Номер 758, страница 215 - гдз по алгебре 9 класс учебник Солтан, Солтан

Авторы: Солтан Г. Н., Солтан А. Е., Жумадилова А. Ж.
Тип: Учебник
Издательство: Кокшетау
Год издания: 2019 - 2025
Цвет обложки:
ISBN: 978-601-317-424-2
Рекомендовано Министерством образования и науки Республики Казахстан
Популярные ГДЗ в 9 классе
28. Преобразование суммы и разности тригонометрических функций в произведение. IV. Тригонометрия - номер 758, страница 215.
№758 (с. 215)
Условие. №758 (с. 215)
скриншот условия

758. Вычислите:
а) $\sin 6\alpha + \sin 2\alpha$, если $\sin 2\alpha = \frac{\sqrt{3}}{3}$;
б) $\sin 10\alpha - \sin 6\alpha$, если $\sin 2\alpha = \frac{2\sqrt{5}}{5}$;
в) $\operatorname{tg} 20^\circ + 4\sin 20^\circ$.
Решение. №758 (с. 215)


Решение 2 (rus). №758 (с. 215)
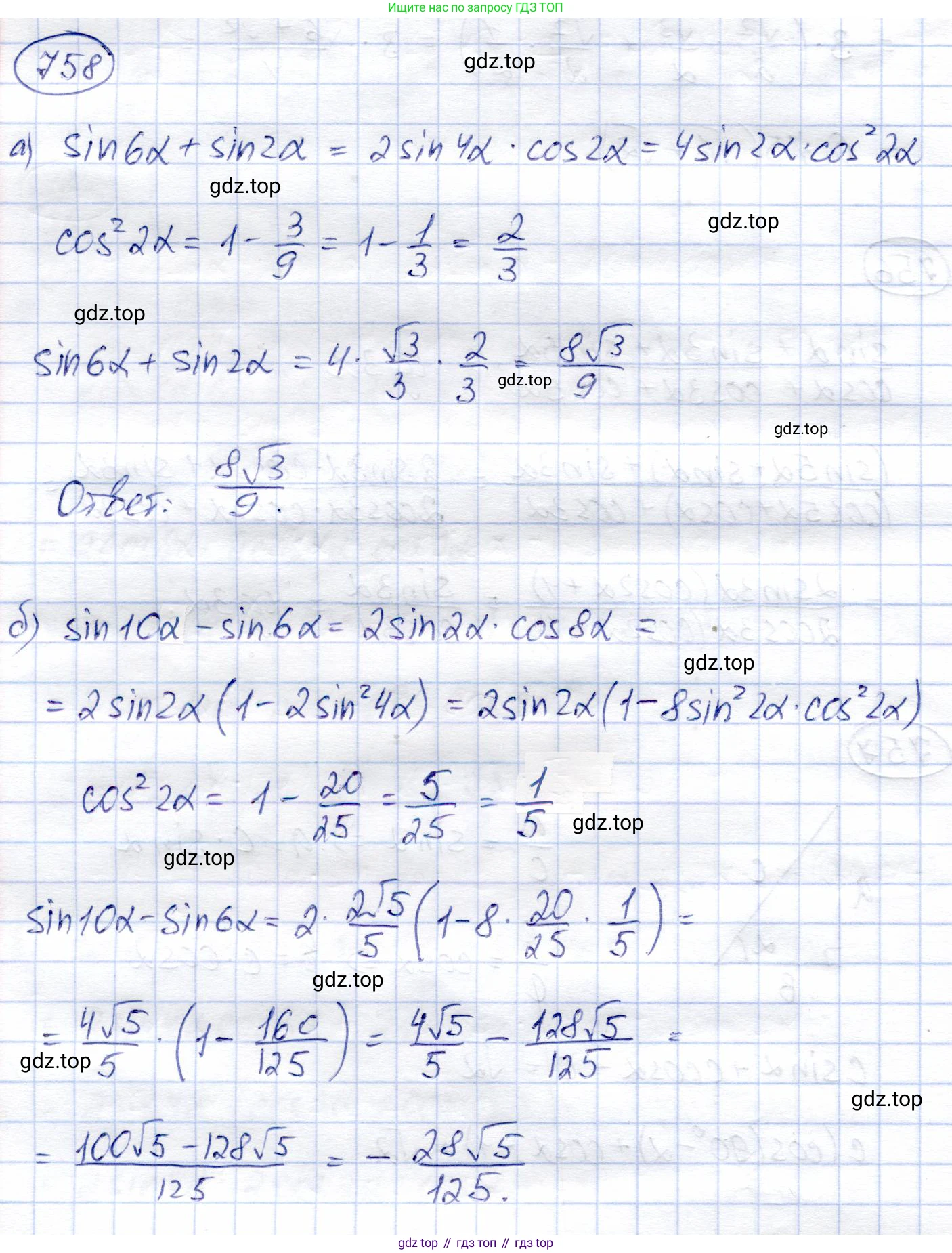
а) Чтобы вычислить значение выражения $ \sin 6\alpha + \sin 2\alpha $, воспользуемся формулой синуса тройного угла $ \sin 3x = 3\sin x - 4\sin^3 x $.Пусть $ x = 2\alpha $. Тогда $ 6\alpha = 3x $. Исходное выражение принимает вид $ \sin(3 \cdot 2\alpha) + \sin 2\alpha = \sin 3x + \sin x $.Подставим формулу тройного угла:$ (3\sin x - 4\sin^3 x) + \sin x = 4\sin x - 4\sin^3 x = 4\sin x(1 - \sin^2 x) $.Используя основное тригонометрическое тождество $ \cos^2 x = 1 - \sin^2 x $, получаем:$ 4\sin x \cos^2 x $.Вернемся к переменной $ \alpha $:$ 4\sin 2\alpha \cos^2 2\alpha $.По условию $ \sin 2\alpha = \frac{\sqrt{3}}{3} $. Найдем $ \cos^2 2\alpha $:$ \cos^2 2\alpha = 1 - \sin^2 2\alpha = 1 - \left(\frac{\sqrt{3}}{3}\right)^2 = 1 - \frac{3}{9} = 1 - \frac{1}{3} = \frac{2}{3} $.Теперь подставим найденные значения в выражение:$ 4 \sin 2\alpha \cos^2 2\alpha = 4 \cdot \frac{\sqrt{3}}{3} \cdot \frac{2}{3} = \frac{8\sqrt{3}}{9} $.Ответ: $ \frac{8\sqrt{3}}{9} $.
