Номер 751, страница 214 - гдз по алгебре 9 класс учебник Солтан, Солтан

Авторы: Солтан Г. Н., Солтан А. Е., Жумадилова А. Ж.
Тип: Учебник
Издательство: Кокшетау
Год издания: 2019 - 2025
Цвет обложки:
ISBN: 978-601-317-424-2
Рекомендовано Министерством образования и науки Республики Казахстан
Популярные ГДЗ в 9 классе
28. Преобразование суммы и разности тригонометрических функций в произведение. IV. Тригонометрия - номер 751, страница 214.
№751 (с. 214)
Условие. №751 (с. 214)
скриншот условия

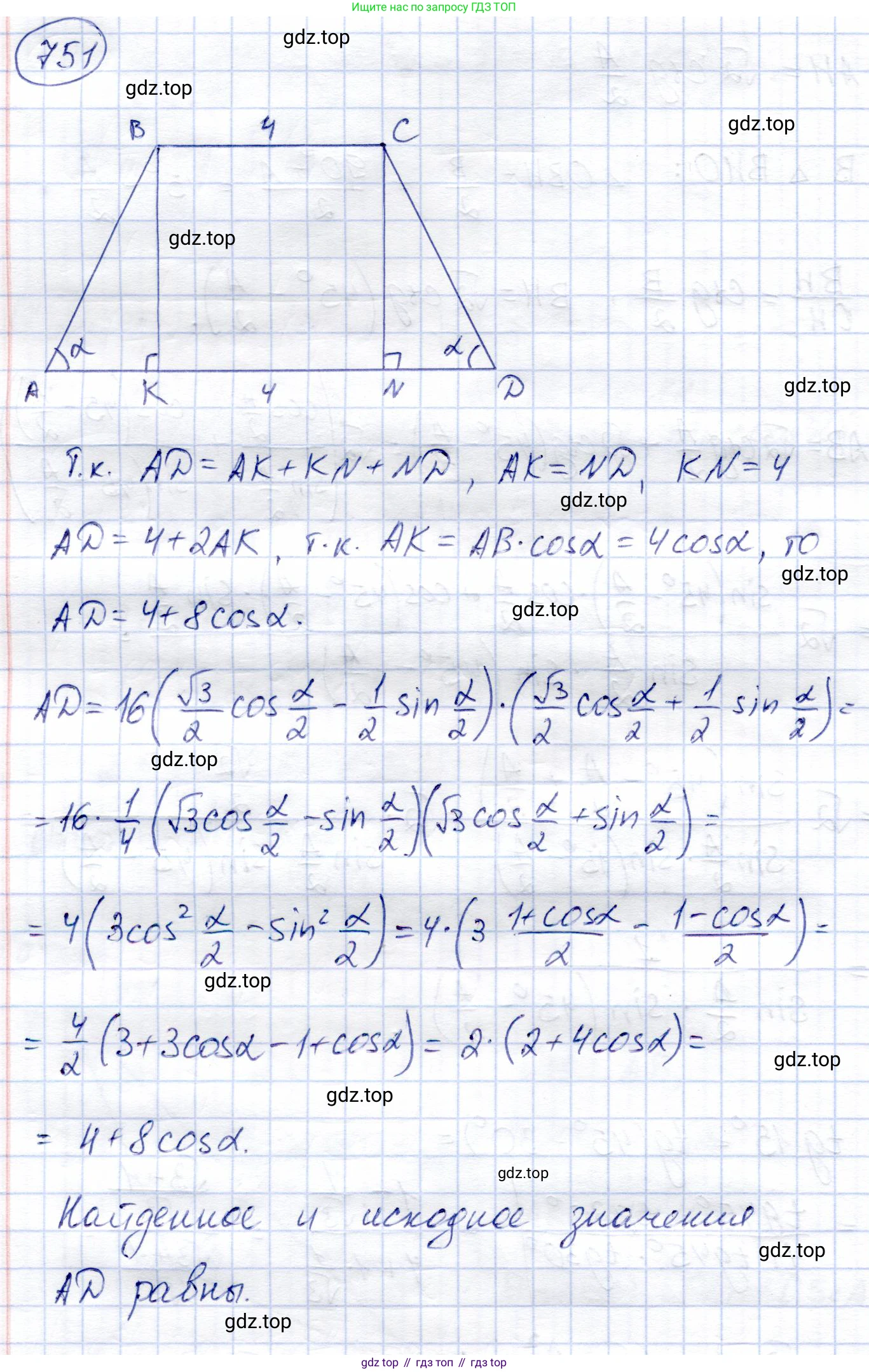
751. Верхнее основание равнобедренной трапеции равно 4 и равно его боковой стороне, которая образует с нижним основанием угол $\alpha$. Докажите, что нижнее основание трапеции равно $16\cos(30^\circ + \frac{\alpha}{2}) \cdot \cos(30^\circ - \frac{\alpha}{2})$.
Решение. №751 (с. 214)

