Номер 621, страница 181 - гдз по алгебре 9 класс учебник Солтан, Солтан

Авторы: Солтан Г. Н., Солтан А. Е., Жумадилова А. Ж.
Тип: Учебник
Издательство: Кокшетау
Год издания: 2019 - 2025
Цвет обложки:
ISBN: 978-601-317-424-2
Рекомендовано Министерством образования и науки Республики Казахстан
Популярные ГДЗ в 9 классе
23. Тригонометрические функции и их свойства. IV. Тригонометрия - номер 621, страница 181.
№621 (с. 181)
Условие. №621 (с. 181)
скриншот условия

621. Установите, каким должно быть число a, чтобы выполнялось равенство:
a) $ \sin x = \frac{4a - 3}{2 - a} $;
б) $ \cos x = \frac{3a + 2}{3 - a} $;
в) $ \sin x = \frac{a^2 - 3a + 2}{a^2 - 1} $;
г) $ \cos x = \frac{a^2 - 4}{a^2 + a - 2} $;
Решение. №621 (с. 181)



Решение 2 (rus). №621 (с. 181)
а) Чтобы равенство выполнялось, значение выражения в правой части должно принадлежать области значений функции синус, то есть отрезку $ [-1, 1] $. Кроме того, знаменатель дроби не должен быть равен нулю.
Получаем систему неравенств: $ \begin{cases} \frac{4a-3}{2-a} \ge -1 \\ \frac{4a-3}{2-a} \le 1 \end{cases} $ и условие $ 2-a \ne 0 $, то есть $ a \ne 2 $.
Решим первое неравенство: $ \frac{4a-3}{2-a} + 1 \ge 0 $ $ \frac{4a-3+2-a}{2-a} \ge 0 $ $ \frac{3a-1}{2-a} \ge 0 $ Решением этого неравенства методом интервалов является промежуток $ a \in [\frac{1}{3}, 2) $.
Решим второе неравенство: $ \frac{4a-3}{2-a} - 1 \le 0 $ $ \frac{4a-3-(2-a)}{2-a} \le 0 $ $ \frac{5a-5}{2-a} \le 0 $ $ \frac{5(a-1)}{2-a} \le 0 $ Решением этого неравенства является объединение промежутков $ a \in (-\infty, 1] \cup (2, +\infty) $.
Найдем пересечение полученных решений: $ a \in [\frac{1}{3}, 2) \cap ((-\infty, 1] \cup (2, +\infty)) $. Пересечением является отрезок $ [\frac{1}{3}, 1] $.
Ответ: $a \in [\frac{1}{3}, 1]$.
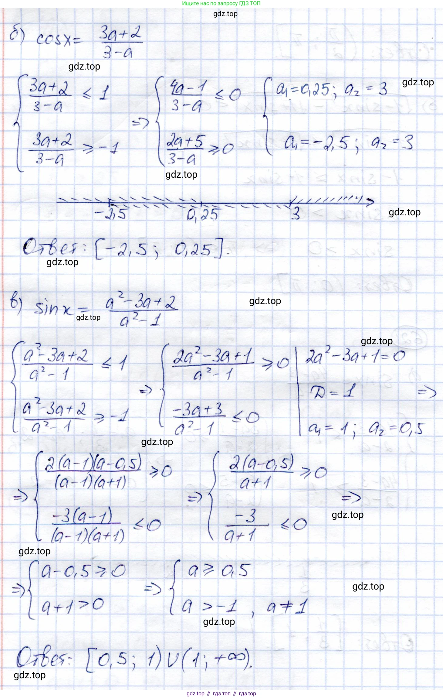
б) Значение выражения в правой части должно принадлежать области значений функции косинус, то есть отрезку $ [-1, 1] $. Знаменатель дроби не должен быть равен нулю.
Получаем систему неравенств: $ \begin{cases} \frac{3a+2}{3-a} \ge -1 \\ \frac{3a+2}{3-a} \le 1 \end{cases} $ и условие $ 3-a \ne 0 $, то есть $ a \ne 3 $.
Решим первое неравенство: $ \frac{3a+2}{3-a} + 1 \ge 0 $ $ \frac{3a+2+3-a}{3-a} \ge 0 $ $ \frac{2a+5}{3-a} \ge 0 $ Решением этого неравенства является промежуток $ a \in [-\frac{5}{2}, 3) $.
Решим второе неравенство: $ \frac{3a+2}{3-a} - 1 \le 0 $ $ \frac{3a+2-(3-a)}{3-a} \le 0 $ $ \frac{4a-1}{3-a} \le 0 $ Решением этого неравенства является объединение промежутков $ a \in (-\infty, \frac{1}{4}] \cup (3, +\infty) $.
