Номер 647, страница 187 - гдз по алгебре 9 класс учебник Солтан, Солтан

Авторы: Солтан Г. Н., Солтан А. Е., Жумадилова А. Ж.
Тип: Учебник
Издательство: Кокшетау
Год издания: 2019 - 2025
Цвет обложки:
ISBN: 978-601-317-424-2
Рекомендовано Министерством образования и науки Республики Казахстан
Популярные ГДЗ в 9 классе
24. Основные тригонометрические тождества. IV. Тригонометрия - номер 647, страница 187.
№647 (с. 187)
Условие. №647 (с. 187)
скриншот условия

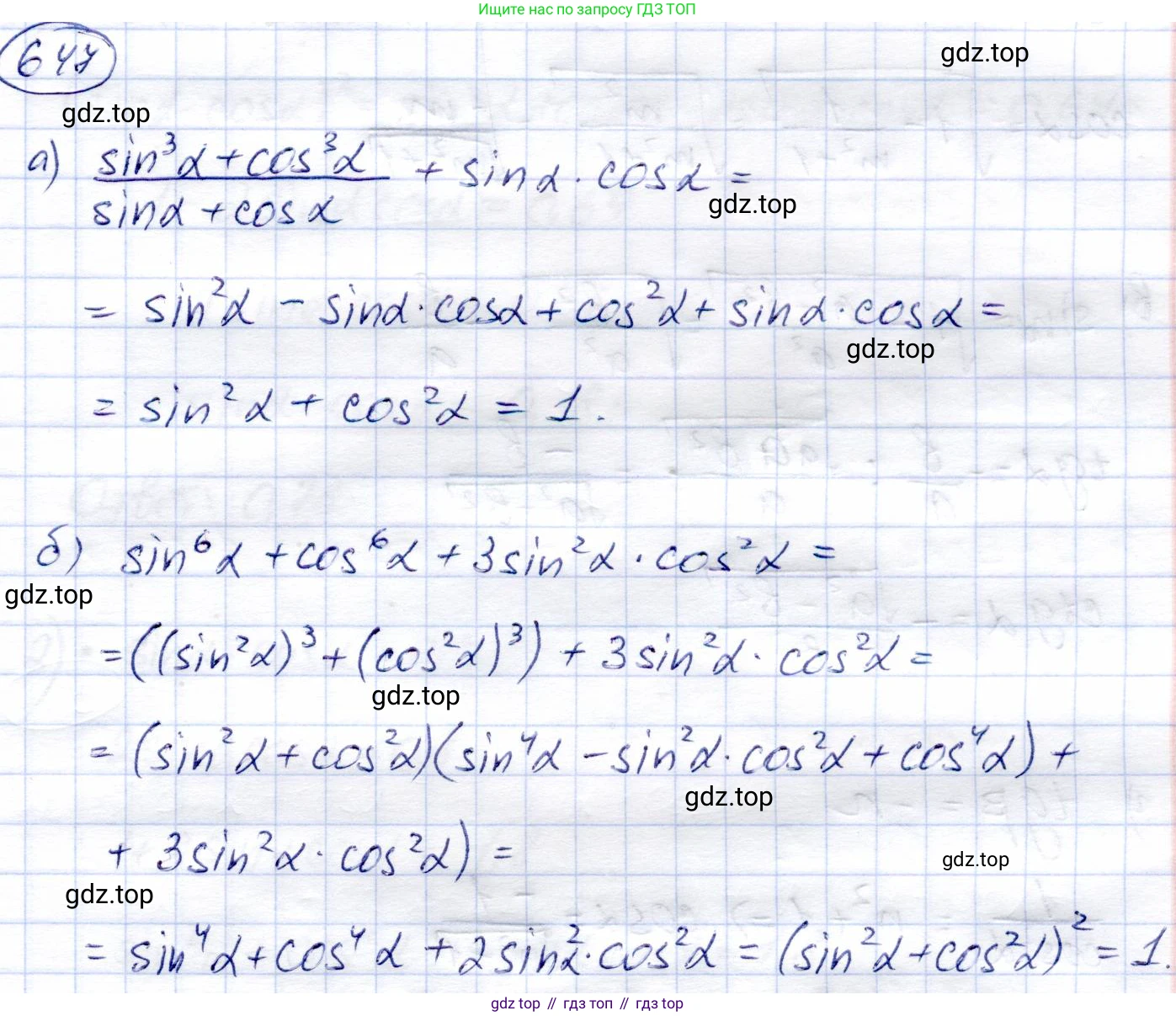
647. Упростите выражение:
а) $\frac{\sin^3 \alpha + \cos^3 \alpha}{\sin \alpha + \cos \alpha} + \sin \alpha \cdot \cos \alpha$;
б) $\sin^6 \alpha + \cos^6 \alpha + 3\sin^2 \alpha \cdot \cos^2 \alpha$.
Решение. №647 (с. 187)

