Номер 772, страница 218 - гдз по алгебре 9 класс учебник Солтан, Солтан

Авторы: Солтан Г. Н., Солтан А. Е., Жумадилова А. Ж.
Тип: Учебник
Издательство: Кокшетау
Год издания: 2019 - 2025
Цвет обложки:
ISBN: 978-601-317-424-2
Рекомендовано Министерством образования и науки Республики Казахстан
Популярные ГДЗ в 9 классе
29. Преобразование произведения тригонометрических функций в сумму и разность. IV. Тригонометрия - номер 772, страница 218.
№772 (с. 218)
Условие. №772 (с. 218)
скриншот условия

772. Докажите, что значение выражения не зависит от значения переменной:
a)
$\sin^2x + \cos(60^\circ + x) \cdot \cos(60^\circ - x)$
б)
$\sin(60^\circ + x) \cdot \sin(60^\circ - x) + \sin^2x$
в)
$\sin\left(x + \frac{\pi}{3}\right) \cdot \sin\left(x - \frac{\pi}{3}\right) + \cos^2x$
г)
$\cos\left(\frac{\pi}{6} + x\right) \cdot \cos\left(\frac{\pi}{6} - x\right) - \cos^2x$
Решение. №772 (с. 218)


Решение 2 (rus). №772 (с. 218)
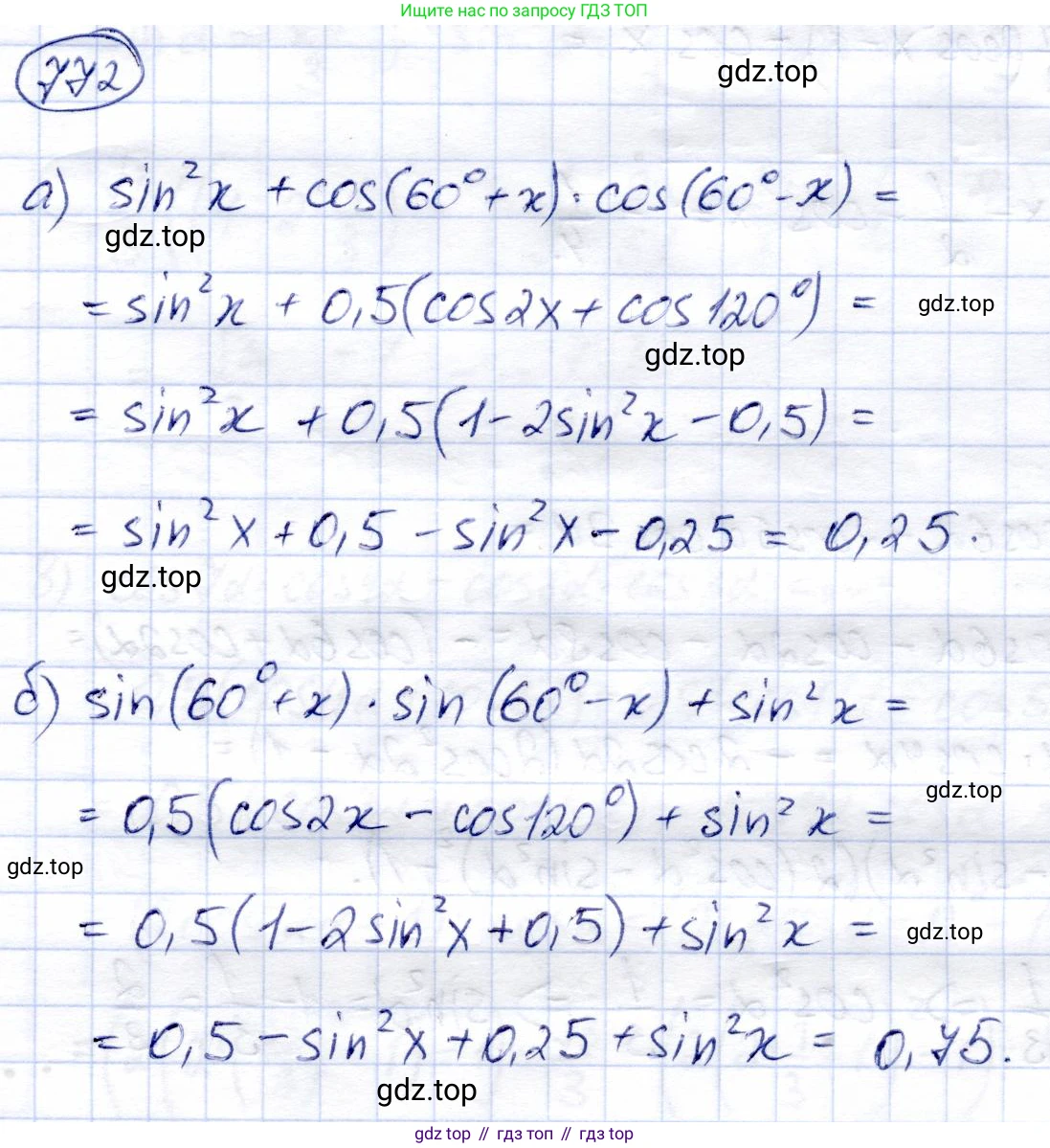
а) Для того чтобы доказать, что значение выражения не зависит от переменной, мы упростим его. Воспользуемся формулами косинуса суммы и разности аргументов: $cos(\alpha \pm \beta) = cos(\alpha)cos(\beta) \mp sin(\alpha)sin(\beta)$. Преобразуем произведение $cos(60° + x) \cdot cos(60° - x)$.
