Номер 745, страница 213 - гдз по алгебре 9 класс учебник Солтан, Солтан

Авторы: Солтан Г. Н., Солтан А. Е., Жумадилова А. Ж.
Тип: Учебник
Издательство: Кокшетау
Год издания: 2019 - 2025
Цвет обложки:
ISBN: 978-601-317-424-2
Рекомендовано Министерством образования и науки Республики Казахстан
Популярные ГДЗ в 9 классе
28. Преобразование суммы и разности тригонометрических функций в произведение. IV. Тригонометрия - номер 745, страница 213.
№745 (с. 213)
Условие. №745 (с. 213)
скриншот условия

745. Упростите выражение:
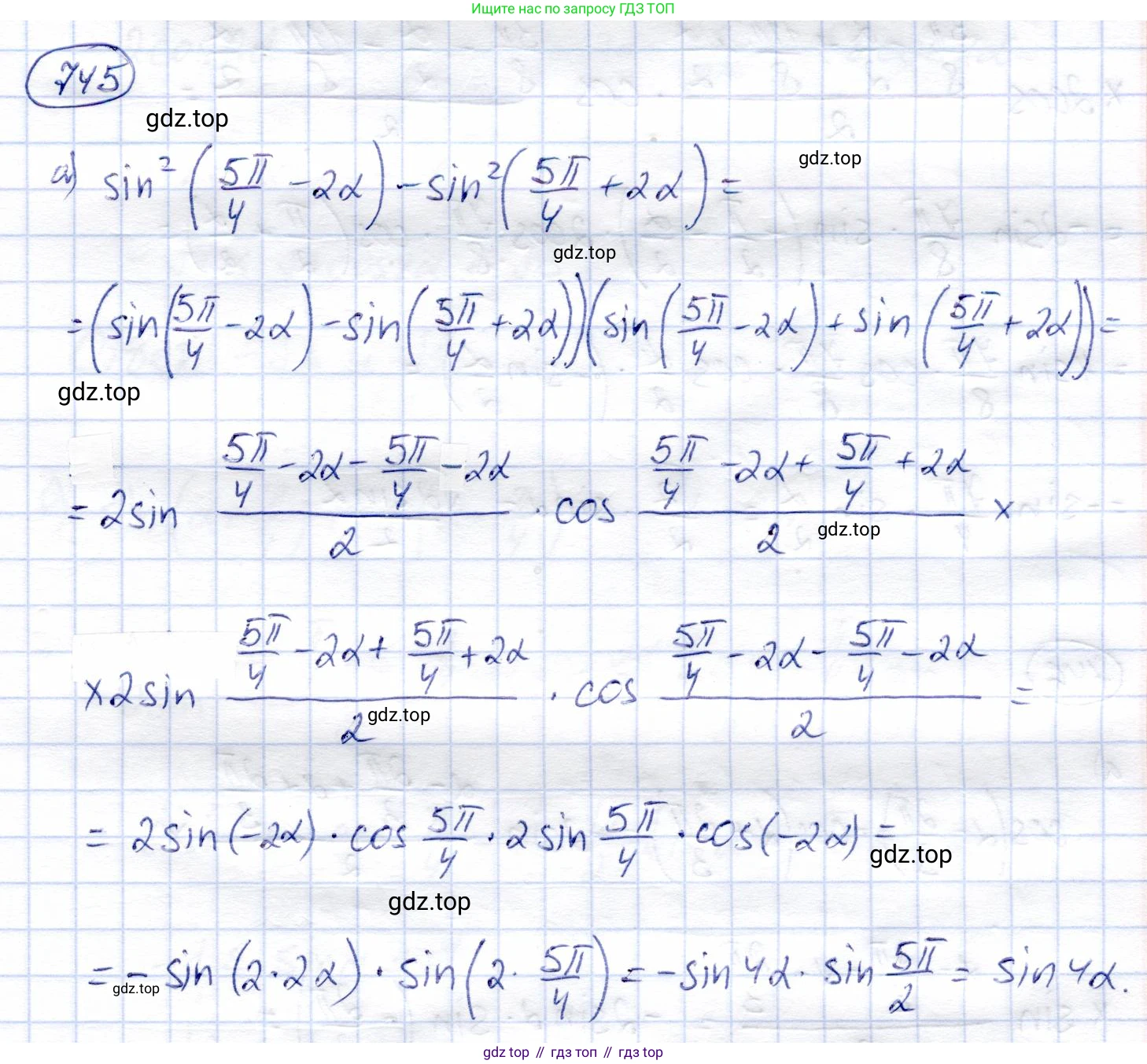
а) $sin^2\left(\frac{5\pi}{4} - 2\alpha\right) - sin^2\left(\frac{5\pi}{4} + 2\alpha\right)$;
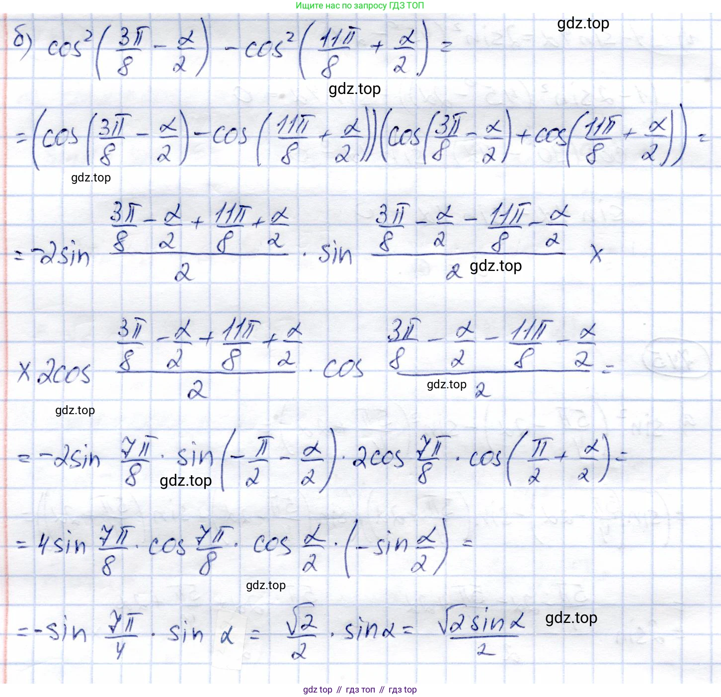
б) $cos^2\left(\frac{3\pi}{8} - \frac{\alpha}{2}\right) - cos^2\left(\frac{11\pi}{8} + \frac{\alpha}{2}\right)$.
Решение. №745 (с. 213)


Решение 2 (rus). №745 (с. 213)
а) Исходное выражение: $\sin^2(\frac{5\pi}{4} - 2\alpha) - \sin^2(\frac{5\pi}{4} + 2\alpha)$.