Решение 2 (rus). №647 (с. 187)
а) $ \frac{\sin^3 \alpha + \cos^3 \alpha}{\sin \alpha + \cos \alpha} + \sin \alpha \cdot \cos \alpha $
Для упрощения числителя дроби воспользуемся формулой суммы кубов: $a^3 + b^3 = (a+b)(a^2 - ab + b^2)$.
Применим эту формулу к выражению $\sin^3 \alpha + \cos^3 \alpha$:
$\sin^3 \alpha + \cos^3 \alpha = (\sin \alpha + \cos \alpha)(\sin^2 \alpha - \sin \alpha \cos \alpha + \cos^2 \alpha)$
Подставим это в исходное выражение:
$ \frac{(\sin \alpha + \cos \alpha)(\sin^2 \alpha - \sin \alpha \cos \alpha + \cos^2 \alpha)}{\sin \alpha + \cos \alpha} + \sin \alpha \cos \alpha $
Сократим дробь на $(\sin \alpha + \cos \alpha)$, при условии, что $\sin \alpha + \cos \alpha \neq 0$:
$ \sin^2 \alpha - \sin \alpha \cos \alpha + \cos^2 \alpha + \sin \alpha \cos \alpha $
Сгруппируем слагаемые и применим основное тригонометрическое тождество $\sin^2 \alpha + \cos^2 \alpha = 1$:
$ (\sin^2 \alpha + \cos^2 \alpha) - \sin \alpha \cos \alpha + \sin \alpha \cos \alpha = 1 - \sin \alpha \cos \alpha + \sin \alpha \cos \alpha $
Приведем подобные слагаемые:
$ 1 + 0 = 1 $
Ответ: 1
б) $ \sin^6 \alpha + \cos^6 \alpha + 3\sin^2\alpha \cdot \cos^2\alpha $
Воспользуемся основным тригонометрическим тождеством: $\sin^2 \alpha + \cos^2 \alpha = 1$.
Возведем обе части этого тождества в куб, используя формулу куба суммы $(a+b)^3 = a^3 + b^3 + 3ab(a+b)$:
$ (\sin^2 \alpha + \cos^2 \alpha)^3 = 1^3 $
Раскроем скобки в левой части:
$ (\sin^2 \alpha)^3 + (\cos^2 \alpha)^3 + 3(\sin^2 \alpha)(\cos^2 \alpha)(\sin^2 \alpha + \cos^2 \alpha) = 1 $
Упростим выражение, зная, что $\sin^2 \alpha + \cos^2 \alpha = 1$:
$ \sin^6 \alpha + \cos^6 \alpha + 3\sin^2 \alpha \cos^2 \alpha \cdot (1) = 1 $
$ \sin^6 \alpha + \cos^6 \alpha + 3\sin^2 \alpha \cos^2 \alpha = 1 $
Таким образом, исходное выражение равно 1.
Ответ: 1
Другие задания:
Помогло решение? Оставьте отзыв в комментариях ниже.
Присоединяйтесь к Телеграм-группе @top_gdz
ПрисоединитьсяМы подготовили для вас ответ c подробным объяснением домашего задания по алгебре за 9 класс, для упражнения номер 647 расположенного на странице 187 к учебнику 2019 года издания для учащихся школ и гимназий.
Теперь на нашем сайте ГДЗ.ТОП вы всегда легко и бесплатно найдёте условие с правильным ответом на вопрос «Как решить ДЗ» и «Как сделать» задание по алгебре к упражнению №647 (с. 187), авторов: Солтан (Генадий Николаевич), Солтан (Алла Евгеньевна), Жумадилова (Аманбала Жумадиловна), учебного пособия издательства Кокшетау.