Номер 765, страница 217 - гдз по алгебре 9 класс учебник Солтан, Солтан

Авторы: Солтан Г. Н., Солтан А. Е., Жумадилова А. Ж.
Тип: Учебник
Издательство: Кокшетау
Год издания: 2019 - 2025
Цвет обложки:
ISBN: 978-601-317-424-2
Рекомендовано Министерством образования и науки Республики Казахстан
Популярные ГДЗ в 9 классе
29. Преобразование произведения тригонометрических функций в сумму и разность. IV. Тригонометрия - номер 765, страница 217.
№765 (с. 217)
Условие. №765 (с. 217)
скриншот условия

765. Представьте в виде суммы произведение:
a) $\cos(\frac{\pi}{6} + \alpha) \cdot \cos(\frac{\pi}{6} - \alpha)$;
б) $\cos(\frac{\pi}{8} + 2\alpha) \cdot \cos(\frac{\pi}{8} - 2\alpha)$;
в) $\sin(\frac{\pi}{3} - 3\alpha) \cdot \cos(\frac{\pi}{3} + 3\alpha)$;
г) $2\cos(\frac{\pi}{4} - \alpha) \cdot \sin(\frac{\pi}{4} + \alpha)$;
д) $2\sin(2\alpha - \frac{\pi}{3}) \cdot \sin(\frac{\pi}{3} + 2\alpha)$;
е) $2\sin(3\alpha - \frac{\pi}{4}) \cdot \sin(2\alpha + \frac{\pi}{4})$.
766. Вычислите:
Решение. №765 (с. 217)


Решение 2 (rus). №765 (с. 217)
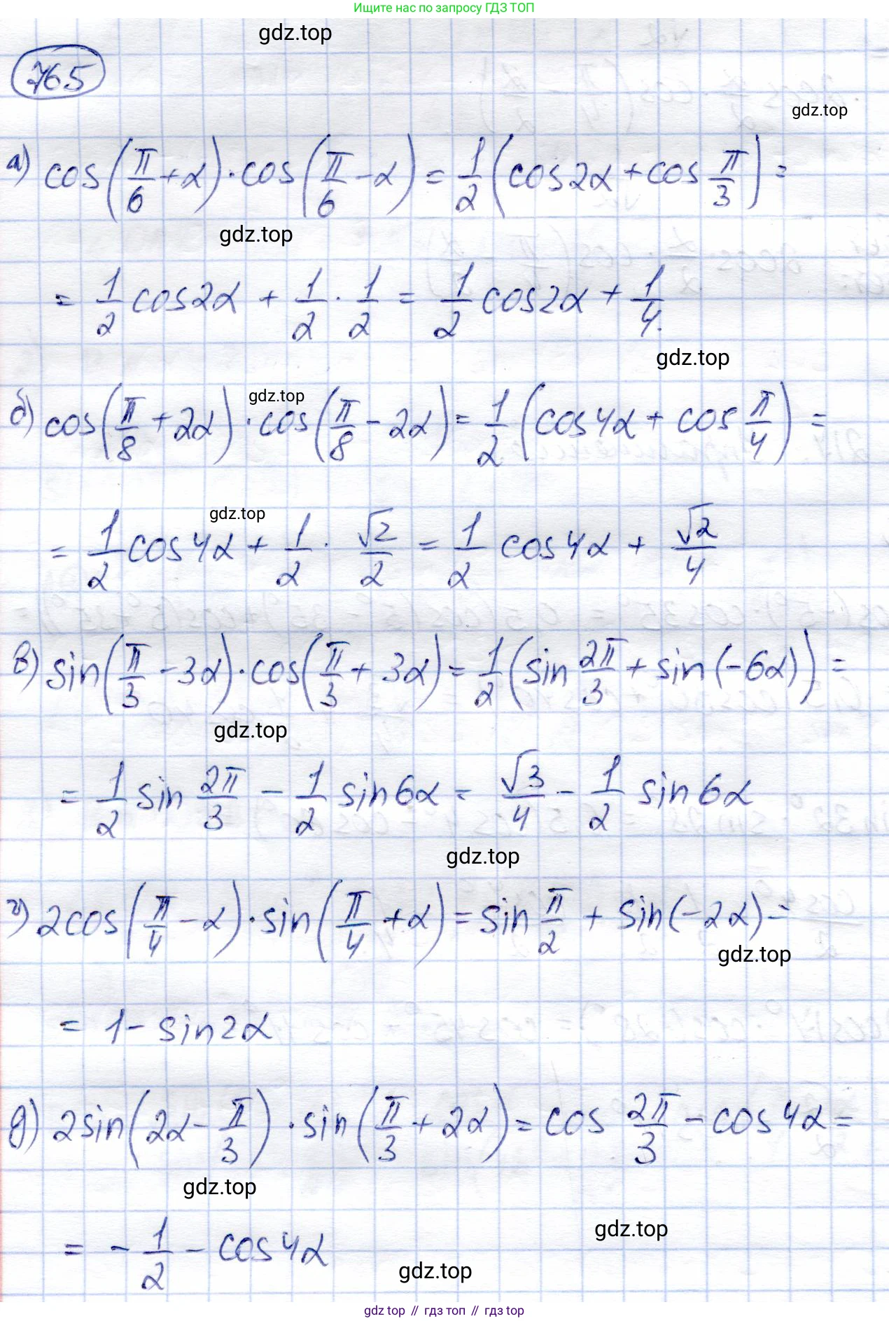
а) Для преобразования произведения $cos(\frac{\pi}{6} + \alpha) \cdot cos(\frac{\pi}{6} - \alpha)$ в сумму используем формулу произведения косинусов: $cos(x)cos(y) = \frac{1}{2}(cos(x - y) + cos(x + y))$.
