Номер 653, страница 188 - гдз по алгебре 9 класс учебник Солтан, Солтан

Авторы: Солтан Г. Н., Солтан А. Е., Жумадилова А. Ж.
Тип: Учебник
Издательство: Кокшетау
Год издания: 2019 - 2025
Цвет обложки:
ISBN: 978-601-317-424-2
Рекомендовано Министерством образования и науки Республики Казахстан
Популярные ГДЗ в 9 классе
24. Основные тригонометрические тождества. IV. Тригонометрия - номер 653, страница 188.
№653 (с. 188)
Условие. №653 (с. 188)
скриншот условия

653. Докажите тождество:
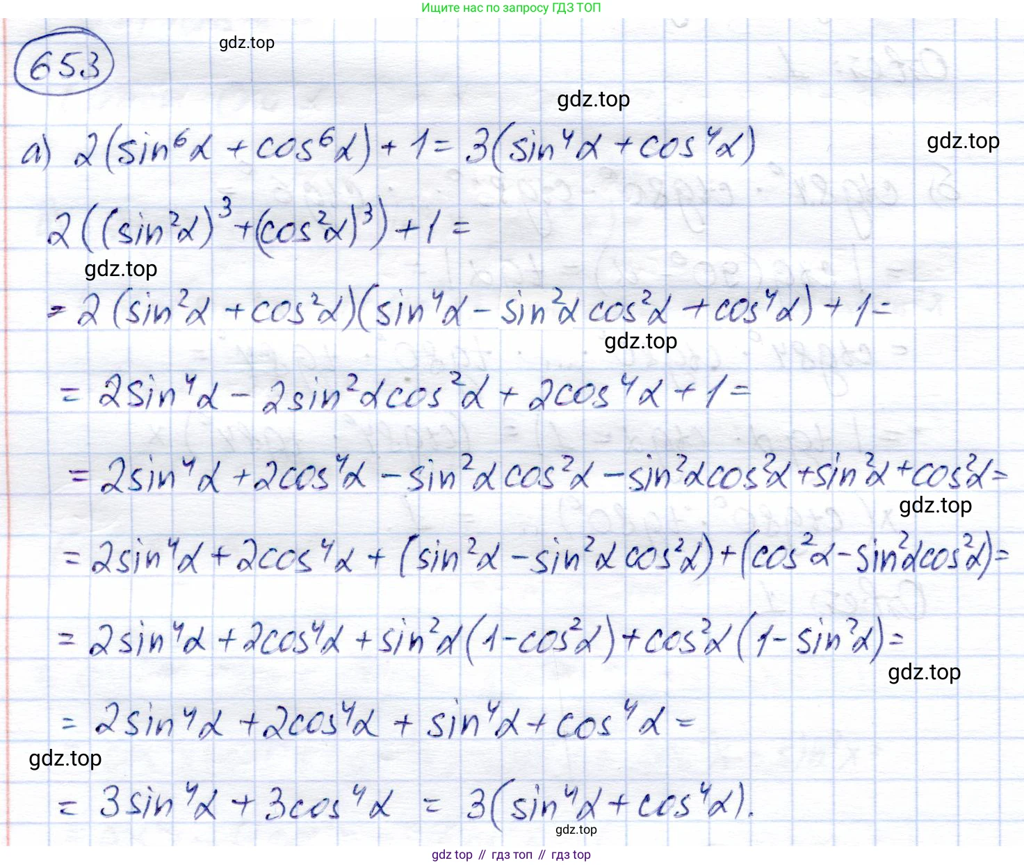
a) $2(\sin^6\alpha + \cos^6\alpha) + 1 = 3(\sin^4\alpha + \cos^4\alpha);$
б) $\frac{\sin^2\alpha - \cos^2\alpha}{1+2\sin\alpha\cdot\cos\alpha} = \frac{\operatorname{tg}\alpha - 1}{\operatorname{tg}\alpha + 1}.$
Решение. №653 (с. 188)