$cos(60° + x) = cos(60°)cos(x) - sin(60°)sin(x) = \frac{1}{2}cos(x) - \frac{\sqrt{3}}{2}sin(x)$.
$cos(60° - x) = cos(60°)cos(x) + sin(60°)sin(x) = \frac{1}{2}cos(x) + \frac{\sqrt{3}}{2}sin(x)$.
Произведение этих двух выражений представляет собой формулу разности квадратов $(a-b)(a+b)=a^2-b^2$:
$cos(60° + x) \cdot cos(60° - x) = (\frac{1}{2}cos(x))^2 - (\frac{\sqrt{3}}{2}sin(x))^2 = \frac{1}{4}cos^2(x) - \frac{3}{4}sin^2(x)$.
Теперь подставим полученное выражение в исходное:
$sin^2x + \frac{1}{4}cos^2(x) - \frac{3}{4}sin^2(x)$.
Сгруппируем подобные слагаемые:
$(1 - \frac{3}{4})sin^2(x) + \frac{1}{4}cos^2(x) = \frac{1}{4}sin^2(x) + \frac{1}{4}cos^2(x)$.
Вынесем общий множитель $\frac{1}{4}$ за скобки и применим основное тригонометрическое тождество $sin^2(x) + cos^2(x) = 1$:
$\frac{1}{4}(sin^2(x) + cos^2(x)) = \frac{1}{4} \cdot 1 = \frac{1}{4}$.
Таким образом, значение выражения равно константе и не зависит от $x$.
Ответ: $\frac{1}{4}$.
б) Упростим выражение, используя формулы синуса суммы и разности аргументов: $sin(\alpha \pm \beta) = sin(\alpha)cos(\beta) \pm cos(\alpha)sin(\beta)$. Преобразуем произведение $sin(60° + x) \cdot sin(60° - x)$.
$sin(60° + x) = sin(60°)cos(x) + cos(60°)sin(x) = \frac{\sqrt{3}}{2}cos(x) + \frac{1}{2}sin(x)$.
$sin(60° - x) = sin(60°)cos(x) - cos(60°)sin(x) = \frac{\sqrt{3}}{2}cos(x) - \frac{1}{2}sin(x)$.
Их произведение является разностью квадратов:
$sin(60° + x) \cdot sin(60° - x) = (\frac{\sqrt{3}}{2}cos(x))^2 - (\frac{1}{2}sin(x))^2 = \frac{3}{4}cos^2(x) - \frac{1}{4}sin^2(x)$.
Подставим это в исходное выражение:
$\frac{3}{4}cos^2(x) - \frac{1}{4}sin^2(x) + sin^2x$.
Приведем подобные слагаемые:
$\frac{3}{4}cos^2(x) + (1 - \frac{1}{4})sin^2(x) = \frac{3}{4}cos^2(x) + \frac{3}{4}sin^2(x)$.
Вынесем $\frac{3}{4}$ за скобки и воспользуемся основным тригонометрическим тождеством:
$\frac{3}{4}(cos^2(x) + sin^2(x)) = \frac{3}{4} \cdot 1 = \frac{3}{4}$.
Значение выражения не зависит от $x$.
Ответ: $\frac{3}{4}$.
