Номер 488, страница 141 - гдз по алгебре 9 класс учебник Солтан, Солтан

Авторы: Солтан Г. Н., Солтан А. Е., Жумадилова А. Ж.
Тип: Учебник
Издательство: Кокшетау
Год издания: 2019 - 2025
Цвет обложки:
ISBN: 978-601-317-424-2
Рекомендовано Министерством образования и науки Республики Казахстан
Популярные ГДЗ в 9 классе
20. Упражнения на повторение раздела «Последовательности». III. Последовательности - номер 488, страница 141.
№488 (с. 141)
Условие. №488 (с. 141)
скриншот условия

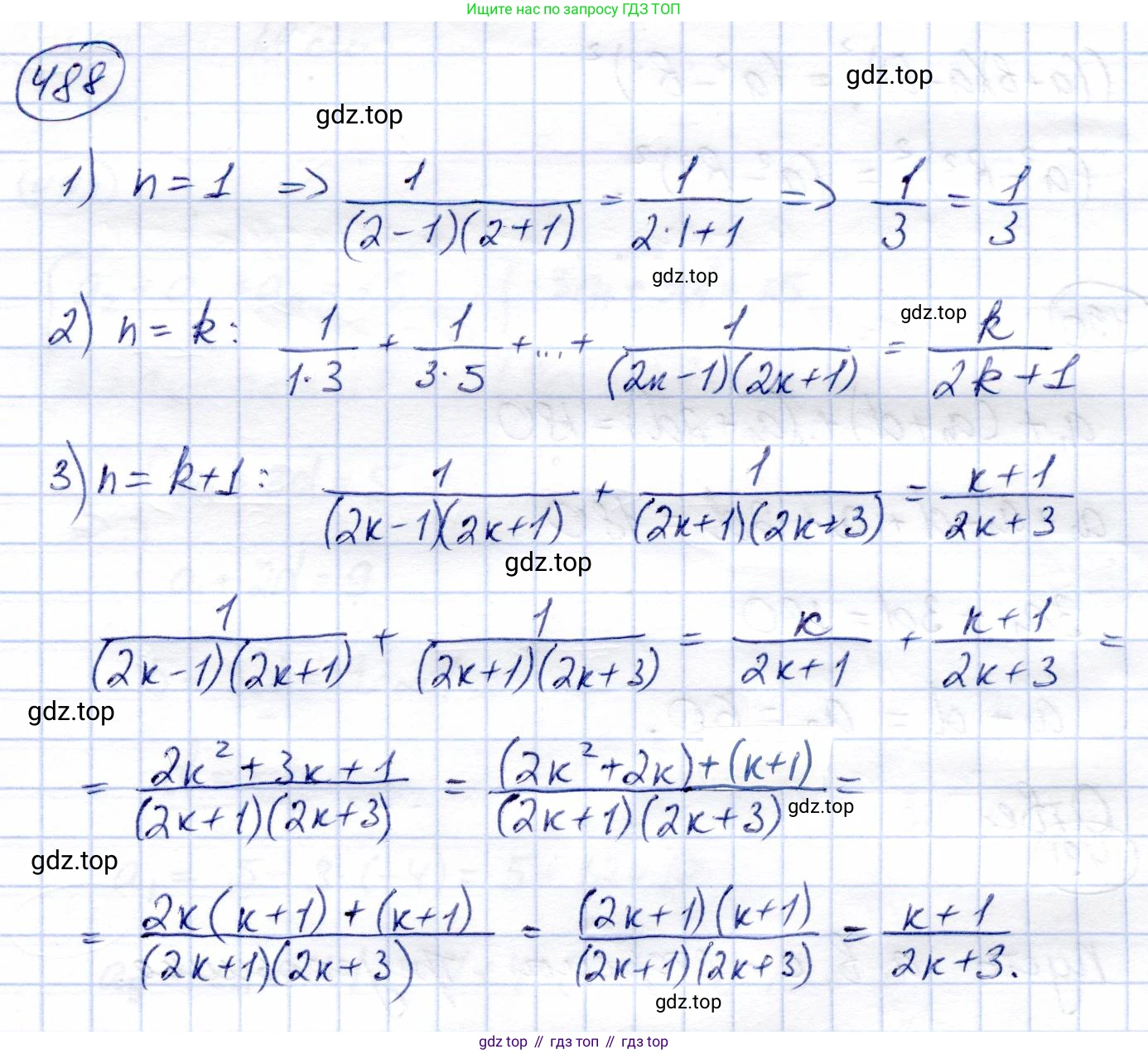
488. Докажите, что при любых $n \in N$ верно равенство $\frac{1}{1 \cdot 3} + \frac{1}{3 \cdot 5} + \dots + \frac{1}{(2n-1)(2n+1)} = \frac{n}{2n+1}$.
Решение. №488 (с. 141)