Решение 2 (rus). №653 (с. 188)
a) Докажем тождество $2(\sin^6\alpha + \cos^6\alpha) + 1 = 3(\sin^4\alpha + \cos^4\alpha)$.
Для доказательства преобразуем левую и правую части тождества к одному и тому же виду.
Сначала преобразуем левую часть (ЛЧ): $2(\sin^6\alpha + \cos^6\alpha) + 1$.
Выражение в скобках можно представить как сумму кубов, используя формулу $a^3 + b^3 = (a+b)(a^2-ab+b^2)$, где $a=\sin^2\alpha$ и $b=\cos^2\alpha$:
$\sin^6\alpha + \cos^6\alpha = (\sin^2\alpha)^3 + (\cos^2\alpha)^3 = (\sin^2\alpha + \cos^2\alpha)(\sin^4\alpha - \sin^2\alpha\cos^2\alpha + \cos^4\alpha)$.
Используя основное тригонометрическое тождество $\sin^2\alpha + \cos^2\alpha = 1$, получаем:
$\sin^6\alpha + \cos^6\alpha = 1 \cdot (\sin^4\alpha + \cos^4\alpha - \sin^2\alpha\cos^2\alpha) = \sin^4\alpha + \cos^4\alpha - \sin^2\alpha\cos^2\alpha$.
Теперь преобразуем сумму $\sin^4\alpha + \cos^4\alpha$. Для этого возведем в квадрат основное тригонометрическое тождество:
$(\sin^2\alpha + \cos^2\alpha)^2 = 1^2$
$\sin^4\alpha + 2\sin^2\alpha\cos^2\alpha + \cos^4\alpha = 1$
Отсюда следует, что $\sin^4\alpha + \cos^4\alpha = 1 - 2\sin^2\alpha\cos^2\alpha$.
Подставим это выражение обратно в формулу для суммы шестых степеней:
$\sin^6\alpha + \cos^6\alpha = (1 - 2\sin^2\alpha\cos^2\alpha) - \sin^2\alpha\cos^2\alpha = 1 - 3\sin^2\alpha\cos^2\alpha$.
Теперь мы можем полностью преобразовать левую часть исходного тождества:
ЛЧ $= 2(1 - 3\sin^2\alpha\cos^2\alpha) + 1 = 2 - 6\sin^2\alpha\cos^2\alpha + 1 = 3 - 6\sin^2\alpha\cos^2\alpha$.
Далее преобразуем правую часть (ПЧ): $3(\sin^4\alpha + \cos^4\alpha)$.
Используем уже полученное выражение: $\sin^4\alpha + \cos^4\alpha = 1 - 2\sin^2\alpha\cos^2\alpha$.
ПЧ $= 3(1 - 2\sin^2\alpha\cos^2\alpha) = 3 - 6\sin^2\alpha\cos^2\alpha$.
Так как в результате преобразований мы получили, что ЛЧ = ПЧ, тождество доказано.
Ответ: Тождество $2(\sin^6\alpha + \cos^6\alpha) + 1 = 3(\sin^4\alpha + \cos^4\alpha)$ доказано.
б) Докажем тождество $\frac{\sin^2\alpha - \cos^2\alpha}{1 + 2\sin\alpha\cos\alpha} = \frac{\tg\alpha - 1}{\tg\alpha + 1}$.
Преобразуем обе части тождества и покажем, что они равны.
Начнем с левой части (ЛЧ): $\frac{\sin^2\alpha - \cos^2\alpha}{1 + 2\sin\alpha\cos\alpha}$.
Числитель является разностью квадратов, которую можно разложить по формуле $a^2-b^2=(a-b)(a+b)$:
$\sin^2\alpha - \cos^2\alpha = (\sin\alpha - \cos\alpha)(\sin\alpha + \cos\alpha)$.
Для преобразования знаменателя используем основное тригонометрическое тождество $1 = \sin^2\alpha + \cos^2\alpha$:
$1 + 2\sin\alpha\cos\alpha = \sin^2\alpha + \cos^2\alpha + 2\sin\alpha\cos\alpha$.
Это выражение является полным квадратом суммы $(a+b)^2=a^2+2ab+b^2$:
$(\sin\alpha + \cos\alpha)^2$.
Подставим преобразованные выражения в левую часть:
ЛЧ $= \frac{(\sin\alpha - \cos\alpha)(\sin\alpha + \cos\alpha)}{(\sin\alpha + \cos\alpha)^2}$.
При условии, что $\sin\alpha + \cos\alpha \neq 0$, можно сократить дробь на $(\sin\alpha + \cos\alpha)$:
ЛЧ $= \frac{\sin\alpha - \cos\alpha}{\sin\alpha + \cos\alpha}$.
Теперь преобразуем правую часть (ПЧ), используя определение тангенса $\tg\alpha = \frac{\sin\alpha}{\cos\alpha}$:
ПЧ $= \frac{\frac{\sin\alpha}{\cos\alpha} - 1}{\frac{\sin\alpha}{\cos\alpha} + 1}$.
Домножим числитель и знаменатель дроби на $\cos\alpha$ (при условии, что $\cos\alpha \neq 0$, что необходимо для существования $\tg\alpha$):
ПЧ $= \frac{(\frac{\sin\alpha}{\cos\alpha} - 1)\cos\alpha}{(\frac{\sin\alpha}{\cos\alpha} + 1)\cos\alpha} = \frac{\frac{\sin\alpha}{\cos\alpha}\cos\alpha - 1\cdot\cos\alpha}{\frac{\sin\alpha}{\cos\alpha}\cos\alpha + 1\cdot\cos\alpha} = \frac{\sin\alpha - \cos\alpha}{\sin\alpha + \cos\alpha}$.
Заметим, что условие $\sin\alpha + \cos\alpha \neq 0$ совпадает с условием $\tg\alpha + 1 \neq 0$, необходимым для существования правой части.
Мы получили, что левая и правая части равны одному и тому же выражению:
ЛЧ $= \frac{\sin\alpha - \cos\alpha}{\sin\alpha + \cos\alpha}$ и ПЧ $= \frac{\sin\alpha - \cos\alpha}{\sin\alpha + \cos\alpha}$.
Следовательно, тождество доказано.
Ответ: Тождество $\frac{\sin^2\alpha - \cos^2\alpha}{1 + 2\sin\alpha\cos\alpha} = \frac{\tg\alpha - 1}{\tg\alpha + 1}$ доказано.
Другие задания:
Помогло решение? Оставьте отзыв в комментариях ниже.
Присоединяйтесь к Телеграм-группе @top_gdz
ПрисоединитьсяМы подготовили для вас ответ c подробным объяснением домашего задания по алгебре за 9 класс, для упражнения номер 653 расположенного на странице 188 к учебнику 2019 года издания для учащихся школ и гимназий.
Теперь на нашем сайте ГДЗ.ТОП вы всегда легко и бесплатно найдёте условие с правильным ответом на вопрос «Как решить ДЗ» и «Как сделать» задание по алгебре к упражнению №653 (с. 188), авторов: Солтан (Генадий Николаевич), Солтан (Алла Евгеньевна), Жумадилова (Аманбала Жумадиловна), учебного пособия издательства Кокшетау.