Номер 650, страница 188 - гдз по алгебре 9 класс учебник Солтан, Солтан

Авторы: Солтан Г. Н., Солтан А. Е., Жумадилова А. Ж.
Тип: Учебник
Издательство: Кокшетау
Год издания: 2019 - 2025
Цвет обложки:
ISBN: 978-601-317-424-2
Рекомендовано Министерством образования и науки Республики Казахстан
Популярные ГДЗ в 9 классе
24. Основные тригонометрические тождества. IV. Тригонометрия - номер 650, страница 188.
№650 (с. 188)
Условие. №650 (с. 188)
скриншот условия

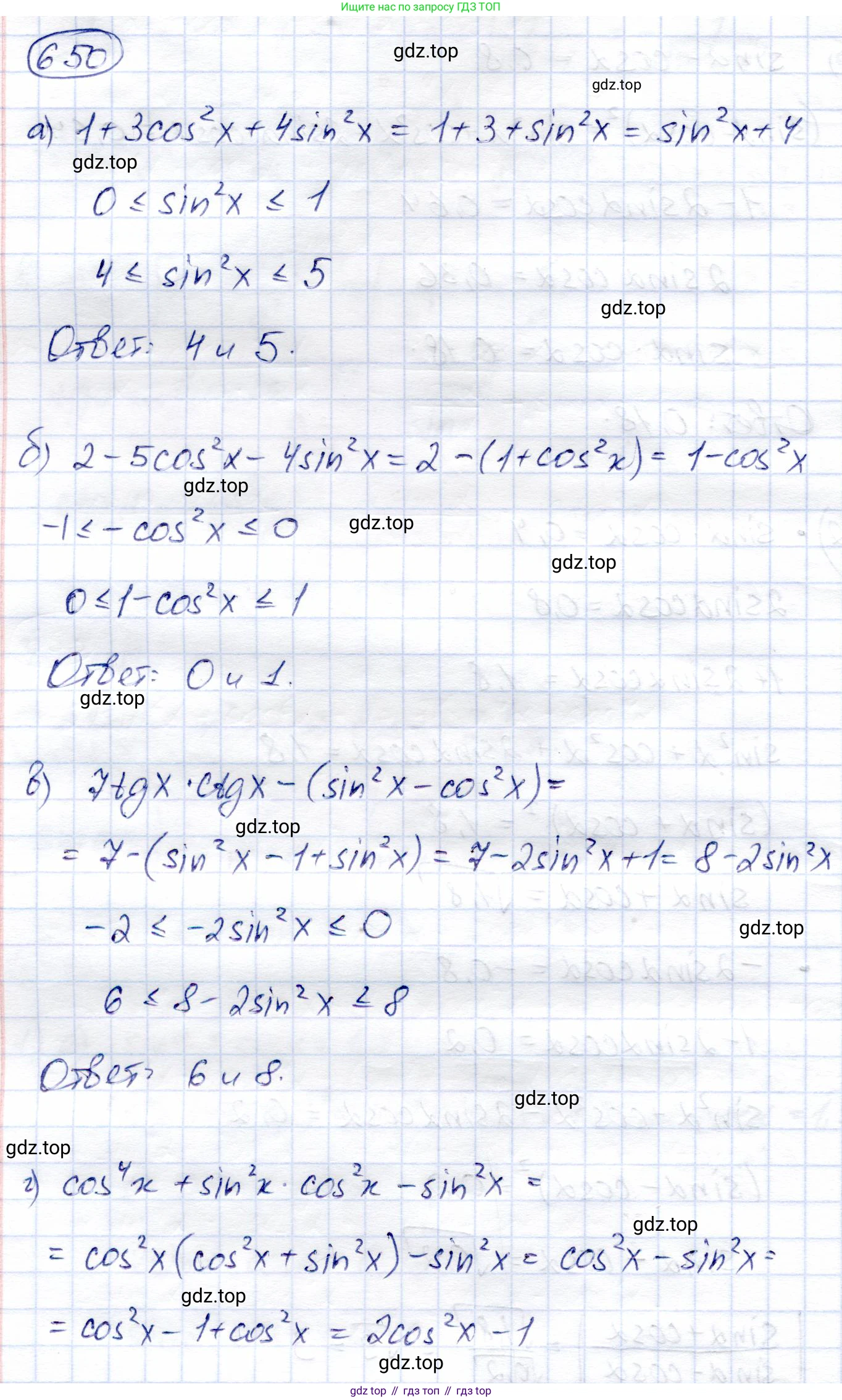
650. Найдите наибольшее и наименьшее значения выражения:
a) $1 + 3\cos^2x + 4\sin^2x;$
б) $2 - 5\cos^2x - 4\sin^2x;$
в) $7\operatorname{tg}x \cdot \operatorname{ctg}x - (\sin^2x - \cos^2x);$
г) $\cos^4x + \sin^2x \cdot \cos^2x - \sin^2x.$
Решение. №650 (с. 188)


