Номер 752, страница 214 - гдз по алгебре 9 класс учебник Солтан, Солтан

Авторы: Солтан Г. Н., Солтан А. Е., Жумадилова А. Ж.
Тип: Учебник
Издательство: Кокшетау
Год издания: 2019 - 2025
Цвет обложки:
ISBN: 978-601-317-424-2
Рекомендовано Министерством образования и науки Республики Казахстан
Популярные ГДЗ в 9 классе
28. Преобразование суммы и разности тригонометрических функций в произведение. IV. Тригонометрия - номер 752, страница 214.
№752 (с. 214)
Условие. №752 (с. 214)
скриншот условия

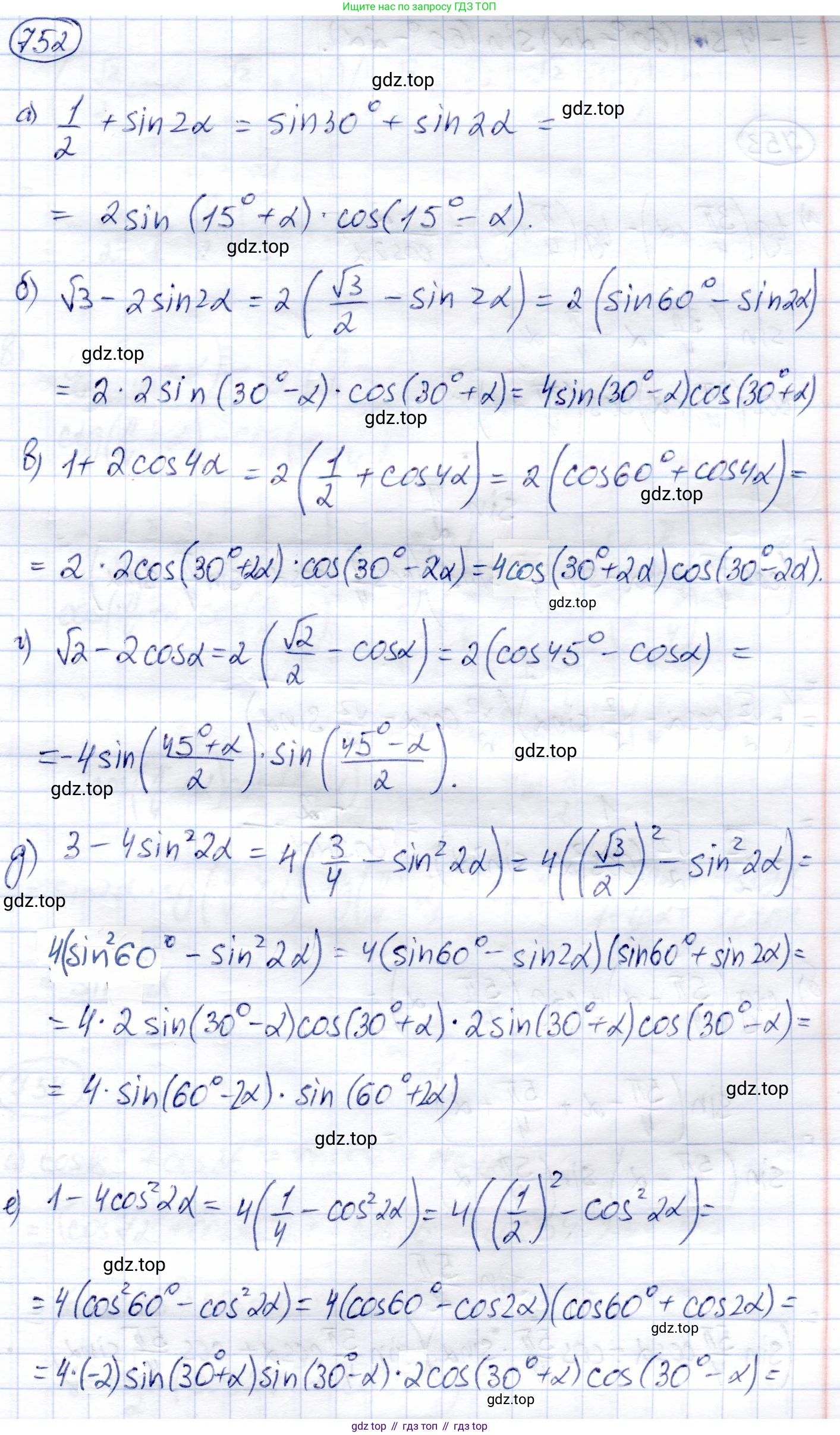
752. Преобразуйте в произведение тригонометрических функций выражение:
а) $ \frac{1}{2} + \sin 2\alpha; $
б) $ \sqrt{3} - 2\sin 2\alpha; $
в) $ 1 + 2\cos 4\alpha; $
г) $ \sqrt{2} - 2\cos \alpha; $
д) $ 3 - 4\sin^2 2\alpha; $
е) $ 1 - 4\cos^2 2\alpha. $
Решение. №752 (с. 214)


Решение 2 (rus). №752 (с. 214)
а) Чтобы преобразовать сумму $\frac{1}{2} + \sin 2\alpha$ в произведение, представим число $\frac{1}{2}$ в виде значения тригонометрической функции. Мы знаем, что $\sin(\frac{\pi}{6}) = \frac{1}{2}$.
