Номер 773, страница 218 - гдз по алгебре 9 класс учебник Солтан, Солтан

Авторы: Солтан Г. Н., Солтан А. Е., Жумадилова А. Ж.
Тип: Учебник
Издательство: Кокшетау
Год издания: 2019 - 2025
Цвет обложки:
ISBN: 978-601-317-424-2
Рекомендовано Министерством образования и науки Республики Казахстан
Популярные ГДЗ в 9 классе
29. Преобразование произведения тригонометрических функций в сумму и разность. IV. Тригонометрия - номер 773, страница 218.
№773 (с. 218)
Условие. №773 (с. 218)
скриншот условия

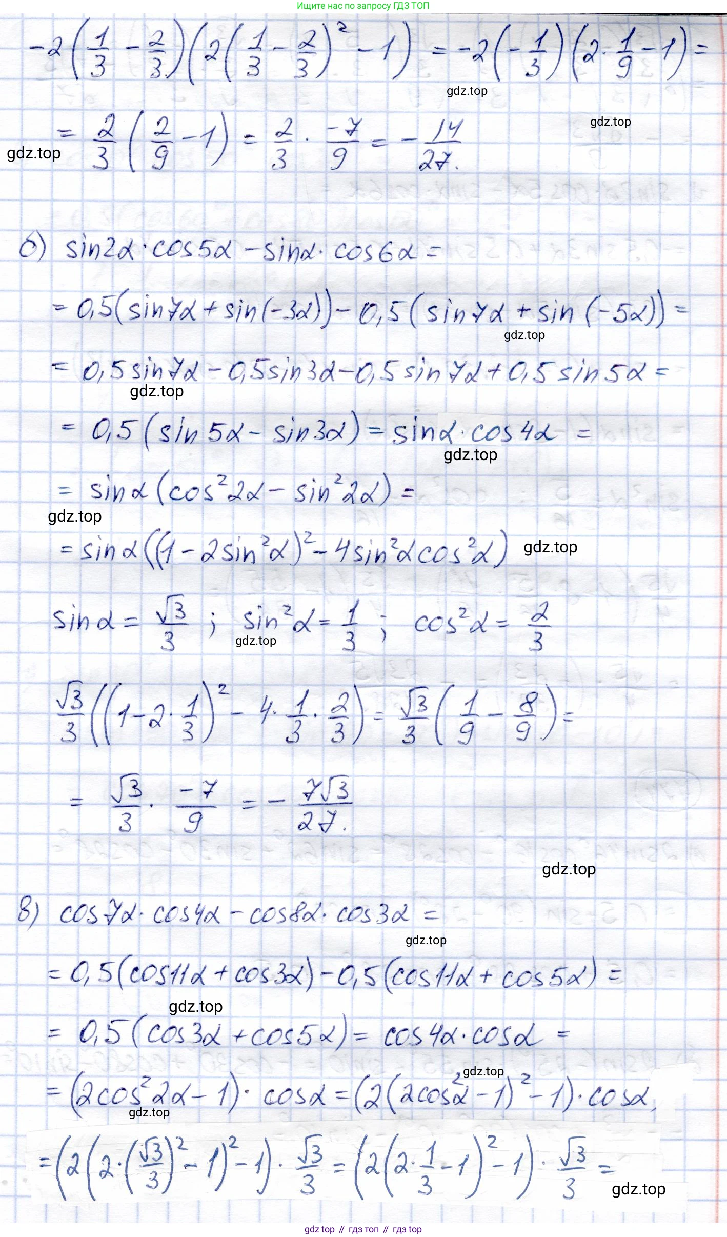
773. Найдите значение выражения:
a) $ \cos 8\alpha - \cos 6\alpha - 2\cos 5\alpha \cdot \cos 3\alpha, \text{ если } \cos \alpha = -\frac{1}{\sqrt{3}}; $
б) $ \sin 2\alpha \cdot \cos 5\alpha - \sin \alpha \cdot \cos 6\alpha, \text{ если } \sin \alpha = -\frac{1}{\sqrt{3}}; $
в) $ \cos 7\alpha \cdot \cos 4\alpha - \cos 8\alpha \cdot \cos 3\alpha, \text{ если } \cos \alpha = \frac{\sqrt{3}}{3}; $
г) $ \sin 2\alpha \cdot \cos 5\alpha - \sin \alpha \cdot \cos 6\alpha, \text{ если } \sin \alpha = \frac{\sqrt{5}}{4}. $
Решение. №773 (с. 218)



Решение 2 (rus). №773 (с. 218)
а) Для нахождения значения выражения $\cos 8\alpha - \cos 6\alpha - 2\cos 5\alpha \cdot \cos 3\alpha$ преобразуем его, используя тригонометрические формулы.