Решение 2 (rus). №751 (с. 214)
Пусть дана равнобедренная трапеция $ABCD$, где $AD$ и $BC$ — основания, а $AB$ и $CD$ — боковые стороны. Согласно условию задачи, верхнее основание $BC = 4$, боковые стороны $AB = CD = 4$, а угол при нижнем основании $\angle DAB = \angle CDA = \alpha$.
Для нахождения длины нижнего основания $AD$ опустим из вершин $B$ и $C$ высоты $BH$ и $CK$ на основание $AD$.
Поскольку $ABCD$ — равнобедренная трапеция, $BH \perp AD$ и $CK \perp AD$. Четырехугольник $BCKH$ является прямоугольником, так как $BC \parallel AD$. Следовательно, $HK = BC = 4$. Прямоугольные треугольники $\triangle ABH$ и $\triangle DCK$ равны по гипотенузе и острому углу ($AB = CD = 4$ и $\angle A = \angle D = \alpha$). Из равенства треугольников следует, что $AH = KD$.
Длина нижнего основания $AD$ складывается из длин отрезков: $AD = AH + HK + KD$. Заменяя $KD$ на $AH$ и $HK$ на 4, получаем: $AD = 2 \cdot AH + 4$.
Рассмотрим прямоугольный треугольник $\triangle ABH$. В нем гипотенуза $AB = 4$ и угол $\angle BAH = \alpha$. Катет $AH$, прилежащий к этому углу, равен $AH = AB \cdot \cos(\alpha) = 4 \cos(\alpha)$.
Подставим найденное выражение для $AH$ в формулу для $AD$: $AD = 2 \cdot (4 \cos(\alpha)) + 4 = 8 \cos(\alpha) + 4$.
Теперь преобразуем выражение, которое дано в условии для доказательства: $16\cos(30^\circ + \frac{\alpha}{2}) \cdot \cos(30^\circ - \frac{\alpha}{2})$.
Воспользуемся тригонометрической формулой произведения косинусов: $\cos(x) \cos(y) = \frac{1}{2}(\cos(x-y) + \cos(x+y))$.
Пусть $x = 30^\circ + \frac{\alpha}{2}$ и $y = 30^\circ - \frac{\alpha}{2}$. Тогда:
$x+y = (30^\circ + \frac{\alpha}{2}) + (30^\circ - \frac{\alpha}{2}) = 60^\circ$
$x-y = (30^\circ + \frac{\alpha}{2}) - (30^\circ - \frac{\alpha}{2}) = \alpha$
Подставим эти значения в формулу:
$16\cos(30^\circ + \frac{\alpha}{2}) \cdot \cos(30^\circ - \frac{\alpha}{2}) = 16 \cdot \frac{1}{2}(\cos(\alpha) + \cos(60^\circ)) = 8(\cos(\alpha) + \cos(60^\circ))$.
Зная, что $\cos(60^\circ) = \frac{1}{2}$, подставляем это значение в выражение:
$8(\cos(\alpha) + \frac{1}{2}) = 8 \cos(\alpha) + 8 \cdot \frac{1}{2} = 8\cos(\alpha) + 4$.
Мы получили, что выражение $16\cos(30^\circ + \frac{\alpha}{2}) \cdot \cos(30^\circ - \frac{\alpha}{2})$ равно $8\cos(\alpha) + 4$. Ранее мы нашли, что длина нижнего основания $AD$ также равна $8\cos(\alpha) + 4$.
Таким образом, равенство $AD = 16\cos(30^\circ + \frac{\alpha}{2}) \cdot \cos(30^\circ - \frac{\alpha}{2})$ доказано.
Ответ: Что и требовалось доказать.
Другие задания:
Помогло решение? Оставьте отзыв в комментариях ниже.
Присоединяйтесь к Телеграм-группе @top_gdz
ПрисоединитьсяМы подготовили для вас ответ c подробным объяснением домашего задания по алгебре за 9 класс, для упражнения номер 751 расположенного на странице 214 к учебнику 2019 года издания для учащихся школ и гимназий.
Теперь на нашем сайте ГДЗ.ТОП вы всегда легко и бесплатно найдёте условие с правильным ответом на вопрос «Как решить ДЗ» и «Как сделать» задание по алгебре к упражнению №751 (с. 214), авторов: Солтан (Генадий Николаевич), Солтан (Алла Евгеньевна), Жумадилова (Аманбала Жумадиловна), учебного пособия издательства Кокшетау.