Номер 753, страница 214 - гдз по алгебре 9 класс учебник Солтан, Солтан

Авторы: Солтан Г. Н., Солтан А. Е., Жумадилова А. Ж.
Тип: Учебник
Издательство: Кокшетау
Год издания: 2019 - 2025
Цвет обложки:
ISBN: 978-601-317-424-2
Рекомендовано Министерством образования и науки Республики Казахстан
Популярные ГДЗ в 9 классе
28. Преобразование суммы и разности тригонометрических функций в произведение. IV. Тригонометрия - номер 753, страница 214.
№753 (с. 214)
Условие. №753 (с. 214)
скриншот условия

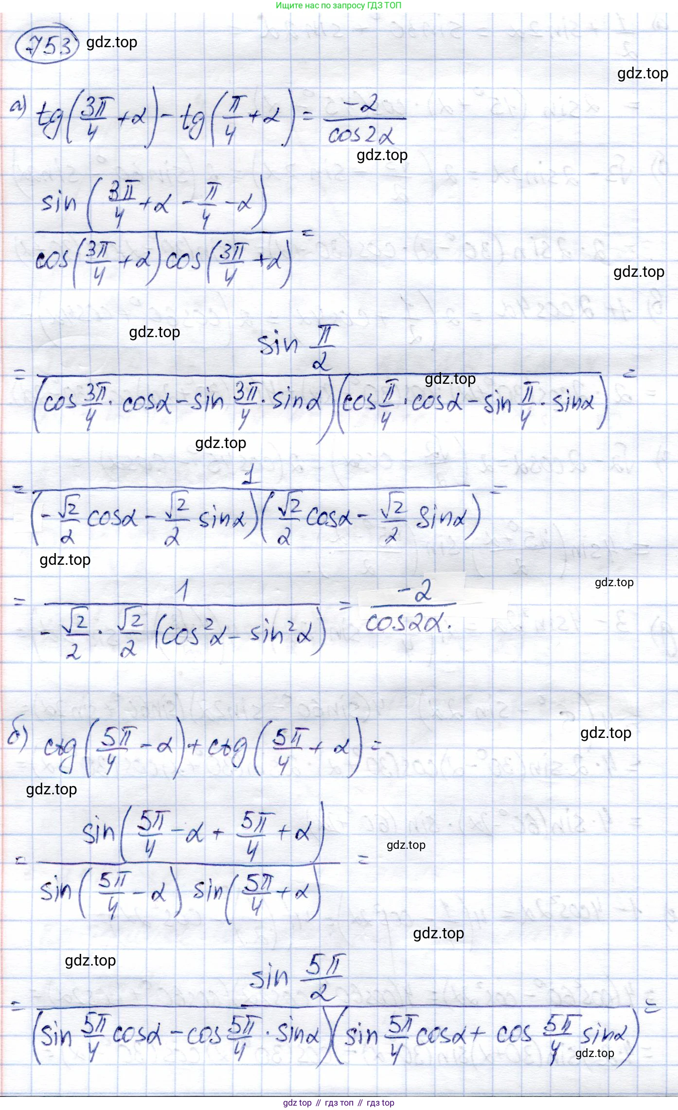
753. Докажите, что верно равенство:
а) $ \text{tg}\left(\frac{3\pi}{4} + \alpha\right) - \text{tg}\left(\frac{\pi}{4} + \alpha\right) = \frac{-2}{\cos 2\alpha}; $
б) $ \text{ctg}\left(\frac{5\pi}{4} - \alpha\right) + \text{ctg}\left(\frac{5\pi}{4} + \alpha\right) = \frac{2}{\cos 2\alpha}; $
в) $ \frac{\text{tg}\left(\frac{\pi}{4} + \alpha\right) - \text{tg}\left(\frac{\pi}{4} - \alpha\right)}{\text{ctg}\left(\frac{\pi}{4} + \alpha\right) - \text{ctg}\left(\alpha - \frac{\pi}{2}\right)} = \sin 2\alpha. $
Решение. №753 (с. 214)


Решение 2 (rus). №753 (с. 214)
а)
Для доказательства преобразуем левую часть равенства. Воспользуемся формулой тангенса суммы $tg(x+y) = \frac{tg(x) + tg(y)}{1 - tg(x)tg(y)}$, а также значениями $tg(\frac{3\pi}{4}) = -1$ и $tg(\frac{\pi}{4}) = 1$.