Решение 2 (rus). №650 (с. 188)
а) Для нахождения наибольшего и наименьшего значений выражения $1 + 3\cos^2x + 4\sin^2x$ упростим его. Для этого воспользуемся основным тригонометрическим тождеством $\sin^2x + \cos^2x = 1$.
$1 + 3\cos^2x + 4\sin^2x = 1 + 3\cos^2x + 3\sin^2x + \sin^2x = 1 + 3(\cos^2x + \sin^2x) + \sin^2x = 1 + 3(1) + \sin^2x = 4 + \sin^2x$.
Значения функции $\sin x$ лежат в промежутке $[-1, 1]$, следовательно, значения $\sin^2x$ лежат в промежутке $[0, 1]$.
Наименьшее значение выражения достигается при наименьшем значении $\sin^2x$, равном 0: $4 + 0 = 4$.
Наибольшее значение выражения достигается при наибольшем значении $\sin^2x$, равном 1: $4 + 1 = 5$.
Ответ: наименьшее значение 4, наибольшее значение 5.
б) Для нахождения наибольшего и наименьшего значений выражения $2 - 5\cos^2x - 4\sin^2x$ упростим его, используя тождество $\sin^2x = 1 - \cos^2x$.
$2 - 5\cos^2x - 4\sin^2x = 2 - 5\cos^2x - 4(1 - \cos^2x) = 2 - 5\cos^2x - 4 + 4\cos^2x = -2 - \cos^2x$.
Значения функции $\cos x$ лежат в промежутке $[-1, 1]$, следовательно, значения $\cos^2x$ лежат в промежутке $[0, 1]$.
Наибольшее значение выражения $-2 - \cos^2x$ достигается, когда вычитаемое $\cos^2x$ минимально (равно 0): $-2 - 0 = -2$.
Наименьшее значение выражения достигается, когда вычитаемое $\cos^2x$ максимально (равно 1): $-2 - 1 = -3$.
Ответ: наименьшее значение -3, наибольшее значение -2.
в) Рассмотрим выражение $7\tan x \cdot \cot x - (\sin^2x - \cos^2x)$.
Упростим его по частям. Произведение $\tan x \cdot \cot x = 1$ при условии, что $x \neq \frac{k\pi}{2}$ для любого целого $k$. Выражение в скобках равно $-\cos(2x)$, так как $\cos^2x - \sin^2x = \cos(2x)$.
Таким образом, исходное выражение преобразуется к виду $7(1) - (-\cos(2x)) = 7 + \cos(2x)$.
Функция $\cos(2x)$ принимает значения из промежутка $[-1, 1]$.
Наименьшее значение выражения равно $7 + (-1) = 6$.
Наибольшее значение выражения равно $7 + 1 = 8$.
Важно отметить, что из-за области определения исходного выражения ($x \neq \frac{k\pi}{2}$), значения 6 и 8 не достигаются, а являются точной нижней и верхней гранями (инфимумом и супремумом). В задачах такого типа принято указывать эти граничные значения в качестве ответа.
Ответ: наименьшее значение 6, наибольшее значение 8.
г) Рассмотрим выражение $\cos^4x + \sin^2x \cdot \cos^2x - \sin^2x$.
Вынесем $\cos^2x$ за скобки в первых двух слагаемых: $\cos^2x(\cos^2x + \sin^2x) - \sin^2x$.
Применяя основное тригонометрическое тождество $\cos^2x + \sin^2x = 1$, получаем: $\cos^2x(1) - \sin^2x = \cos^2x - \sin^2x$.
Это известная формула косинуса двойного угла: $\cos(2x)$.
Область значений функции $y = \cos(2x)$ — это отрезок $[-1, 1]$.
Следовательно, наименьшее значение выражения равно -1, а наибольшее — 1.
Ответ: наименьшее значение -1, наибольшее значение 1.
Другие задания:
Помогло решение? Оставьте отзыв в комментариях ниже.
Присоединяйтесь к Телеграм-группе @top_gdz
ПрисоединитьсяМы подготовили для вас ответ c подробным объяснением домашего задания по алгебре за 9 класс, для упражнения номер 650 расположенного на странице 188 к учебнику 2019 года издания для учащихся школ и гимназий.
Теперь на нашем сайте ГДЗ.ТОП вы всегда легко и бесплатно найдёте условие с правильным ответом на вопрос «Как решить ДЗ» и «Как сделать» задание по алгебре к упражнению №650 (с. 188), авторов: Солтан (Генадий Николаевич), Солтан (Алла Евгеньевна), Жумадилова (Аманбала Жумадиловна), учебного пособия издательства Кокшетау.