Номер 771, страница 218 - гдз по алгебре 9 класс учебник Солтан, Солтан

Авторы: Солтан Г. Н., Солтан А. Е., Жумадилова А. Ж.
Тип: Учебник
Издательство: Кокшетау
Год издания: 2019 - 2025
Цвет обложки:
ISBN: 978-601-317-424-2
Рекомендовано Министерством образования и науки Республики Казахстан
Популярные ГДЗ в 9 классе
29. Преобразование произведения тригонометрических функций в сумму и разность. IV. Тригонометрия - номер 771, страница 218.
№771 (с. 218)
Условие. №771 (с. 218)
скриншот условия

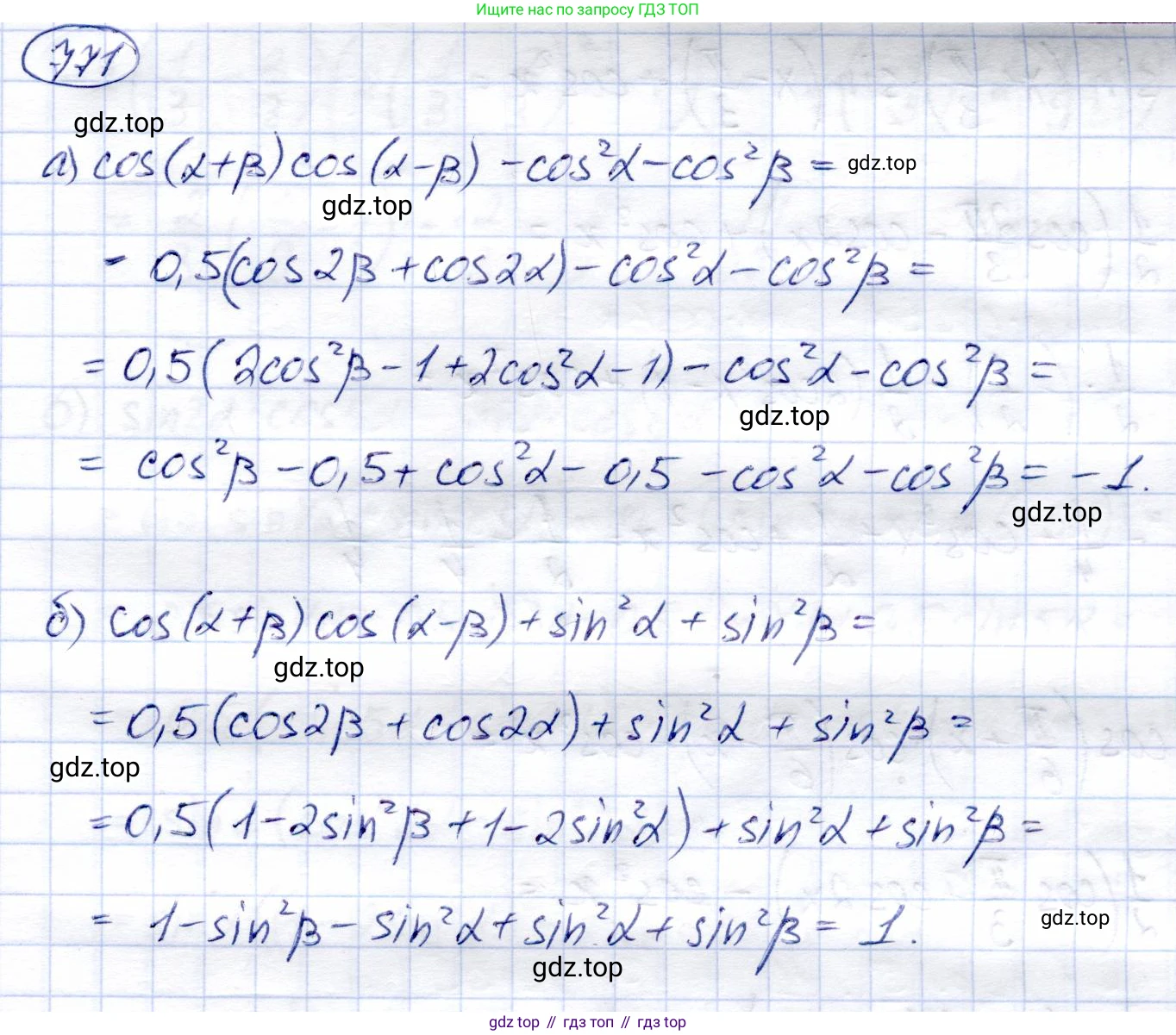
771. Упростите выражение:
a) $\cos(\alpha + \beta) \cdot \cos(\alpha - \beta) - \cos^2\alpha - \cos^2\beta;$
б) $\cos(\alpha + \beta) \cdot \cos(\alpha - \beta) + \sin^2\alpha + \sin^2\beta.$
Решение. №771 (с. 218)

Решение 2 (rus). №771 (с. 218)
а) $cos(\alpha + \beta) \cdot cos(\alpha - \beta) - cos^2\alpha - cos^2\beta$
Для упрощения данного выражения воспользуемся известной тригонометрической формулой произведения косинусов суммы и разности двух углов: $cos(\alpha + \beta) \cdot cos(\alpha - \beta) = cos^2\alpha - sin^2\beta$.
Подставим это тождество в исходное выражение:
$(cos^2\alpha - sin^2\beta) - cos^2\alpha - cos^2\beta$
Теперь сгруппируем и сократим подобные слагаемые:
$(cos^2\alpha - cos^2\alpha) - sin^2\beta - cos^2\beta = 0 - (sin^2\beta + cos^2\beta)$
Согласно основному тригонометрическому тождеству, $sin^2x + cos^2x = 1$. Применив его к нашему выражению, получаем:
$-(sin^2\beta + cos^2\beta) = -1$
Ответ: $-1$
б) $cos(\alpha + \beta) \cdot cos(\alpha - \beta) + sin^2\alpha + sin^2\beta$
Как и в предыдущем пункте, используем формулу $cos(\alpha + \beta) \cdot cos(\alpha - \beta) = cos^2\alpha - sin^2\beta$.
Подставляем это выражение в исходное:
$(cos^2\alpha - sin^2\beta) + sin^2\alpha + sin^2\beta$
Группируем и сокращаем подобные слагаемые:
$(cos^2\alpha + sin^2\alpha) + (-sin^2\beta + sin^2\beta)$
Применяем основное тригонометрическое тождество $sin^2x + cos^2x = 1$ для первой скобки:
$1 + 0 = 1$
Ответ: $1$
Другие задания:
Помогло решение? Оставьте отзыв в комментариях ниже.
Присоединяйтесь к Телеграм-группе @top_gdz
ПрисоединитьсяМы подготовили для вас ответ c подробным объяснением домашего задания по алгебре за 9 класс, для упражнения номер 771 расположенного на странице 218 к учебнику 2019 года издания для учащихся школ и гимназий.
Теперь на нашем сайте ГДЗ.ТОП вы всегда легко и бесплатно найдёте условие с правильным ответом на вопрос «Как решить ДЗ» и «Как сделать» задание по алгебре к упражнению №771 (с. 218), авторов: Солтан (Генадий Николаевич), Солтан (Алла Евгеньевна), Жумадилова (Аманбала Жумадиловна), учебного пособия издательства Кокшетау.