б) Для вычисления выражения $ \sin 10\alpha - \sin 6\alpha $ воспользуемся формулой разности синусов: $ \sin A - \sin B = 2\cos\left(\frac{A+B}{2}\right)\sin\left(\frac{A-B}{2}\right) $.$ \sin 10\alpha - \sin 6\alpha = 2\cos\left(\frac{10\alpha+6\alpha}{2}\right)\sin\left(\frac{10\alpha-6\alpha}{2}\right) = 2\cos(8\alpha)\sin(2\alpha) $.Нам дано $ \sin 2\alpha = \frac{2\sqrt{5}}{5} $. Необходимо найти $ \cos(8\alpha) $.Выразим $ \cos(8\alpha) $ через $ \sin(2\alpha) $.Сначала найдем $ \cos(4\alpha) $ через $ \sin(2\alpha) $. Для этого нам понадобятся $ \sin^2(2\alpha) $ и $ \cos^2(2\alpha) $:$ \sin^2(2\alpha) = \left(\frac{2\sqrt{5}}{5}\right)^2 = \frac{4 \cdot 5}{25} = \frac{20}{25} = \frac{4}{5} $.$ \cos^2(2\alpha) = 1 - \sin^2(2\alpha) = 1 - \frac{4}{5} = \frac{1}{5} $.Теперь воспользуемся формулой косинуса двойного угла $ \cos(2x) = \cos^2 x - \sin^2 x $:$ \cos(4\alpha) = \cos(2 \cdot 2\alpha) = \cos^2(2\alpha) - \sin^2(2\alpha) = \frac{1}{5} - \frac{4}{5} = -\frac{3}{5} $.Далее найдем $ \cos(8\alpha) $, снова используя формулу косинуса двойного угла $ \cos(2x) = 2\cos^2 x - 1 $:$ \cos(8\alpha) = \cos(2 \cdot 4\alpha) = 2\cos^2(4\alpha) - 1 = 2\left(-\frac{3}{5}\right)^2 - 1 = 2\left(\frac{9}{25}\right) - 1 = \frac{18}{25} - \frac{25}{25} = -\frac{7}{25} $.Подставим значения $ \cos(8\alpha) $ и $ \sin(2\alpha) $ в итоговое выражение:$ 2\cos(8\alpha)\sin(2\alpha) = 2 \cdot \left(-\frac{7}{25}\right) \cdot \left(\frac{2\sqrt{5}}{5}\right) = -\frac{28\sqrt{5}}{125} $.Ответ: $ -\frac{28\sqrt{5}}{125} $.