Заменив $\frac{1}{2}$ на $\sin(\frac{\pi}{6})$, мы получаем сумму двух синусов: $\sin(\frac{\pi}{6}) + \sin 2\alpha$.
Теперь применим формулу преобразования суммы синусов в произведение: $\sin x + \sin y = 2 \sin(\frac{x+y}{2}) \cos(\frac{x-y}{2})$.
В нашем случае $x = \frac{\pi}{6}$ и $y = 2\alpha$. Подставляем эти значения в формулу:
$\sin(\frac{\pi}{6}) + \sin 2\alpha = 2 \sin(\frac{\frac{\pi}{6} + 2\alpha}{2}) \cos(\frac{\frac{\pi}{6} - 2\alpha}{2}) = 2 \sin(\frac{\pi}{12} + \alpha) \cos(\frac{\pi}{12} - \alpha)$.
Используя свойство четности косинуса $\cos(-z) = \cos(z)$, можем записать $\cos(\frac{\pi}{12} - \alpha) = \cos(\alpha - \frac{\pi}{12})$.
Ответ: $2 \sin(\alpha + \frac{\pi}{12}) \cos(\alpha - \frac{\pi}{12})$.
б) В выражении $\sqrt{3} - 2\sin 2\alpha$ вынесем за скобки общий множитель 2:
$2(\frac{\sqrt{3}}{2} - \sin 2\alpha)$.
Представим число $\frac{\sqrt{3}}{2}$ как значение синуса, а именно $\sin(\frac{\pi}{3}) = \frac{\sqrt{3}}{2}$.
Выражение в скобках принимает вид разности синусов: $2(\sin(\frac{\pi}{3}) - \sin 2\alpha)$.
Применим формулу преобразования разности синусов в произведение: $\sin x - \sin y = 2 \cos(\frac{x+y}{2}) \sin(\frac{x-y}{2})$.
Здесь $x = \frac{\pi}{3}$ и $y = 2\alpha$. Подставляем и вычисляем:
$2 \cdot [2 \cos(\frac{\frac{\pi}{3} + 2\alpha}{2}) \sin(\frac{\frac{\pi}{3} - 2\alpha}{2})] = 4 \cos(\frac{\pi}{6} + \alpha) \sin(\frac{\pi}{6} - \alpha)$.
Ответ: $4 \cos(\alpha + \frac{\pi}{6}) \sin(\frac{\pi}{6} - \alpha)$.
в) В выражении $1 + 2\cos 4\alpha$ вынесем за скобки множитель 2:
$2(\frac{1}{2} + \cos 4\alpha)$.
Представим $\frac{1}{2}$ как значение косинуса, а именно $\cos(\frac{\pi}{3}) = \frac{1}{2}$.
Получаем сумму косинусов в скобках: $2(\cos(\frac{\pi}{3}) + \cos 4\alpha)$.
Применим формулу преобразования суммы косинусов в произведение: $\cos x + \cos y = 2 \cos(\frac{x+y}{2}) \cos(\frac{x-y}{2})$.
В нашем случае $x = \frac{\pi}{3}$ и $y = 4\alpha$. Подставляем значения:
$2 \cdot [2 \cos(\frac{\frac{\pi}{3} + 4\alpha}{2}) \cos(\frac{\frac{\pi}{3} - 4\alpha}{2})] = 4 \cos(\frac{\pi}{6} + 2\alpha) \cos(\frac{\pi}{6} - 2\alpha)$.
Так как $\cos(-z) = \cos(z)$, то $\cos(\frac{\pi}{6} - 2\alpha) = \cos(2\alpha - \frac{\pi}{6})$.
Ответ: $4 \cos(2\alpha + \frac{\pi}{6}) \cos(2\alpha - \frac{\pi}{6})$.
г) В выражении $\sqrt{2} - 2\cos \alpha$ вынесем за скобки множитель 2:
$2(\frac{\sqrt{2}}{2} - \cos \alpha)$.
