Номер 467, страница 138 - гдз по алгебре 9 класс учебник Солтан, Солтан

Авторы: Солтан Г. Н., Солтан А. Е., Жумадилова А. Ж.
Тип: Учебник
Издательство: Кокшетау
Год издания: 2019 - 2025
Цвет обложки:
ISBN: 978-601-317-424-2
Рекомендовано Министерством образования и науки Республики Казахстан
Популярные ГДЗ в 9 классе
19. Бесконечно убывающая геометрическая прогрессия. III. Последовательности - номер 467, страница 138.
№467 (с. 138)
Условие. №467 (с. 138)
скриншот условия

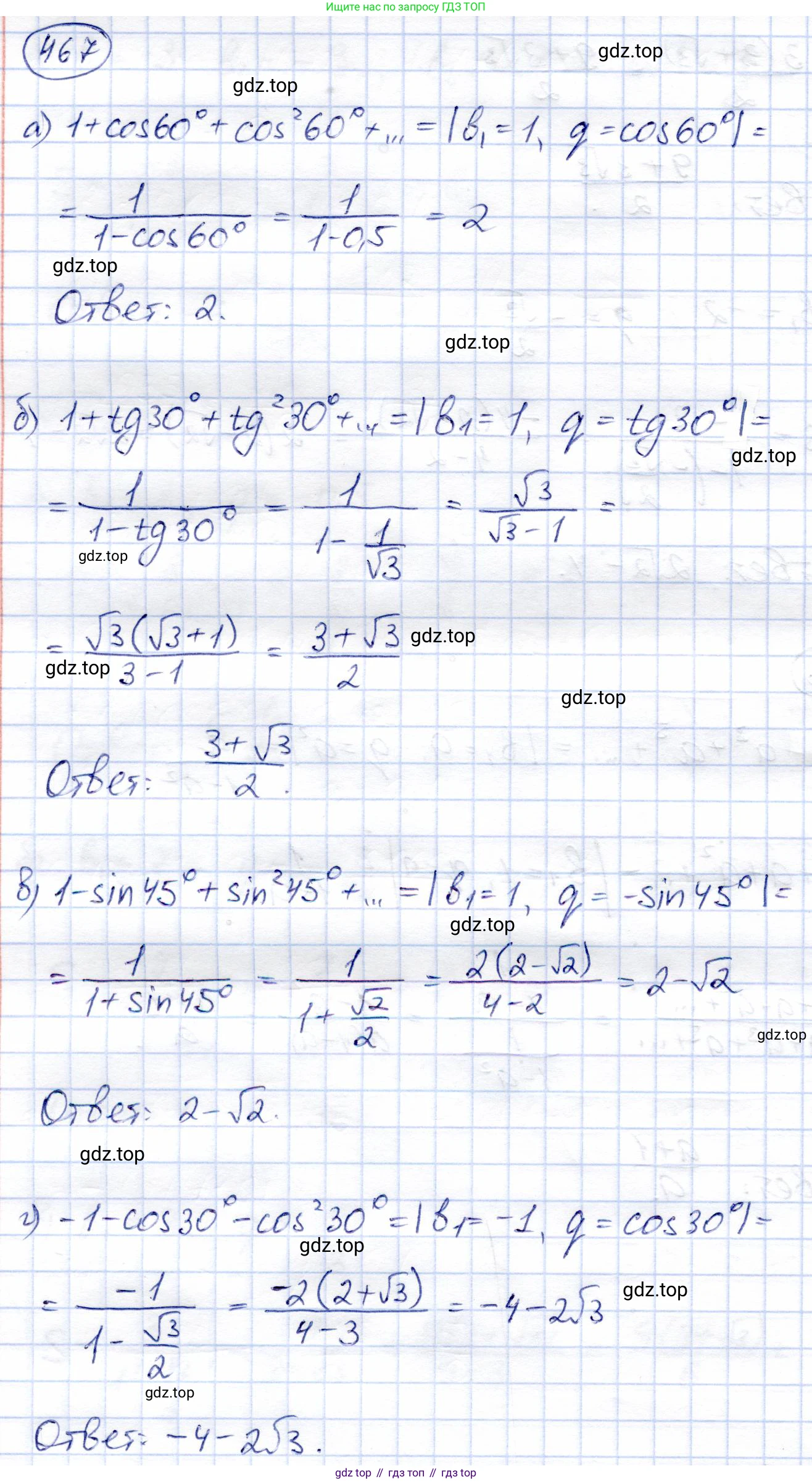
467. Найдите сумму бесконечной прогрессии:
а) $1 + \cos 60^\circ + \cos^2 60^\circ + ...$;
б) $1 + \tan 30^\circ + \tan^2 30^\circ + ...$;
в) $1 - \sin 45^\circ + \sin^2 45^\circ - ...$;
г) $-1 - \cos 30^\circ - \cos^2 30^\circ - ...$.
Решение. №467 (с. 138)