Сначала преобразуем $tg(\frac{3\pi}{4} + \alpha)$:
$tg(\frac{3\pi}{4} + \alpha) = \frac{tg(\frac{3\pi}{4}) + tg(\alpha)}{1 - tg(\frac{3\pi}{4})tg(\alpha)} = \frac{-1 + tg(\alpha)}{1 - (-1) \cdot tg(\alpha)} = \frac{tg(\alpha) - 1}{1 + tg(\alpha)}$
Затем преобразуем $tg(\frac{\pi}{4} + \alpha)$:
$tg(\frac{\pi}{4} + \alpha) = \frac{tg(\frac{\pi}{4}) + tg(\alpha)}{1 - tg(\frac{\pi}{4})tg(\alpha)} = \frac{1 + tg(\alpha)}{1 - 1 \cdot tg(\alpha)} = \frac{1 + tg(\alpha)}{1 - tg(\alpha)}$
Теперь выполним вычитание:
$tg(\frac{3\pi}{4} + \alpha) - tg(\frac{\pi}{4} + \alpha) = \frac{tg(\alpha) - 1}{1 + tg(\alpha)} - \frac{1 + tg(\alpha)}{1 - tg(\alpha)}$
Приведем к общему знаменателю $(1 + tg(\alpha))(1 - tg(\alpha)) = 1 - tg^2(\alpha)$:
$\frac{(tg(\alpha) - 1)(1 - tg(\alpha)) - (1 + tg(\alpha))(1 + tg(\alpha))}{1 - tg^2(\alpha)} = \frac{-(1 - tg(\alpha))^2 - (1 + tg(\alpha))^2}{1 - tg^2(\alpha)}$
Раскроем скобки в числителе:
$\frac{-(1 - 2tg(\alpha) + tg^2(\alpha)) - (1 + 2tg(\alpha) + tg^2(\alpha))}{1 - tg^2(\alpha)} = \frac{-1 + 2tg(\alpha) - tg^2(\alpha) - 1 - 2tg(\alpha) - tg^2(\alpha)}{1 - tg^2(\alpha)}$
Упростим числитель:
$\frac{-2 - 2tg^2(\alpha)}{1 - tg^2(\alpha)} = \frac{-2(1 + tg^2(\alpha))}{1 - tg^2(\alpha)}$
Вспомним формулу косинуса двойного угла, выраженную через тангенс: $cos(2\alpha) = \frac{1 - tg^2(\alpha)}{1 + tg^2(\alpha)}$.
Тогда наше выражение можно переписать как:
$\frac{-2}{\frac{1 - tg^2(\alpha)}{1 + tg^2(\alpha)}} = \frac{-2}{cos(2\alpha)}$
Таким образом, левая часть равенства равна правой. Равенство доказано.
Ответ: Равенство доказано.
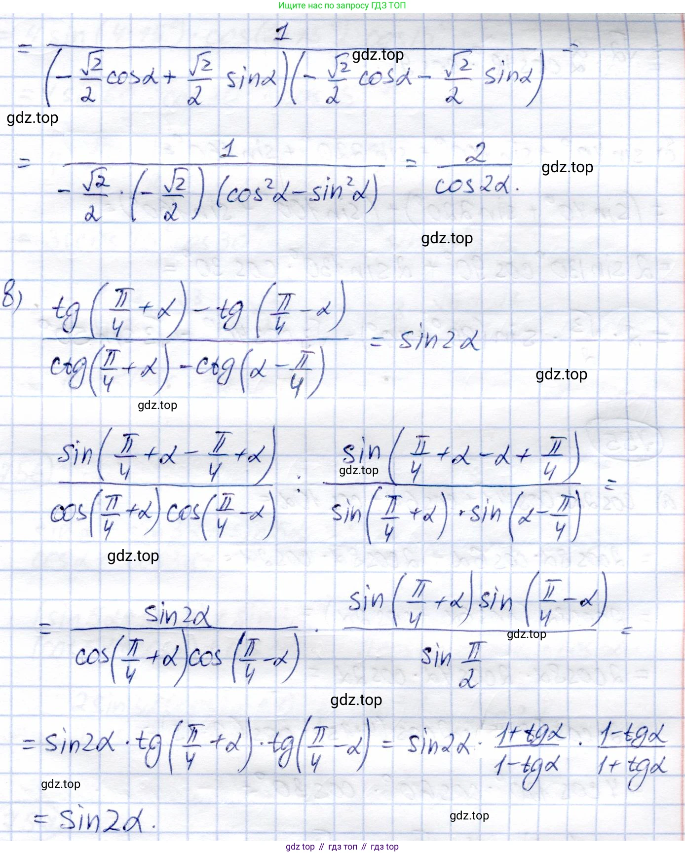
б)
Для доказательства преобразуем левую часть равенства. Воспользуемся формулами котангенса суммы и разности $ctg(x \pm y) = \frac{ctg(x)ctg(y) \mp 1}{ctg(y) \pm ctg(x)}$ и значением $ctg(\frac{5\pi}{4}) = ctg(\pi + \frac{\pi}{4}) = ctg(\frac{\pi}{4}) = 1$.