Найдем пересечение полученных решений: $ a \in [-\frac{5}{2}, 3) \cap ((-\infty, \frac{1}{4}] \cup (3, +\infty)) $. Пересечением является отрезок $ [-\frac{5}{2}, \frac{1}{4}] $.
Ответ: $a \in [-\frac{5}{2}, \frac{1}{4}]$.
в) Выражение в правой части должно принадлежать отрезку $ [-1, 1] $. Найдем область допустимых значений $ a $. Знаменатель не может быть равен нулю: $ a^2-1 \ne 0 \implies (a-1)(a+1) \ne 0 \implies a \ne 1 $ и $ a \ne -1 $.
Упростим выражение в правой части, разложив числитель и знаменатель на множители: $ \sin x = \frac{a^2-3a+2}{a^2-1} = \frac{(a-1)(a-2)}{(a-1)(a+1)} = \frac{a-2}{a+1} $ при $ a \ne 1 $.
Теперь решаем двойное неравенство для упрощенного выражения: $ -1 \le \frac{a-2}{a+1} \le 1 $. Система неравенств: $ \begin{cases} \frac{a-2}{a+1} \ge -1 \\ \frac{a-2}{a+1} \le 1 \end{cases} $ при условии $ a \ne -1 $ и $ a \ne 1 $.
Первое неравенство: $ \frac{a-2}{a+1} + 1 \ge 0 \implies \frac{a-2+a+1}{a+1} \ge 0 \implies \frac{2a-1}{a+1} \ge 0 $. Решение: $ a \in (-\infty, -1) \cup [\frac{1}{2}, +\infty) $.
Второе неравенство: $ \frac{a-2}{a+1} - 1 \le 0 \implies \frac{a-2-(a+1)}{a+1} \le 0 \implies \frac{-3}{a+1} \le 0 $. Это неравенство верно, когда $ a+1 > 0 $, то есть $ a > -1 $. Решение: $ a \in (-1, +\infty) $.
Пересечение решений $ a \in ((-\infty, -1) \cup [\frac{1}{2}, +\infty)) \cap (-1, +\infty) $ дает $ a \in [\frac{1}{2}, +\infty) $. Учитывая исходное ограничение $ a \ne 1 $, получаем окончательный ответ.
Ответ: $a \in [\frac{1}{2}, 1) \cup (1, +\infty)$.
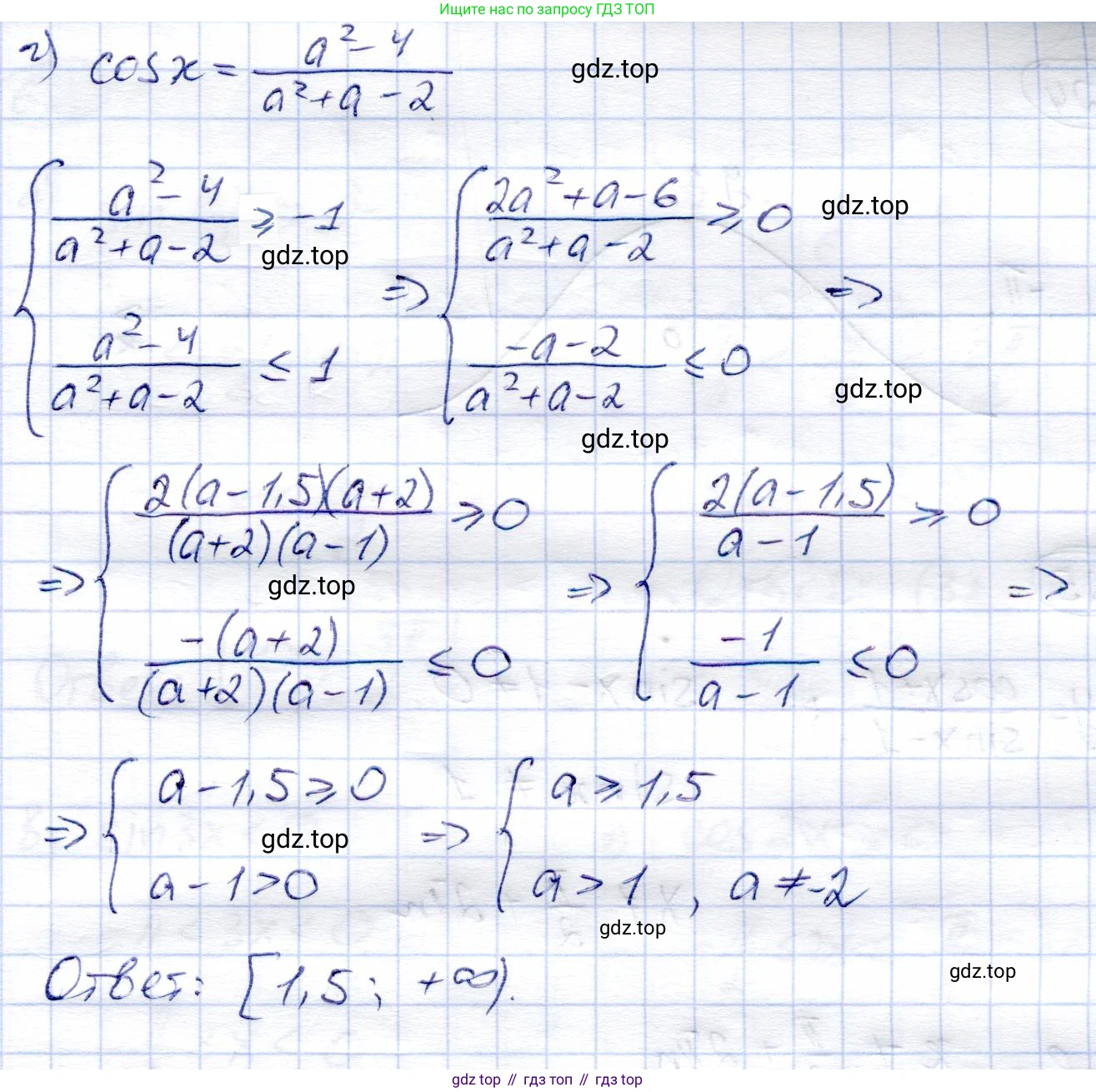
г) Выражение в правой части должно принадлежать отрезку $ [-1, 1] $. Найдем ОДЗ: $ a^2+a-2 \ne 0 $. Корнями уравнения $ a^2+a-2 = 0 $ являются $ a_1=1 $ и $ a_2=-2 $. Значит, $ a \ne 1 $ и $ a \ne -2 $.