Представим $\frac{\sqrt{2}}{2}$ как значение косинуса, $\cos(\frac{\pi}{4}) = \frac{\sqrt{2}}{2}$.
Теперь имеем разность косинусов: $2(\cos(\frac{\pi}{4}) - \cos \alpha)$.
Применим формулу разности косинусов: $\cos x - \cos y = -2 \sin(\frac{x+y}{2}) \sin(\frac{x-y}{2})$.
Здесь $x = \frac{\pi}{4}$ и $y = \alpha$. Подставляем:
$2 \cdot [-2 \sin(\frac{\frac{\pi}{4} + \alpha}{2}) \sin(\frac{\frac{\pi}{4} - \alpha}{2})] = -4 \sin(\frac{\pi}{8} + \frac{\alpha}{2}) \sin(\frac{\pi}{8} - \frac{\alpha}{2})$.
Используя свойство нечетности синуса, $\sin(-z) = -\sin(z)$, можем записать $\sin(\frac{\pi}{8} - \frac{\alpha}{2}) = -\sin(\frac{\alpha}{2} - \frac{\pi}{8})$.
Тогда выражение преобразуется к виду: $-4 \sin(\frac{\alpha}{2} + \frac{\pi}{8}) [-\sin(\frac{\alpha}{2} - \frac{\pi}{8})] = 4 \sin(\frac{\alpha}{2} + \frac{\pi}{8}) \sin(\frac{\alpha}{2} - \frac{\pi}{8})$.
Ответ: $4 \sin(\frac{\alpha}{2} + \frac{\pi}{8}) \sin(\frac{\alpha}{2} - \frac{\pi}{8})$.
д) Для преобразования выражения $3 - 4\sin^2 2\alpha$ воспользуемся формулой понижения степени для синуса: $\sin^2 x = \frac{1 - \cos 2x}{2}$.
В нашем случае $x = 2\alpha$, поэтому $\sin^2 2\alpha = \frac{1 - \cos(4\alpha)}{2}$.
Подставим это в исходное выражение:
$3 - 4(\frac{1 - \cos 4\alpha}{2}) = 3 - 2(1 - \cos 4\alpha) = 3 - 2 + 2\cos 4\alpha = 1 + 2\cos 4\alpha$.
Мы получили выражение из пункта в). Следовательно, дальнейшее преобразование и ответ будут такими же.
$1 + 2\cos 4\alpha = 4 \cos(2\alpha + \frac{\pi}{6}) \cos(2\alpha - \frac{\pi}{6})$.
Ответ: $4 \cos(2\alpha + \frac{\pi}{6}) \cos(2\alpha - \frac{\pi}{6})$.
е) Для преобразования выражения $1 - 4\cos^2 2\alpha$ используем формулу понижения степени для косинуса: $\cos^2 x = \frac{1 + \cos 2x}{2}$.
Здесь $x = 2\alpha$, значит $\cos^2 2\alpha = \frac{1 + \cos(4\alpha)}{2}$.
Подставляем в исходное выражение:
$1 - 4(\frac{1 + \cos 4\alpha}{2}) = 1 - 2(1 + \cos 4\alpha) = 1 - 2 - 2\cos 4\alpha = -1 - 2\cos 4\alpha$.
Вынесем минус за скобки: $-(1 + 2\cos 4\alpha)$.
Выражение в скобках совпадает с выражением из пункта в). Поэтому его можно представить в виде произведения, как мы делали ранее.
$-(1 + 2\cos 4\alpha) = -[4 \cos(2\alpha + \frac{\pi}{6}) \cos(2\alpha - \frac{\pi}{6})]$.
Ответ: $-4 \cos(2\alpha + \frac{\pi}{6}) \cos(2\alpha - \frac{\pi}{6})$.
Другие задания:
Помогло решение? Оставьте отзыв в комментариях ниже.
Присоединяйтесь к Телеграм-группе @top_gdz
ПрисоединитьсяМы подготовили для вас ответ c подробным объяснением домашего задания по алгебре за 9 класс, для упражнения номер 752 расположенного на странице 214 к учебнику 2019 года издания для учащихся школ и гимназий.
Теперь на нашем сайте ГДЗ.ТОП вы всегда легко и бесплатно найдёте условие с правильным ответом на вопрос «Как решить ДЗ» и «Как сделать» задание по алгебре к упражнению №752 (с. 214), авторов: Солтан (Генадий Николаевич), Солтан (Алла Евгеньевна), Жумадилова (Аманбала Жумадиловна), учебного пособия издательства Кокшетау.