В данном случае $x = \frac{\pi}{6} + \alpha$ и $y = \frac{\pi}{6} - \alpha$.
Найдем сумму и разность аргументов:
$x + y = (\frac{\pi}{6} + \alpha) + (\frac{\pi}{6} - \alpha) = \frac{2\pi}{6} = \frac{\pi}{3}$
$x - y = (\frac{\pi}{6} + \alpha) - (\frac{\pi}{6} - \alpha) = \frac{\pi}{6} + \alpha - \frac{\pi}{6} + \alpha = 2\alpha$
Подставим найденные значения в формулу:
$cos(\frac{\pi}{6} + \alpha) \cdot cos(\frac{\pi}{6} - \alpha) = \frac{1}{2}(cos(2\alpha) + cos(\frac{\pi}{3}))$
Так как $cos(\frac{\pi}{3}) = \frac{1}{2}$, получаем:
$\frac{1}{2}(cos(2\alpha) + \frac{1}{2}) = \frac{1}{2}cos(2\alpha) + \frac{1}{4}$
Ответ: $\frac{1}{2}cos(2\alpha) + \frac{1}{4}$.
б) Аналогично предыдущему пункту, используем формулу $cos(x)cos(y) = \frac{1}{2}(cos(x - y) + cos(x + y))$.
Здесь $x = \frac{\pi}{8} + 2\alpha$ и $y = \frac{\pi}{8} - 2\alpha$.
Сумма и разность аргументов:
$x + y = (\frac{\pi}{8} + 2\alpha) + (\frac{\pi}{8} - 2\alpha) = \frac{2\pi}{8} = \frac{\pi}{4}$
$x - y = (\frac{\pi}{8} + 2\alpha) - (\frac{\pi}{8} - 2\alpha) = 4\alpha$
Подставляем в формулу:
$cos(\frac{\pi}{8} + 2\alpha) \cdot cos(\frac{\pi}{8} - 2\alpha) = \frac{1}{2}(cos(4\alpha) + cos(\frac{\pi}{4}))$
Так как $cos(\frac{\pi}{4}) = \frac{\sqrt{2}}{2}$, получаем:
$\frac{1}{2}(cos(4\alpha) + \frac{\sqrt{2}}{2}) = \frac{1}{2}cos(4\alpha) + \frac{\sqrt{2}}{4}$
Ответ: $\frac{1}{2}cos(4\alpha) + \frac{\sqrt{2}}{4}$.
в) Для преобразования произведения $sin(\frac{\pi}{3} - 3\alpha) \cdot cos(\frac{\pi}{3} + 3\alpha)$ используем формулу произведения синуса на косинус: $sin(x)cos(y) = \frac{1}{2}(sin(x + y) + sin(x - y))$.
Здесь $x = \frac{\pi}{3} - 3\alpha$ и $y = \frac{\pi}{3} + 3\alpha$.
Сумма и разность аргументов:
$x + y = (\frac{\pi}{3} - 3\alpha) + (\frac{\pi}{3} + 3\alpha) = \frac{2\pi}{3}$
$x - y = (\frac{\pi}{3} - 3\alpha) - (\frac{\pi}{3} + 3\alpha) = -6\alpha$
Подставляем в формулу:
$sin(\frac{\pi}{3} - 3\alpha) \cdot cos(\frac{\pi}{3} + 3\alpha) = \frac{1}{2}(sin(\frac{2\pi}{3}) + sin(-6\alpha))$
Так как $sin(\frac{2\pi}{3}) = \frac{\sqrt{3}}{2}$ и $sin(-6\alpha) = -sin(6\alpha)$, получаем:
$\frac{1}{2}(\frac{\sqrt{3}}{2} - sin(6\alpha)) = \frac{\sqrt{3}}{4} - \frac{1}{2}sin(6\alpha)$
Ответ: $\frac{\sqrt{3}}{4} - \frac{1}{2}sin(6\alpha)$.