Упростим выражение: $ \cos x = \frac{a^2-4}{a^2+a-2} = \frac{(a-2)(a+2)}{(a-1)(a+2)} = \frac{a-2}{a-1} $ при $ a \ne -2 $.
Решаем двойное неравенство: $ -1 \le \frac{a-2}{a-1} \le 1 $. Система неравенств: $ \begin{cases} \frac{a-2}{a-1} \ge -1 \\ \frac{a-2}{a-1} \le 1 \end{cases} $ при условии $ a \ne 1 $ и $ a \ne -2 $.
Первое неравенство: $ \frac{a-2}{a-1} + 1 \ge 0 \implies \frac{a-2+a-1}{a-1} \ge 0 \implies \frac{2a-3}{a-1} \ge 0 $. Решение: $ a \in (-\infty, 1) \cup [\frac{3}{2}, +\infty) $.
Второе неравенство: $ \frac{a-2}{a-1} - 1 \le 0 \implies \frac{a-2-(a-1)}{a-1} \le 0 \implies \frac{-1}{a-1} \le 0 $. Это неравенство верно, когда $ a-1 > 0 $, то есть $ a > 1 $. Решение: $ a \in (1, +\infty) $.
Пересечение решений $ a \in ((-\infty, 1) \cup [\frac{3}{2}, +\infty)) \cap (1, +\infty) $ дает $ a \in [\frac{3}{2}, +\infty) $. Этот промежуток удовлетворяет всем исходным ограничениям.
Ответ: $a \in [\frac{3}{2}, +\infty)$.
Другие задания:
Помогло решение? Оставьте отзыв в комментариях ниже.
Присоединяйтесь к Телеграм-группе @top_gdz
ПрисоединитьсяМы подготовили для вас ответ c подробным объяснением домашего задания по алгебре за 9 класс, для упражнения номер 621 расположенного на странице 181 к учебнику 2019 года издания для учащихся школ и гимназий.
Теперь на нашем сайте ГДЗ.ТОП вы всегда легко и бесплатно найдёте условие с правильным ответом на вопрос «Как решить ДЗ» и «Как сделать» задание по алгебре к упражнению №621 (с. 181), авторов: Солтан (Генадий Николаевич), Солтан (Алла Евгеньевна), Жумадилова (Аманбала Жумадиловна), учебного пособия издательства Кокшетау.