Преобразуем первое слагаемое:
$ctg(\frac{5\pi}{4} - \alpha) = \frac{ctg(\frac{5\pi}{4})ctg(\alpha) + 1}{ctg(\alpha) - ctg(\frac{5\pi}{4})} = \frac{1 \cdot ctg(\alpha) + 1}{ctg(\alpha) - 1} = \frac{ctg(\alpha) + 1}{ctg(\alpha) - 1}$
Преобразуем второе слагаемое:
$ctg(\frac{5\pi}{4} + \alpha) = \frac{ctg(\frac{5\pi}{4})ctg(\alpha) - 1}{ctg(\alpha) + ctg(\frac{5\pi}{4})} = \frac{1 \cdot ctg(\alpha) - 1}{ctg(\alpha) + 1} = \frac{ctg(\alpha) - 1}{ctg(\alpha) + 1}$
Теперь сложим полученные выражения:
$\frac{ctg(\alpha) + 1}{ctg(\alpha) - 1} + \frac{ctg(\alpha) - 1}{ctg(\alpha) + 1} = \frac{(ctg(\alpha) + 1)^2 + (ctg(\alpha) - 1)^2}{(ctg(\alpha) - 1)(ctg(\alpha) + 1)}$
Раскроем скобки в числителе и свернем знаменатель по формуле разности квадратов:
$\frac{(ctg^2(\alpha) + 2ctg(\alpha) + 1) + (ctg^2(\alpha) - 2ctg(\alpha) + 1)}{ctg^2(\alpha) - 1} = \frac{2ctg^2(\alpha) + 2}{ctg^2(\alpha) - 1} = \frac{2(1 + ctg^2(\alpha))}{ctg^2(\alpha) - 1}$
Вспомним формулу косинуса двойного угла, выраженную через котангенс: $cos(2\alpha) = \frac{ctg^2(\alpha) - 1}{ctg^2(\alpha) + 1}$.
Тогда наше выражение можно переписать как:
$\frac{2}{\frac{ctg^2(\alpha) - 1}{1 + ctg^2(\alpha)}} = \frac{2}{cos(2\alpha)}$
Таким образом, левая часть равенства равна правой. Равенство доказано.
Ответ: Равенство доказано.
в)
Преобразуем отдельно числитель и знаменатель дроби в левой части равенства.
1. Числитель: $tg(\frac{\pi}{4} + \alpha) - tg(\frac{\pi}{4} - \alpha)$.
Воспользуемся формулами тангенса суммы и разности. $tg(\frac{\pi}{4})=1$.
$tg(\frac{\pi}{4} + \alpha) = \frac{1 + tg(\alpha)}{1 - tg(\alpha)}$
$tg(\frac{\pi}{4} - \alpha) = \frac{1 - tg(\alpha)}{1 + tg(\alpha)}$
$tg(\frac{\pi}{4} + \alpha) - tg(\frac{\pi}{4} - \alpha) = \frac{1 + tg(\alpha)}{1 - tg(\alpha)} - \frac{1 - tg(\alpha)}{1 + tg(\alpha)} = \frac{(1 + tg(\alpha))^2 - (1 - tg(\alpha))^2}{(1 - tg(\alpha))(1 + tg(\alpha))}$
В числителе используем формулу разности квадратов $a^2-b^2=(a-b)(a+b)$, а в знаменателе $a^2-b^2$:
$\frac{((1+tg\alpha)-(1-tg\alpha))((1+tg\alpha)+(1-tg\alpha))}{1 - tg^2(\alpha)} = \frac{(2tg(\alpha))(2)}{1 - tg^2(\alpha)} = \frac{4tg(\alpha)}{1 - tg^2(\alpha)}$
Это выражение равно $2 \cdot \frac{2tg(\alpha)}{1 - tg^2(\alpha)} = 2tg(2\alpha)$.
2. Знаменатель: $ctg(\frac{\pi}{4} + \alpha) - ctg(\alpha - \frac{\pi}{2})$.
Используем формулы приведения:
$ctg(\alpha - \frac{\pi}{2}) = ctg(-(\frac{\pi}{2} - \alpha)) = -ctg(\frac{\pi}{2} - \alpha) = -tg(\alpha)$.