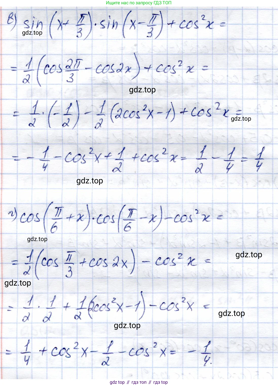
в) Упростим выражение, используя формулы синуса суммы и разности аргументов: $sin(\alpha \pm \beta) = sin(\alpha)cos(\beta) \pm cos(\alpha)sin(\beta)$, и учтем, что $\frac{\pi}{3} = 60°$. Преобразуем произведение $sin(x + \frac{\pi}{3}) \cdot sin(x - \frac{\pi}{3})$.
$sin(x + \frac{\pi}{3}) = sin(x)cos(\frac{\pi}{3}) + cos(x)sin(\frac{\pi}{3}) = \frac{1}{2}sin(x) + \frac{\sqrt{3}}{2}cos(x)$.
$sin(x - \frac{\pi}{3}) = sin(x)cos(\frac{\pi}{3}) - cos(x)sin(\frac{\pi}{3}) = \frac{1}{2}sin(x) - \frac{\sqrt{3}}{2}cos(x)$.
Их произведение является разностью квадратов:
$sin(x + \frac{\pi}{3}) \cdot sin(x - \frac{\pi}{3}) = (\frac{1}{2}sin(x))^2 - (\frac{\sqrt{3}}{2}cos(x))^2 = \frac{1}{4}sin^2(x) - \frac{3}{4}cos^2(x)$.
Подставим в исходное выражение:
$\frac{1}{4}sin^2(x) - \frac{3}{4}cos^2(x) + cos^2x$.
Сгруппируем подобные члены:
$\frac{1}{4}sin^2(x) + (1 - \frac{3}{4})cos^2(x) = \frac{1}{4}sin^2(x) + \frac{1}{4}cos^2(x)$.
Вынесем $\frac{1}{4}$ за скобки:
$\frac{1}{4}(sin^2(x) + cos^2(x)) = \frac{1}{4} \cdot 1 = \frac{1}{4}$.
Значение выражения не зависит от $x$.
Ответ: $\frac{1}{4}$.
г) Упростим выражение, используя формулы косинуса суммы и разности аргументов: $cos(\alpha \pm \beta) = cos(\alpha)cos(\beta) \mp sin(\alpha)sin(\beta)$, и учтем, что $\frac{\pi}{6} = 30°$. Преобразуем произведение $cos(\frac{\pi}{6} + x) \cdot cos(\frac{\pi}{6} - x)$.
$cos(\frac{\pi}{6} + x) = cos(\frac{\pi}{6})cos(x) - sin(\frac{\pi}{6})sin(x) = \frac{\sqrt{3}}{2}cos(x) - \frac{1}{2}sin(x)$.
$cos(\frac{\pi}{6} - x) = cos(\frac{\pi}{6})cos(x) + sin(\frac{\pi}{6})sin(x) = \frac{\sqrt{3}}{2}cos(x) + \frac{1}{2}sin(x)$.
Их произведение является разностью квадратов:
$cos(\frac{\pi}{6} + x) \cdot cos(\frac{\pi}{6} - x) = (\frac{\sqrt{3}}{2}cos(x))^2 - (\frac{1}{2}sin(x))^2 = \frac{3}{4}cos^2(x) - \frac{1}{4}sin^2(x)$.
Подставим в исходное выражение:
$\frac{3}{4}cos^2(x) - \frac{1}{4}sin^2(x) - cos^2x$.
Приведем подобные слагаемые:
$(\frac{3}{4} - 1)cos^2(x) - \frac{1}{4}sin^2(x) = -\frac{1}{4}cos^2(x) - \frac{1}{4}sin^2(x)$.
Вынесем $-\frac{1}{4}$ за скобки:
$-\frac{1}{4}(cos^2(x) + sin^2(x)) = -\frac{1}{4} \cdot 1 = -\frac{1}{4}$.
Значение выражения не зависит от $x$.
Ответ: $-\frac{1}{4}$.
Другие задания:
Помогло решение? Оставьте отзыв в комментариях ниже.
Присоединяйтесь к Телеграм-группе @top_gdz
ПрисоединитьсяМы подготовили для вас ответ c подробным объяснением домашего задания по алгебре за 9 класс, для упражнения номер 772 расположенного на странице 218 к учебнику 2019 года издания для учащихся школ и гимназий.
Теперь на нашем сайте ГДЗ.ТОП вы всегда легко и бесплатно найдёте условие с правильным ответом на вопрос «Как решить ДЗ» и «Как сделать» задание по алгебре к упражнению №772 (с. 218), авторов: Солтан (Генадий Николаевич), Солтан (Алла Евгеньевна), Жумадилова (Аманбала Жумадиловна), учебного пособия издательства Кокшетау.