Для упрощения данного выражения воспользуемся формулой разности квадратов синусов: $\sin^2 A - \sin^2 B = \sin(A+B)\sin(A-B)$.
В данном случае, пусть $A = \frac{5\pi}{4} + 2\alpha$ и $B = \frac{5\pi}{4} - 2\alpha$. Тогда наше выражение имеет вид $\sin^2(B) - \sin^2(A)$, что равно $-\sin(A+B)\sin(A-B)$.
Найдем сумму и разность аргументов $A$ и $B$:
$A+B = (\frac{5\pi}{4} + 2\alpha) + (\frac{5\pi}{4} - 2\alpha) = \frac{10\pi}{4} = \frac{5\pi}{2}$
$A-B = (\frac{5\pi}{4} + 2\alpha) - (\frac{5\pi}{4} - 2\alpha) = 4\alpha$
Подставим полученные значения в формулу. Исходное выражение равно:
$-\sin(\frac{5\pi}{2})\sin(4\alpha)$
Теперь вычислим значение $\sin(\frac{5\pi}{2})$. Используя периодичность синуса:
$\sin(\frac{5\pi}{2}) = \sin(2\pi + \frac{\pi}{2}) = \sin(\frac{\pi}{2}) = 1$
Подставив это значение, получаем:
$-1 \cdot \sin(4\alpha) = -\sin(4\alpha)$
Ответ: $-\sin(4\alpha)$.