Используем еще одну формулу приведения:
$ctg(\frac{\pi}{4} + \alpha) = tg(\frac{\pi}{2} - (\frac{\pi}{4} + \alpha)) = tg(\frac{\pi}{4} - \alpha)$.
Тогда знаменатель принимает вид:
$tg(\frac{\pi}{4} - \alpha) - (-tg(\alpha)) = tg(\frac{\pi}{4} - \alpha) + tg(\alpha) = \frac{1 - tg(\alpha)}{1 + tg(\alpha)} + tg(\alpha)$
Приведем к общему знаменателю:
$\frac{1 - tg(\alpha) + tg(\alpha)(1 + tg(\alpha))}{1 + tg(\alpha)} = \frac{1 - tg(\alpha) + tg(\alpha) + tg^2(\alpha)}{1 + tg(\alpha)} = \frac{1 + tg^2(\alpha)}{1 + tg(\alpha)}$
3. Преобразуем всю дробь.
$\frac{Числитель}{Знаменатель} = \frac{2tg(2\alpha)}{\frac{1 + tg^2(\alpha)}{1 + tg(\alpha)}} = \frac{2 \cdot \frac{sin(2\alpha)}{cos(2\alpha)}}{\frac{1/cos^2(\alpha)}{1+sin(\alpha)/cos(\alpha)}} = \frac{2 \frac{2sin(\alpha)cos(\alpha)}{cos^2(\alpha)-sin^2(\alpha)}}{\frac{1/cos^2(\alpha)}{(cos(\alpha)+sin(\alpha))/cos(\alpha)}}$
$\frac{\frac{4sin(\alpha)cos(\alpha)}{(cos(\alpha)-sin(\alpha))(cos(\alpha)+sin(\alpha))}}{\frac{1}{cos(\alpha)(cos(\alpha)+sin(\alpha))}} = \frac{4sin(\alpha)cos(\alpha)}{(cos(\alpha)-sin(\alpha))(cos(\alpha)+sin(\alpha))} \cdot \frac{cos(\alpha)(cos(\alpha)+sin(\alpha))}{1} = \frac{4sin(\alpha)cos^2(\alpha)}{cos(\alpha)-sin(\alpha)}$
Полученное выражение не равно $sin(2\alpha)$ в общем случае. В условии задачи, вероятно, допущена опечатка. Стандартное тождество, дающее в результате $sin(2\alpha)$, имеет вид:
$\frac{tg(\frac{\pi}{4} + \alpha) - tg(\frac{\pi}{4} - \alpha)}{tg(\frac{\pi}{4} + \alpha) + tg(\frac{\pi}{4} - \alpha)} = sin(2\alpha)$
Докажем его. Числитель мы уже нашли, он равен $2tg(2\alpha)$.
Знаменатель исправленного выражения: $tg(\frac{\pi}{4} + \alpha) + tg(\frac{\pi}{4} - \alpha) = \frac{1+tg\alpha}{1-tg\alpha} + \frac{1-tg\alpha}{1+tg\alpha} = \frac{(1+tg\alpha)^2 + (1-tg\alpha)^2}{1-tg^2\alpha} = \frac{2+2tg^2\alpha}{1-tg^2\alpha}$.
Тогда вся дробь: $\frac{2tg(2\alpha)}{(2+2tg^2\alpha)/(1-tg^2\alpha)} = \frac{2\frac{2tg\alpha}{1-tg^2\alpha}}{\frac{2(1+tg^2\alpha)}{1-tg^2\alpha}} = \frac{2tg\alpha}{1+tg^2\alpha} = 2\frac{sin\alpha/cos\alpha}{1/cos^2\alpha} = 2sin\alpha cos\alpha = sin(2\alpha)$.
Ответ: Равенство в исходной формулировке неверно. При исправлении знаменателя на $tg(\frac{\pi}{4} + \alpha) + tg(\frac{\pi}{4} - \alpha)$ равенство доказывается.
Другие задания:
Помогло решение? Оставьте отзыв в комментариях ниже.
Присоединяйтесь к Телеграм-группе @top_gdz
ПрисоединитьсяМы подготовили для вас ответ c подробным объяснением домашего задания по алгебре за 9 класс, для упражнения номер 753 расположенного на странице 214 к учебнику 2019 года издания для учащихся школ и гимназий.
Теперь на нашем сайте ГДЗ.ТОП вы всегда легко и бесплатно найдёте условие с правильным ответом на вопрос «Как решить ДЗ» и «Как сделать» задание по алгебре к упражнению №753 (с. 214), авторов: Солтан (Генадий Николаевич), Солтан (Алла Евгеньевна), Жумадилова (Аманбала Жумадиловна), учебного пособия издательства Кокшетау.