Номер 652, страница 188 - гдз по алгебре 9 класс учебник Солтан, Солтан

Авторы: Солтан Г. Н., Солтан А. Е., Жумадилова А. Ж.
Тип: Учебник
Издательство: Кокшетау
Год издания: 2019 - 2025
Цвет обложки:
ISBN: 978-601-317-424-2
Рекомендовано Министерством образования и науки Республики Казахстан
Популярные ГДЗ в 9 классе
24. Основные тригонометрические тождества. IV. Тригонометрия - номер 652, страница 188.
№652 (с. 188)
Условие. №652 (с. 188)
скриншот условия

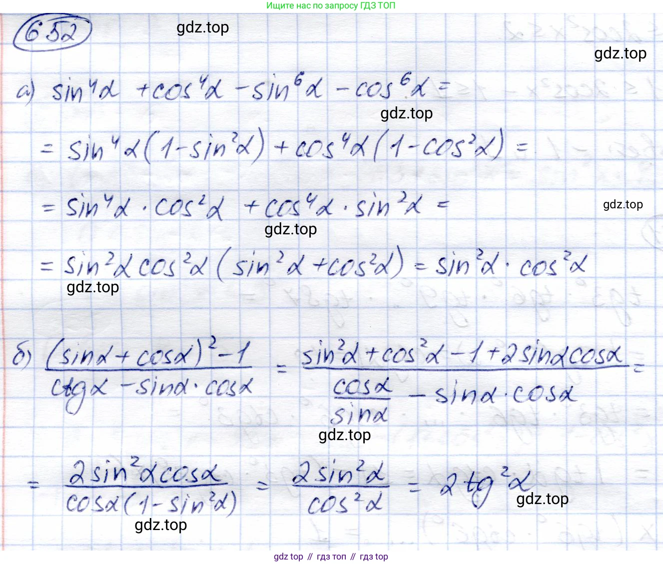
652. Упростите выражение:
а) $\sin^4 \alpha + \cos^4 \alpha - \sin^6 \alpha - \cos^6 \alpha$;
б) $\frac{(\sin \alpha + \cos \alpha)^2 - 1}{\text{ctg } \alpha - \sin \alpha \cdot \cos \alpha}$.
Решение. №652 (с. 188)

Решение 2 (rus). №652 (с. 188)
а) Требуется упростить выражение $\sin^4\alpha + \cos^4\alpha - \sin^6\alpha - \cos^6\alpha$.
Сгруппируем слагаемые следующим образом:
$(\sin^4\alpha - \sin^6\alpha) + (\cos^4\alpha - \cos^6\alpha)$.
Вынесем общие множители за скобки в каждой группе:
$\sin^4\alpha(1 - \sin^2\alpha) + \cos^4\alpha(1 - \cos^2\alpha)$.
Применим основное тригонометрическое тождество $\sin^2\alpha + \cos^2\alpha = 1$. Из него следуют равенства: $1 - \sin^2\alpha = \cos^2\alpha$ и $1 - \cos^2\alpha = \sin^2\alpha$. Подставим их в наше выражение:
$\sin^4\alpha \cdot \cos^2\alpha + \cos^4\alpha \cdot \sin^2\alpha$.
Теперь вынесем за скобки общий множитель $\sin^2\alpha\cos^2\alpha$:
$\sin^2\alpha\cos^2\alpha(\sin^2\alpha + \cos^2\alpha)$.
Снова используем основное тригонометрическое тождество $\sin^2\alpha + \cos^2\alpha = 1$:
$\sin^2\alpha\cos^2\alpha \cdot 1 = \sin^2\alpha\cos^2\alpha$.
Ответ: $\sin^2\alpha\cos^2\alpha$.
б) Требуется упростить выражение $\frac{(\sin\alpha + \cos\alpha)^2 - 1}{\text{ctg}\alpha - \sin\alpha \cdot \cos\alpha}$.
Упростим числитель и знаменатель дроби по отдельности.
1. Упростим числитель: $(\sin\alpha + \cos\alpha)^2 - 1$.
Раскроем квадрат суммы: $(\sin^2\alpha + 2\sin\alpha\cos\alpha + \cos^2\alpha) - 1$.
Сгруппируем слагаемые и применим основное тригонометрическое тождество $\sin^2\alpha + \cos^2\alpha = 1$:
$(\sin^2\alpha + \cos^2\alpha) + 2\sin\alpha\cos\alpha - 1 = 1 + 2\sin\alpha\cos\alpha - 1 = 2\sin\alpha\cos\alpha$.
2. Упростим знаменатель: $\text{ctg}\alpha - \sin\alpha \cdot \cos\alpha$.
Используем определение котангенса $\text{ctg}\alpha = \frac{\cos\alpha}{\sin\alpha}$:
$\frac{\cos\alpha}{\sin\alpha} - \sin\alpha\cos\alpha$.
Приведем к общему знаменателю $\sin\alpha$:
$\frac{\cos\alpha - (\sin\alpha\cos\alpha)\sin\alpha}{\sin\alpha} = \frac{\cos\alpha - \sin^2\alpha\cos\alpha}{\sin\alpha}$.
Вынесем в числителе общий множитель $\cos\alpha$ за скобки:
$\frac{\cos\alpha(1 - \sin^2\alpha)}{\sin\alpha}$.
Используя тождество $1 - \sin^2\alpha = \cos^2\alpha$, получим:
$\frac{\cos\alpha \cdot \cos^2\alpha}{\sin\alpha} = \frac{\cos^3\alpha}{\sin\alpha}$.
3. Подставим упрощенные числитель и знаменатель обратно в дробь:
$\frac{2\sin\alpha\cos\alpha}{\frac{\cos^3\alpha}{\sin\alpha}}$.
Для деления на дробь, умножим на обратную ей дробь:
$2\sin\alpha\cos\alpha \cdot \frac{\sin\alpha}{\cos^3\alpha} = \frac{2\sin^2\alpha\cos\alpha}{\cos^3\alpha}$.
Сократим дробь на $\cos\alpha$:
$\frac{2\sin^2\alpha}{\cos^2\alpha}$.
Так как $\frac{\sin\alpha}{\cos\alpha} = \tan\alpha$, то $\frac{\sin^2\alpha}{\cos^2\alpha} = \tan^2\alpha$.
Окончательное выражение: $2\tan^2\alpha$.
Ответ: $2\tan^2\alpha$.
Другие задания:
Помогло решение? Оставьте отзыв в комментариях ниже.
Присоединяйтесь к Телеграм-группе @top_gdz
ПрисоединитьсяМы подготовили для вас ответ c подробным объяснением домашего задания по алгебре за 9 класс, для упражнения номер 652 расположенного на странице 188 к учебнику 2019 года издания для учащихся школ и гимназий.
Теперь на нашем сайте ГДЗ.ТОП вы всегда легко и бесплатно найдёте условие с правильным ответом на вопрос «Как решить ДЗ» и «Как сделать» задание по алгебре к упражнению №652 (с. 188), авторов: Солтан (Генадий Николаевич), Солтан (Алла Евгеньевна), Жумадилова (Аманбала Жумадиловна), учебного пособия издательства Кокшетау.