б) Исходное выражение: $\cos^2(\frac{3\pi}{8} - \frac{\alpha}{2}) - \cos^2(\frac{11\pi}{8} + \frac{\alpha}{2})$.
Для упрощения применим формулу понижения степени $\cos^2 x = \frac{1+\cos(2x)}{2}$.
$\cos^2(\frac{3\pi}{8} - \frac{\alpha}{2}) = \frac{1 + \cos(2(\frac{3\pi}{8} - \frac{\alpha}{2}))}{2} = \frac{1 + \cos(\frac{3\pi}{4} - \alpha)}{2}$
$\cos^2(\frac{11\pi}{8} + \frac{\alpha}{2}) = \frac{1 + \cos(2(\frac{11\pi}{8} + \frac{\alpha}{2}))}{2} = \frac{1 + \cos(\frac{11\pi}{4} + \alpha)}{2}$
Подставим эти выражения в исходное:
$\frac{1 + \cos(\frac{3\pi}{4} - \alpha)}{2} - \frac{1 + \cos(\frac{11\pi}{4} + \alpha)}{2} = \frac{1}{2}(\cos(\frac{3\pi}{4} - \alpha) - \cos(\frac{11\pi}{4} + \alpha))$
Упростим аргумент второго косинуса, используя периодичность: $\frac{11\pi}{4} = \frac{8\pi+3\pi}{4} = 2\pi + \frac{3\pi}{4}$.
$\cos(\frac{11\pi}{4} + \alpha) = \cos(2\pi + \frac{3\pi}{4} + \alpha) = \cos(\frac{3\pi}{4} + \alpha)$.
Выражение принимает вид:
$\frac{1}{2}(\cos(\frac{3\pi}{4} - \alpha) - \cos(\frac{3\pi}{4} + \alpha))$
Теперь воспользуемся формулой разности косинусов: $\cos y - \cos x = -2\sin(\frac{x+y}{2})\sin(\frac{y-x}{2})$.
Пусть $x = \frac{3\pi}{4} + \alpha$ и $y = \frac{3\pi}{4} - \alpha$.
$\frac{x+y}{2} = \frac{\frac{3\pi}{4} + \alpha + \frac{3\pi}{4} - \alpha}{2} = \frac{\frac{6\pi}{4}}{2} = \frac{3\pi}{4}$
$\frac{y-x}{2} = \frac{\frac{3\pi}{4} - \alpha - (\frac{3\pi}{4} + \alpha)}{2} = \frac{-2\alpha}{2} = -\alpha$
Подставляем в выражение:
$\frac{1}{2}(-2\sin(\frac{3\pi}{4})\sin(-\alpha)) = -\sin(\frac{3\pi}{4})\sin(-\alpha)$
Так как синус — нечетная функция, $\sin(-\alpha) = -\sin(\alpha)$.
Выражение становится $\sin(\frac{3\pi}{4})\sin(\alpha)$.
Вычислим $\sin(\frac{3\pi}{4}) = \sin(\pi - \frac{\pi}{4}) = \sin(\frac{\pi}{4}) = \frac{\sqrt{2}}{2}$.
Окончательный результат: $\frac{\sqrt{2}}{2}\sin(\alpha)$.
Ответ: $\frac{\sqrt{2}}{2}\sin(\alpha)$.
Другие задания:
Помогло решение? Оставьте отзыв в комментариях ниже.
Присоединяйтесь к Телеграм-группе @top_gdz
ПрисоединитьсяМы подготовили для вас ответ c подробным объяснением домашего задания по алгебре за 9 класс, для упражнения номер 745 расположенного на странице 213 к учебнику 2019 года издания для учащихся школ и гимназий.
Теперь на нашем сайте ГДЗ.ТОП вы всегда легко и бесплатно найдёте условие с правильным ответом на вопрос «Как решить ДЗ» и «Как сделать» задание по алгебре к упражнению №745 (с. 213), авторов: Солтан (Генадий Николаевич), Солтан (Алла Евгеньевна), Жумадилова (Аманбала Жумадиловна), учебного пособия издательства Кокшетау.