Номер 592, страница 171 - гдз по алгебре 9 класс учебник Солтан, Солтан

Авторы: Солтан Г. Н., Солтан А. Е., Жумадилова А. Ж.
Тип: Учебник
Издательство: Кокшетау
Год издания: 2019 - 2025
Цвет обложки:
ISBN: 978-601-317-424-2
Рекомендовано Министерством образования и науки Республики Казахстан
Популярные ГДЗ в 9 классе
22. Синус, косинус, тангенс и котангенс произвольного угла. IV. Тригонометрия - номер 592, страница 171.
№592 (с. 171)
Условие. №592 (с. 171)
скриншот условия

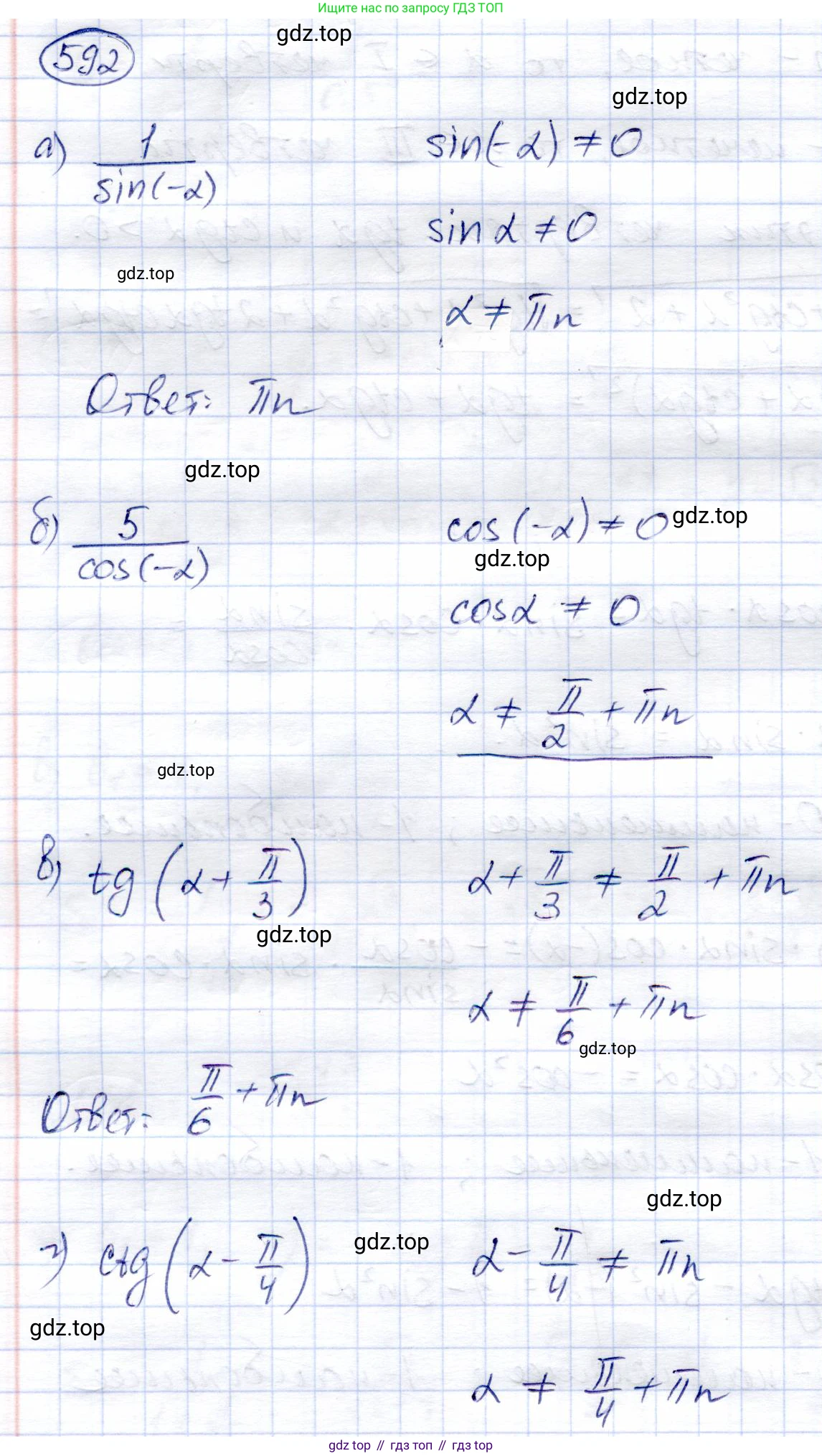
592. При каких значениях $\alpha$ не имеет смысла выражение:
а) $\frac{1}{\sin(-\alpha)};$
б) $\frac{5}{\cos(-\alpha)};$
в) $\operatorname{tg}(\alpha + \frac{\pi}{3});$
г) $\operatorname{ctg}(\alpha - \frac{\pi}{4})?$
Решение. №592 (с. 171)


