Номер 763, страница 215 - гдз по алгебре 9 класс учебник Солтан, Солтан

Авторы: Солтан Г. Н., Солтан А. Е., Жумадилова А. Ж.
Тип: Учебник
Издательство: Кокшетау
Год издания: 2019 - 2025
Цвет обложки:
ISBN: 978-601-317-424-2
Рекомендовано Министерством образования и науки Республики Казахстан
Популярные ГДЗ в 9 классе
28. Преобразование суммы и разности тригонометрических функций в произведение. IV. Тригонометрия - номер 763, страница 215.
№763 (с. 215)
Условие. №763 (с. 215)
скриншот условия


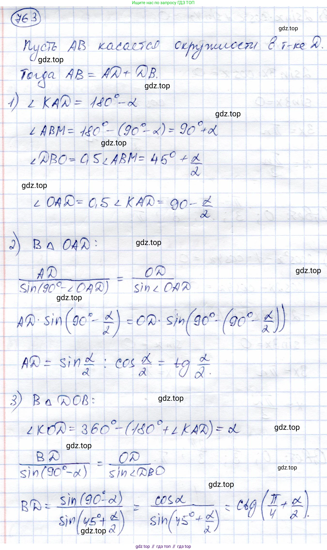
763. В прямой угол C вписана окружность радиуса 1 дм, касающаяся его сторон в точках K и M. К этой окружности проведена касательная AB, как показано на рисунке 74, причем $\angle CAB = \alpha$. Найдите $AB$.
Рисунок 74
Решение. №763 (с. 215)


Решение 2 (rus). №763 (с. 215)
Пусть $O$ - центр вписанной окружности, а $r$ - ее радиус. По условию, $r = 1$ дм. Так как окружность вписана в прямой угол $C$ ($\angle C = 90^\circ$) и касается его сторон в точках $K$ и $M$, то радиусы, проведенные в точки касания, перпендикулярны сторонам угла. То есть $OK \perp CK$ и $OM \perp CM$.
Рассмотрим четырехугольник $CKOM$. В нем три угла прямые: $\angle C = 90^\circ$, $\angle OKC = 90^\circ$ и $\angle OMC = 90^\circ$. Сумма углов четырехугольника равна $360^\circ$, следовательно, четвертый угол $\angle KOM$ также равен $90^\circ$. Кроме того, длины смежных сторон $OK$ и $OM$ равны радиусу окружности: $OK = OM = r = 1$ дм. Четырехугольник, у которого все углы прямые, а смежные стороны равны, является квадратом. Таким образом, $CKOM$ - это квадрат со стороной 1 дм, и $CK = CM = 1$ дм.
Прямая $AB$ является касательной к окружности. По свойству касательных, проведенных к окружности из одной точки, отрезки касательных от этой точки до точек касания равны. Следовательно, если $P$ - точка касания прямой $AB$ с окружностью, то $AK = AP$ и $BM = BP$.
Длина отрезка $AB$ складывается из длин отрезков $AP$ и $BP$: $AB = AP + BP$ Используя равенства выше, можем записать: $AB = AK + BM$
Из рисунка видно, что точка $A$ лежит на отрезке $CK$, а точка $B$ - на отрезке $CM$. Это означает, что $CK = CA + AK$ и $CM = CB + BM$. Так как $CK=1$ и $CM=1$, мы можем выразить длины отрезков $AK$ и $BM$: $AK = 1 - CA$ $BM = 1 - CB$
Подставим эти выражения в формулу для длины $AB$: $AB = (1 - CA) + (1 - CB) = 2 - (CA + CB)$
Рассмотрим прямоугольный треугольник $ABC$, в котором $\angle C = 90^\circ$ и, по условию, $\angle CAB = \alpha$. Из определений синуса и косинуса для острого угла в прямоугольном треугольнике следуют соотношения: $\cos \alpha = \frac{CA}{AB} \implies CA = AB \cdot \cos \alpha$ $\sin \alpha = \frac{CB}{AB} \implies CB = AB \cdot \sin \alpha$
Теперь подставим выражения для $CA$ и $CB$ в полученную ранее формулу для $AB$: $AB = 2 - (AB \cdot \cos \alpha + AB \cdot \sin \alpha)$
Решим это уравнение относительно $AB$. Вынесем $AB$ за скобки в правой части: $AB = 2 - AB(\cos \alpha + \sin \alpha)$
Перенесем слагаемое, содержащее $AB$, из правой части в левую: $AB + AB(\cos \alpha + \sin \alpha) = 2$
Вынесем $AB$ за скобки в левой части: $AB(1 + \cos \alpha + \sin \alpha) = 2$
Наконец, найдем $AB$, разделив обе части уравнения на выражение в скобках: $AB = \frac{2}{1 + \cos \alpha + \sin \alpha}$
Ответ: $AB = \frac{2}{1 + \cos \alpha + \sin \alpha}$ дм.
Другие задания:
Помогло решение? Оставьте отзыв в комментариях ниже.
Присоединяйтесь к Телеграм-группе @top_gdz
ПрисоединитьсяМы подготовили для вас ответ c подробным объяснением домашего задания по алгебре за 9 класс, для упражнения номер 763 расположенного на странице 215 к учебнику 2019 года издания для учащихся школ и гимназий.
Теперь на нашем сайте ГДЗ.ТОП вы всегда легко и бесплатно найдёте условие с правильным ответом на вопрос «Как решить ДЗ» и «Как сделать» задание по алгебре к упражнению №763 (с. 215), авторов: Солтан (Генадий Николаевич), Солтан (Алла Евгеньевна), Жумадилова (Аманбала Жумадиловна), учебного пособия издательства Кокшетау.