Применим формулу произведения косинусов для последнего слагаемого: $2\cos x \cos y = \cos(x+y) + \cos(x-y)$.
$2\cos 5\alpha \cdot \cos 3\alpha = \cos(5\alpha + 3\alpha) + \cos(5\alpha - 3\alpha) = \cos 8\alpha + \cos 2\alpha$.
Подставим полученное выражение в исходное:
$\cos 8\alpha - \cos 6\alpha - (\cos 8\alpha + \cos 2\alpha) = \cos 8\alpha - \cos 6\alpha - \cos 8\alpha - \cos 2\alpha = -(\cos 6\alpha + \cos 2\alpha)$.
Теперь необходимо найти значения $\cos 2\alpha$ и $\cos 6\alpha$, зная, что $\cos \alpha = -\frac{1}{\sqrt{3}}$.
Используем формулу косинуса двойного угла $\cos 2\alpha = 2\cos^2 \alpha - 1$:
$\cos 2\alpha = 2\left(-\frac{1}{\sqrt{3}}\right)^2 - 1 = 2 \cdot \frac{1}{3} - 1 = \frac{2}{3} - 1 = -\frac{1}{3}$.
Для вычисления $\cos 6\alpha$ применим формулу косинуса тройного угла к аргументу $2\alpha$: $\cos 3x = 4\cos^3 x - 3\cos x$.
$\cos 6\alpha = \cos(3 \cdot 2\alpha) = 4\cos^3(2\alpha) - 3\cos(2\alpha)$.
$\cos 6\alpha = 4\left(-\frac{1}{3}\right)^3 - 3\left(-\frac{1}{3}\right) = 4\left(-\frac{1}{27}\right) + 1 = -\frac{4}{27} + \frac{27}{27} = \frac{23}{27}$.
Теперь вычислим значение всего выражения:
$-(\cos 6\alpha + \cos 2\alpha) = -\left(\frac{23}{27} + \left(-\frac{1}{3}\right)\right) = -\left(\frac{23}{27} - \frac{9}{27}\right) = -\frac{14}{27}$.
Ответ: $-\frac{14}{27}$
б) Для нахождения значения выражения $\sin 2\alpha \cdot \cos 5\alpha - \sin \alpha \cdot \cos 6\alpha$ преобразуем его, используя формулу произведения синуса на косинус $\sin x \cos y = \frac{1}{2}(\sin(x+y) + \sin(x-y))$.
$\sin 2\alpha \cos 5\alpha = \frac{1}{2}(\sin(2\alpha+5\alpha) + \sin(2\alpha-5\alpha)) = \frac{1}{2}(\sin 7\alpha + \sin(-3\alpha)) = \frac{1}{2}(\sin 7\alpha - \sin 3\alpha)$.
$\sin \alpha \cos 6\alpha = \frac{1}{2}(\sin(\alpha+6\alpha) + \sin(\alpha-6\alpha)) = \frac{1}{2}(\sin 7\alpha + \sin(-5\alpha)) = \frac{1}{2}(\sin 7\alpha - \sin 5\alpha)$.
Подставим в исходное выражение:
$\frac{1}{2}(\sin 7\alpha - \sin 3\alpha) - \frac{1}{2}(\sin 7\alpha - \sin 5\alpha) = \frac{1}{2}\sin 7\alpha - \frac{1}{2}\sin 3\alpha - \frac{1}{2}\sin 7\alpha + \frac{1}{2}\sin 5\alpha = \frac{1}{2}(\sin 5\alpha - \sin 3\alpha)$.
Теперь применим формулу разности синусов $\sin x - \sin y = 2\cos\frac{x+y}{2}\sin\frac{x-y}{2}$:
$\frac{1}{2}(2\cos\frac{5\alpha+3\alpha}{2}\sin\frac{5\alpha-3\alpha}{2}) = \cos 4\alpha \sin \alpha$.
Нам дано, что $\sin \alpha = -\frac{1}{\sqrt{3}}$. Найдем $\cos 4\alpha$.