г) Для преобразования выражения $2cos(\frac{\pi}{4} - \alpha) \cdot sin(\frac{\pi}{4} + \alpha)$ используем формулу $2cos(x)sin(y) = sin(x + y) - sin(x - y)$.
Здесь $x = \frac{\pi}{4} - \alpha$ и $y = \frac{\pi}{4} + \alpha$.
Сумма и разность аргументов:
$x + y = (\frac{\pi}{4} - \alpha) + (\frac{\pi}{4} + \alpha) = \frac{\pi}{2}$
$x - y = (\frac{\pi}{4} - \alpha) - (\frac{\pi}{4} + \alpha) = -2\alpha$
Подставляем в формулу:
$2cos(\frac{\pi}{4} - \alpha) \cdot sin(\frac{\pi}{4} + \alpha) = sin(\frac{\pi}{2}) - sin(-2\alpha)$
Так как $sin(\frac{\pi}{2}) = 1$ и $sin(-2\alpha) = -sin(2\alpha)$, получаем:
$1 - (-sin(2\alpha)) = 1 + sin(2\alpha)$
Ответ: $1 + sin(2\alpha)$.
д) Для преобразования выражения $2sin(2\alpha - \frac{\pi}{3}) \cdot sin(\frac{\pi}{3} + 2\alpha)$ используем формулу $2sin(x)sin(y) = cos(x - y) - cos(x + y)$.
Представим выражение как $2sin(2\alpha + \frac{\pi}{3}) \cdot sin(2\alpha - \frac{\pi}{3})$.
Здесь $x = 2\alpha + \frac{\pi}{3}$ и $y = 2\alpha - \frac{\pi}{3}$.
Разность и сумма аргументов:
$x - y = (2\alpha + \frac{\pi}{3}) - (2\alpha - \frac{\pi}{3}) = \frac{2\pi}{3}$
$x + y = (2\alpha + \frac{\pi}{3}) + (2\alpha - \frac{\pi}{3}) = 4\alpha$
Подставляем в формулу:
$2sin(2\alpha - \frac{\pi}{3}) \cdot sin(\frac{\pi}{3} + 2\alpha) = cos(\frac{2\pi}{3}) - cos(4\alpha)$
Так как $cos(\frac{2\pi}{3}) = -cos(\frac{\pi}{3}) = -\frac{1}{2}$, получаем:
$-\frac{1}{2} - cos(4\alpha)$
Ответ: $-\frac{1}{2} - cos(4\alpha)$.
е) Для преобразования выражения $2sin(3\alpha - \frac{\pi}{4}) \cdot sin(2\alpha + \frac{\pi}{4})$ используем формулу $2sin(x)sin(y) = cos(x - y) - cos(x + y)$.
Здесь $x = 3\alpha - \frac{\pi}{4}$ и $y = 2\alpha + \frac{\pi}{4}$.
Разность и сумма аргументов:
$x - y = (3\alpha - \frac{\pi}{4}) - (2\alpha + \frac{\pi}{4}) = \alpha - \frac{2\pi}{4} = \alpha - \frac{\pi}{2}$
$x + y = (3\alpha - \frac{\pi}{4}) + (2\alpha + \frac{\pi}{4}) = 5\alpha$
Подставляем в формулу:
$2sin(3\alpha - \frac{\pi}{4}) \cdot sin(2\alpha + \frac{\pi}{4}) = cos(\alpha - \frac{\pi}{2}) - cos(5\alpha)$
Используя формулу приведения $cos(\alpha - \frac{\pi}{2}) = cos(\frac{\pi}{2} - \alpha) = sin(\alpha)$, получаем:
$sin(\alpha) - cos(5\alpha)$
Ответ: $sin(\alpha) - cos(5\alpha)$.
Другие задания:
Помогло решение? Оставьте отзыв в комментариях ниже.
Присоединяйтесь к Телеграм-группе @top_gdz
ПрисоединитьсяМы подготовили для вас ответ c подробным объяснением домашего задания по алгебре за 9 класс, для упражнения номер 765 расположенного на странице 217 к учебнику 2019 года издания для учащихся школ и гимназий.
Теперь на нашем сайте ГДЗ.ТОП вы всегда легко и бесплатно найдёте условие с правильным ответом на вопрос «Как решить ДЗ» и «Как сделать» задание по алгебре к упражнению №765 (с. 217), авторов: Солтан (Генадий Николаевич), Солтан (Алла Евгеньевна), Жумадилова (Аманбала Жумадиловна), учебного пособия издательства Кокшетау.