Решение 2 (rus). №592 (с. 171)
а) Дробное выражение не имеет смысла, когда его знаменатель равен нулю. В данном случае выражение $\frac{1}{\sin(-\alpha)}$ не имеет смысла при $\sin(-\alpha) = 0$.
Используя свойство нечетности функции синус, $\sin(-\alpha) = -\sin(\alpha)$, получаем уравнение $-\sin(\alpha) = 0$, что равносильно $\sin(\alpha) = 0$.
Решением данного тригонометрического уравнения является серия значений $\alpha = \pi n$, где $n$ — любое целое число ($n \in \mathbb{Z}$).
Ответ: при $\alpha = \pi n$, $n \in \mathbb{Z}$.
б) Выражение $\frac{5}{\cos(-\alpha)}$ не имеет смысла, когда его знаменатель $\cos(-\alpha)$ равен нулю.
Используя свойство четности функции косинус, $\cos(-\alpha) = \cos(\alpha)$, получаем уравнение $\cos(\alpha) = 0$.
Решением данного тригонометрического уравнения является серия значений $\alpha = \frac{\pi}{2} + \pi n$, где $n$ — любое целое число ($n \in \mathbb{Z}$).
Ответ: при $\alpha = \frac{\pi}{2} + \pi n$, $n \in \mathbb{Z}$.
в) Функция тангенса $\operatorname{tg}(x)$ определяется как отношение $\frac{\sin(x)}{\cos(x)}$ и не имеет смысла (не определена), когда ее знаменатель $\cos(x)$ равен нулю.
Для выражения $\operatorname{tg}(\alpha + \frac{\pi}{3})$ это означает, что $\cos(\alpha + \frac{\pi}{3}) = 0$.
Это уравнение выполняется, когда аргумент косинуса равен $\frac{\pi}{2} + \pi n$, где $n \in \mathbb{Z}$.
$\alpha + \frac{\pi}{3} = \frac{\pi}{2} + \pi n$
Чтобы найти $\alpha$, вычтем $\frac{\pi}{3}$ из обеих частей уравнения:
$\alpha = \frac{\pi}{2} - \frac{\pi}{3} + \pi n = \frac{3\pi - 2\pi}{6} + \pi n = \frac{\pi}{6} + \pi n$.
Ответ: при $\alpha = \frac{\pi}{6} + \pi n$, $n \in \mathbb{Z}$.
г) Функция котангенса $\operatorname{ctg}(x)$ определяется как отношение $\frac{\cos(x)}{\sin(x)}$ и не имеет смысла (не определена), когда ее знаменатель $\sin(x)$ равен нулю.
Для выражения $\operatorname{ctg}(\alpha - \frac{\pi}{4})$ это означает, что $\sin(\alpha - \frac{\pi}{4}) = 0$.
Это уравнение выполняется, когда аргумент синуса равен $\pi n$, где $n \in \mathbb{Z}$.
$\alpha - \frac{\pi}{4} = \pi n$
Чтобы найти $\alpha$, прибавим $\frac{\pi}{4}$ к обеим частям уравнения:
$\alpha = \frac{\pi}{4} + \pi n$.
Ответ: при $\alpha = \frac{\pi}{4} + \pi n$, $n \in \mathbb{Z}$.
Другие задания:
Помогло решение? Оставьте отзыв в комментариях ниже.
Присоединяйтесь к Телеграм-группе @top_gdz
ПрисоединитьсяМы подготовили для вас ответ c подробным объяснением домашего задания по алгебре за 9 класс, для упражнения номер 592 расположенного на странице 171 к учебнику 2019 года издания для учащихся школ и гимназий.
Теперь на нашем сайте ГДЗ.ТОП вы всегда легко и бесплатно найдёте условие с правильным ответом на вопрос «Как решить ДЗ» и «Как сделать» задание по алгебре к упражнению №592 (с. 171), авторов: Солтан (Генадий Николаевич), Солтан (Алла Евгеньевна), Жумадилова (Аманбала Жумадиловна), учебного пособия издательства Кокшетау.