Решение 2 (rus). №467 (с. 138)
а) Данная последовательность является бесконечной убывающей геометрической прогрессией. Первый член прогрессии $b_1 = 1$. Знаменатель прогрессии $q$ равен отношению второго члена к первому: $q = \frac{\cos 60^\circ}{1} = \cos 60^\circ$.
Найдем значение знаменателя: $q = \cos 60^\circ = \frac{1}{2}$.
Поскольку $|q| = |\frac{1}{2}| < 1$, прогрессия является сходящейся, и ее сумму можно найти по формуле $S = \frac{b_1}{1-q}$.
Подставим значения $b_1$ и $q$:
$S = \frac{1}{1 - \frac{1}{2}} = \frac{1}{\frac{1}{2}} = 2$.
Ответ: $2$.
б) Данная последовательность является бесконечной убывающей геометрической прогрессией. Первый член прогрессии $b_1 = 1$. Знаменатель прогрессии $q$ равен отношению второго члена к первому: $q = \frac{\tg 30^\circ}{1} = \tg 30^\circ$.
Найдем значение знаменателя: $q = \tg 30^\circ = \frac{1}{\sqrt{3}}$.
Поскольку $|q| = |\frac{1}{\sqrt{3}}| < 1$, прогрессия является сходящейся. Найдем ее сумму по формуле $S = \frac{b_1}{1-q}$.
Подставим значения $b_1$ и $q$:
$S = \frac{1}{1 - \frac{1}{\sqrt{3}}} = \frac{1}{\frac{\sqrt{3}-1}{\sqrt{3}}} = \frac{\sqrt{3}}{\sqrt{3}-1}$.
Избавимся от иррациональности в знаменателе, умножив числитель и знаменатель на сопряженное выражение $(\sqrt{3}+1)$:
$S = \frac{\sqrt{3}(\sqrt{3}+1)}{(\sqrt{3}-1)(\sqrt{3}+1)} = \frac{3+\sqrt{3}}{(\sqrt{3})^2 - 1^2} = \frac{3+\sqrt{3}}{3-1} = \frac{3+\sqrt{3}}{2}$.
Ответ: $\frac{3+\sqrt{3}}{2}$.
в) Данная последовательность является бесконечной убывающей геометрической прогрессией. Первый член прогрессии $b_1 = 1$. Знаменатель прогрессии $q$ равен отношению второго члена к первому: $q = \frac{-\sin 45^\circ}{1} = -\sin 45^\circ$.
Найдем значение знаменателя: $q = -\sin 45^\circ = -\frac{\sqrt{2}}{2}$.
Поскольку $|q| = |-\frac{\sqrt{2}}{2}| = \frac{\sqrt{2}}{2} < 1$, прогрессия является сходящейся. Найдем ее сумму по формуле $S = \frac{b_1}{1-q}$.
Подставим значения $b_1$ и $q$:
$S = \frac{1}{1 - (-\frac{\sqrt{2}}{2})} = \frac{1}{1 + \frac{\sqrt{2}}{2}} = \frac{1}{\frac{2+\sqrt{2}}{2}} = \frac{2}{2+\sqrt{2}}$.
Избавимся от иррациональности в знаменателе, умножив числитель и знаменатель на сопряженное выражение $(2-\sqrt{2})$:
$S = \frac{2(2-\sqrt{2})}{(2+\sqrt{2})(2-\sqrt{2})} = \frac{2(2-\sqrt{2})}{2^2 - (\sqrt{2})^2} = \frac{2(2-\sqrt{2})}{4-2} = \frac{2(2-\sqrt{2})}{2} = 2-\sqrt{2}$.
Ответ: $2-\sqrt{2}$.
г) Данная последовательность является бесконечной убывающей геометрической прогрессией. Первый член прогрессии $b_1 = -1$. Знаменатель прогрессии $q$ равен отношению второго члена к первому: $q = \frac{-\cos 30^\circ}{-1} = \cos 30^\circ$.
Найдем значение знаменателя: $q = \cos 30^\circ = \frac{\sqrt{3}}{2}$.
Поскольку $|q| = |\frac{\sqrt{3}}{2}| < 1$, прогрессия является сходящейся. Найдем ее сумму по формуле $S = \frac{b_1}{1-q}$.
Подставим значения $b_1$ и $q$:
$S = \frac{-1}{1 - \frac{\sqrt{3}}{2}} = \frac{-1}{\frac{2-\sqrt{3}}{2}} = \frac{-2}{2-\sqrt{3}}$.
Избавимся от иррациональности в знаменателе, умножив числитель и знаменатель на сопряженное выражение $(2+\sqrt{3})$:
$S = \frac{-2(2+\sqrt{3})}{(2-\sqrt{3})(2+\sqrt{3})} = \frac{-2(2+\sqrt{3})}{2^2 - (\sqrt{3})^2} = \frac{-2(2+\sqrt{3})}{4-3} = -2(2+\sqrt{3}) = -4-2\sqrt{3}$.
Ответ: $-4-2\sqrt{3}$.
Другие задания:
Помогло решение? Оставьте отзыв в комментариях ниже.
Присоединяйтесь к Телеграм-группе @top_gdz
ПрисоединитьсяМы подготовили для вас ответ c подробным объяснением домашего задания по алгебре за 9 класс, для упражнения номер 467 расположенного на странице 138 к учебнику 2019 года издания для учащихся школ и гимназий.
Теперь на нашем сайте ГДЗ.ТОП вы всегда легко и бесплатно найдёте условие с правильным ответом на вопрос «Как решить ДЗ» и «Как сделать» задание по алгебре к упражнению №467 (с. 138), авторов: Солтан (Генадий Николаевич), Солтан (Алла Евгеньевна), Жумадилова (Аманбала Жумадиловна), учебного пособия издательства Кокшетау.