в) Преобразуем данное выражение $ \text{tg } 20^\circ + 4\sin 20^\circ $:$ \text{tg } 20^\circ + 4\sin 20^\circ = \frac{\sin 20^\circ}{\cos 20^\circ} + 4\sin 20^\circ = \frac{\sin 20^\circ + 4\sin 20^\circ \cos 20^\circ}{\cos 20^\circ} $.Используем формулу синуса двойного угла $ \sin(2x) = 2\sin x \cos x $. Отсюда $ 4\sin 20^\circ \cos 20^\circ = 2 \cdot (2\sin 20^\circ \cos 20^\circ) = 2\sin(2 \cdot 20^\circ) = 2\sin 40^\circ $.Подставим это в числитель:$ \frac{\sin 20^\circ + 2\sin 40^\circ}{\cos 20^\circ} $.Теперь преобразуем числитель. Используем формулу синуса разности для $ \sin 20^\circ $:$ \sin 20^\circ = \sin(60^\circ - 40^\circ) = \sin 60^\circ \cos 40^\circ - \cos 60^\circ \sin 40^\circ = \frac{\sqrt{3}}{2}\cos 40^\circ - \frac{1}{2}\sin 40^\circ $.Подставим это выражение в числитель дроби:$ \sin 20^\circ + 2\sin 40^\circ = \left(\frac{\sqrt{3}}{2}\cos 40^\circ - \frac{1}{2}\sin 40^\circ\right) + 2\sin 40^\circ = \frac{\sqrt{3}}{2}\cos 40^\circ + \frac{3}{2}\sin 40^\circ $.Вынесем $ \sqrt{3} $ за скобки:$ \sqrt{3}\left(\frac{1}{2}\cos 40^\circ + \frac{\sqrt{3}}{2}\sin 40^\circ\right) $.Заметим, что $ \frac{1}{2} = \sin 30^\circ $ и $ \frac{\sqrt{3}}{2} = \cos 30^\circ $. Выражение в скобках является формулой синуса суммы:$ \sqrt{3}(\sin 30^\circ \cos 40^\circ + \cos 30^\circ \sin 40^\circ) = \sqrt{3}\sin(30^\circ + 40^\circ) = \sqrt{3}\sin 70^\circ $.Таким образом, исходное выражение равно:$ \frac{\sqrt{3}\sin 70^\circ}{\cos 20^\circ} $.Используя формулу приведения $ \sin(90^\circ - x) = \cos x $, получаем $ \sin 70^\circ = \sin(90^\circ - 20^\circ) = \cos 20^\circ $.$ \frac{\sqrt{3}\cos 20^\circ}{\cos 20^\circ} = \sqrt{3} $.Ответ: $ \sqrt{3} $.
Другие задания:
Помогло решение? Оставьте отзыв в комментариях ниже.
Присоединяйтесь к Телеграм-группе @top_gdz
ПрисоединитьсяМы подготовили для вас ответ c подробным объяснением домашего задания по алгебре за 9 класс, для упражнения номер 758 расположенного на странице 215 к учебнику 2019 года издания для учащихся школ и гимназий.
Теперь на нашем сайте ГДЗ.ТОП вы всегда легко и бесплатно найдёте условие с правильным ответом на вопрос «Как решить ДЗ» и «Как сделать» задание по алгебре к упражнению №758 (с. 215), авторов: Солтан (Генадий Николаевич), Солтан (Алла Евгеньевна), Жумадилова (Аманбала Жумадиловна), учебного пособия издательства Кокшетау.