Решение 2 (rus). №488 (с. 141)
Для доказательства данного равенства воспользуемся методом математической индукции.
Обозначим доказываемое утверждение как $P(n)$: $ \frac{1}{1 \cdot 3} + \frac{1}{3 \cdot 5} + \dots + \frac{1}{(2n-1)(2n+1)} = \frac{n}{2n+1} $.
1. База индукции
Проверим, выполняется ли равенство для $n=1$.
Левая часть (ЛЧ) при $n=1$ состоит из одного слагаемого:
$ЛЧ = \frac{1}{(2 \cdot 1 - 1)(2 \cdot 1 + 1)} = \frac{1}{1 \cdot 3} = \frac{1}{3}$.
Правая часть (ПЧ) при $n=1$:
$ПЧ = \frac{1}{2 \cdot 1 + 1} = \frac{1}{3}$.
Поскольку ЛЧ = ПЧ, утверждение $P(1)$ истинно.
2. Индукционный переход
Предположим, что утверждение $P(k)$ истинно для некоторого произвольного натурального числа $k \ge 1$. Это наше индукционное предположение:
$\frac{1}{1 \cdot 3} + \frac{1}{3 \cdot 5} + \dots + \frac{1}{(2k-1)(2k+1)} = \frac{k}{2k+1}$.
Теперь докажем, что из этого следует истинность утверждения $P(k+1)$, которое имеет вид:
$\frac{1}{1 \cdot 3} + \frac{1}{3 \cdot 5} + \dots + \frac{1}{(2(k+1)-1)(2(k+1)+1)} = \frac{k+1}{2(k+1)+1}$.
Преобразуем выражение для $P(k+1)$:
$\frac{1}{1 \cdot 3} + \frac{1}{3 \cdot 5} + \dots + \frac{1}{(2k+1)(2k+3)} = \frac{k+1}{2k+3}$.
Рассмотрим левую часть этого равенства. Её можно представить как сумму $k$ первых членов и $(k+1)$-й член:
$ЛЧ = \left(\frac{1}{1 \cdot 3} + \frac{1}{3 \cdot 5} + \dots + \frac{1}{(2k-1)(2k+1)}\right) + \frac{1}{(2k+1)(2k+3)}$.
Согласно индукционному предположению, выражение в скобках равно $\frac{k}{2k+1}$. Подставим его:
$ЛЧ = \frac{k}{2k+1} + \frac{1}{(2k+1)(2k+3)}$.
Приведём дроби к общему знаменателю $(2k+1)(2k+3)$:
$ЛЧ = \frac{k(2k+3)}{(2k+1)(2k+3)} + \frac{1}{(2k+1)(2k+3)} = \frac{k(2k+3) + 1}{(2k+1)(2k+3)}$.
Раскроем скобки в числителе:
$ЛЧ = \frac{2k^2 + 3k + 1}{(2k+1)(2k+3)}$.
Разложим числитель $2k^2 + 3k + 1$ на множители. Для этого решим квадратное уравнение $2k^2 + 3k + 1 = 0$. Корни уравнения: $k_1 = -1$ и $k_2 = -1/2$.
Следовательно, $2k^2 + 3k + 1 = 2(k - (-1))(k - (-1/2)) = 2(k+1)(k+1/2) = (k+1)(2k+1)$.
Подставим разложенный на множители числитель обратно в выражение для ЛЧ:
$ЛЧ = \frac{(k+1)(2k+1)}{(2k+1)(2k+3)}$.
Сократим дробь на общий множитель $(2k+1)$, который не равен нулю, так как $k \ge 1$:
$ЛЧ = \frac{k+1}{2k+3}$.
Полученное выражение в точности совпадает с правой частью равенства для $P(k+1)$. Таким образом, индукционный переход доказан.
Вывод
Мы доказали, что утверждение верно для $n=1$ (база индукции) и что из истинности утверждения для $n=k$ следует его истинность для $n=k+1$ (индукционный переход). Следовательно, по принципу математической индукции, исходное равенство верно для всех натуральных чисел $n$.
Ответ: Равенство $\frac{1}{1 \cdot 3} + \frac{1}{3 \cdot 5} + \dots + \frac{1}{(2n-1)(2n+1)} = \frac{n}{2n+1}$ доказано для всех $n \in \mathbb{N}$.
Другие задания:
Помогло решение? Оставьте отзыв в комментариях ниже.
Присоединяйтесь к Телеграм-группе @top_gdz
ПрисоединитьсяМы подготовили для вас ответ c подробным объяснением домашего задания по алгебре за 9 класс, для упражнения номер 488 расположенного на странице 141 к учебнику 2019 года издания для учащихся школ и гимназий.
Теперь на нашем сайте ГДЗ.ТОП вы всегда легко и бесплатно найдёте условие с правильным ответом на вопрос «Как решить ДЗ» и «Как сделать» задание по алгебре к упражнению №488 (с. 141), авторов: Солтан (Генадий Николаевич), Солтан (Алла Евгеньевна), Жумадилова (Аманбала Жумадиловна), учебного пособия издательства Кокшетау.