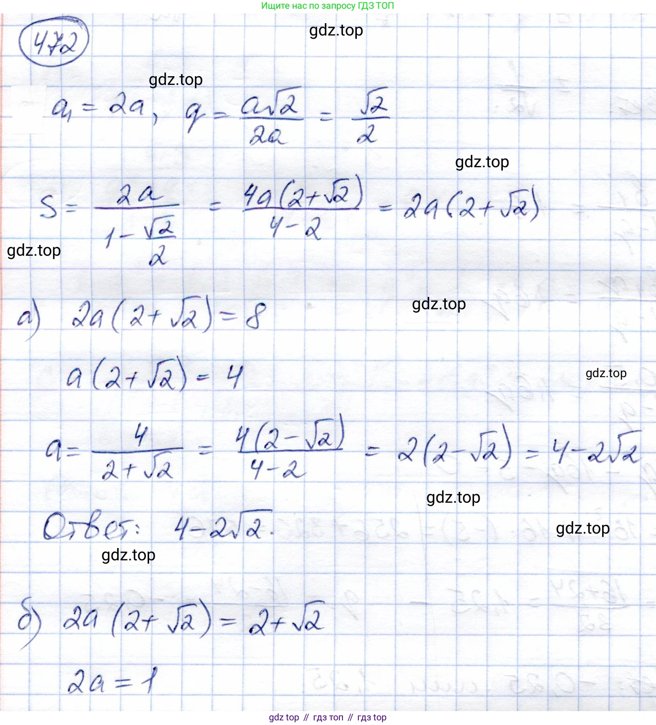
472. При каких значениях $a$ сумма бесконечно убывающей геометрической прогрессии $2a; a\sqrt{2}; a; \dots$ равна:
а) 8;
б) $2 + \sqrt{2}$?
Решение. №472 (с. 139)


Решение 2 (rus). №472 (с. 139)
Для решения задачи сначала определим параметры данной геометрической прогрессии.
Первый член прогрессии $b_1 = 2a$.
Второй член прогрессии $b_2 = a\sqrt{2}$.
Найдем знаменатель прогрессии $q$, разделив второй член на первый:
$q = \frac{b_2}{b_1} = \frac{a\sqrt{2}}{2a}$
При условии, что $a \ne 0$, мы можем сократить $a$ и получить:
$q = \frac{\sqrt{2}}{2}$
Для того чтобы прогрессия была бесконечно убывающей, необходимо, чтобы модуль ее знаменателя был меньше единицы, то есть $|q| < 1$.
Проверим это условие: $| \frac{\sqrt{2}}{2} | = \frac{\sqrt{2}}{2} \approx 0.707$. Так как $0.707 < 1$, условие выполняется. Это означает, что при любом $a \ne 0$ данная прогрессия является бесконечно убывающей. Если $a = 0$, то все члены прогрессии равны нулю, и ее сумма равна 0, что не соответствует условиям задачи.
Сумма $S$ бесконечно убывающей геометрической прогрессии находится по формуле:
$S = \frac{b_1}{1-q}$
Подставим значения $b_1$ и $q$ в формулу:
$S = \frac{2a}{1 - \frac{\sqrt{2}}{2}} = \frac{2a}{\frac{2-\sqrt{2}}{2}} = \frac{4a}{2-\sqrt{2}}$
Теперь мы можем найти значения $a$ для каждого из предложенных случаев.
а) Найдем значение $a$, при котором сумма прогрессии равна 8.
Приравниваем выражение для суммы к 8:
$\frac{4a}{2-\sqrt{2}} = 8$
Разделим обе части на 4:
$\frac{a}{2-\sqrt{2}} = 2$
$a = 2(2-\sqrt{2})$
$a = 4 - 2\sqrt{2}$
Ответ: $a = 4 - 2\sqrt{2}$.
б) Найдем значение $a$, при котором сумма прогрессии равна $2 + \sqrt{2}$.
Приравниваем выражение для суммы к $2 + \sqrt{2}$:
$\frac{4a}{2-\sqrt{2}} = 2 + \sqrt{2}$
Выразим $a$:
$4a = (2 + \sqrt{2})(2 - \sqrt{2})$
Используем формулу разности квадратов $(x+y)(x-y) = x^2 - y^2$:
$4a = 2^2 - (\sqrt{2})^2$
$4a = 4 - 2$
$4a = 2$
$a = \frac{2}{4} = \frac{1}{2}$
Ответ: $a = \frac{1}{2}$.
Другие задания:
Помогло решение? Оставьте отзыв в комментариях ниже.
Присоединяйтесь к Телеграм-группе @top_gdz
ПрисоединитьсяМы подготовили для вас ответ c подробным объяснением домашего задания по алгебре за 9 класс, для упражнения номер 472 расположенного на странице 139 к учебнику 2019 года издания для учащихся школ и гимназий.
Теперь на нашем сайте ГДЗ.ТОП вы всегда легко и бесплатно найдёте условие с правильным ответом на вопрос «Как решить ДЗ» и «Как сделать» задание по алгебре к упражнению №472 (с. 139), авторов: Солтан (Генадий Николаевич), Солтан (Алла Евгеньевна), Жумадилова (Аманбала Жумадиловна), учебного пособия издательства Кокшетау.