Сначала найдем $\cos 2\alpha$ по формуле $\cos 2\alpha = 1 - 2\sin^2 \alpha$:
$\cos 2\alpha = 1 - 2\left(-\frac{1}{\sqrt{3}}\right)^2 = 1 - 2 \cdot \frac{1}{3} = \frac{1}{3}$.
Теперь найдем $\cos 4\alpha$ по формуле $\cos 4\alpha = 2\cos^2(2\alpha) - 1$:
$\cos 4\alpha = 2\left(\frac{1}{3}\right)^2 - 1 = 2 \cdot \frac{1}{9} - 1 = \frac{2}{9} - 1 = -\frac{7}{9}$.
Вычислим итоговое значение:
$\cos 4\alpha \sin \alpha = \left(-\frac{7}{9}\right) \cdot \left(-\frac{1}{\sqrt{3}}\right) = \frac{7}{9\sqrt{3}} = \frac{7\sqrt{3}}{27}$.
Ответ: $\frac{7\sqrt{3}}{27}$
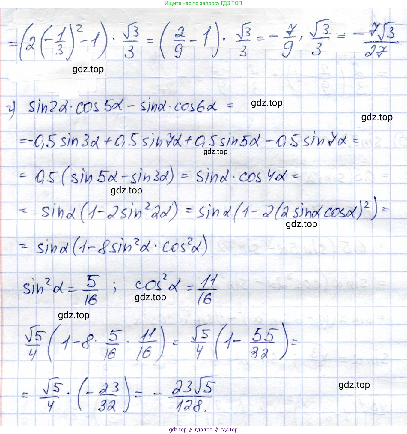
в) Для нахождения значения выражения $\cos 7\alpha \cdot \cos 4\alpha - \cos 8\alpha \cdot \cos 3\alpha$ преобразуем его, используя формулу произведения косинусов $\cos x \cos y = \frac{1}{2}(\cos(x+y) + \cos(x-y))$.
$\cos 7\alpha \cos 4\alpha = \frac{1}{2}(\cos(7\alpha+4\alpha) + \cos(7\alpha-4\alpha)) = \frac{1}{2}(\cos 11\alpha + \cos 3\alpha)$.
$\cos 8\alpha \cos 3\alpha = \frac{1}{2}(\cos(8\alpha+3\alpha) + \cos(8\alpha-3\alpha)) = \frac{1}{2}(\cos 11\alpha + \cos 5\alpha)$.
Подставим в исходное выражение:
$\frac{1}{2}(\cos 11\alpha + \cos 3\alpha) - \frac{1}{2}(\cos 11\alpha + \cos 5\alpha) = \frac{1}{2}\cos 11\alpha + \frac{1}{2}\cos 3\alpha - \frac{1}{2}\cos 11\alpha - \frac{1}{2}\cos 5\alpha = \frac{1}{2}(\cos 3\alpha - \cos 5\alpha)$.
Применим формулу разности косинусов $\cos x - \cos y = -2\sin\frac{x+y}{2}\sin\frac{x-y}{2}$:
$\frac{1}{2}(-2\sin\frac{3\alpha+5\alpha}{2}\sin\frac{3\alpha-5\alpha}{2}) = -\sin(4\alpha)\sin(-\alpha) = \sin 4\alpha \sin \alpha$.
Выражение упростилось до $\sin 4\alpha \sin \alpha$. Нам дано $\cos \alpha = \frac{\sqrt{3}}{3}$.
Чтобы найти значение, выразим $\sin 4\alpha \sin \alpha$ через $\cos \alpha$.
$\sin 4\alpha = 2\sin 2\alpha \cos 2\alpha = 2(2\sin\alpha\cos\alpha)(2\cos^2\alpha-1)$.
Тогда все выражение равно $(\sin\alpha) \cdot (4\sin\alpha\cos\alpha(2\cos^2\alpha-1)) = 4\sin^2\alpha\cos\alpha(2\cos^2\alpha-1)$.
Найдем $\sin^2\alpha$ из основного тригонометрического тождества $\sin^2\alpha = 1 - \cos^2\alpha$:
$\sin^2\alpha = 1 - \left(\frac{\sqrt{3}}{3}\right)^2 = 1 - \frac{3}{9} = 1 - \frac{1}{3} = \frac{2}{3}$.
Подставим известные значения:
$4\left(\frac{2}{3}\right)\left(\frac{\sqrt{3}}{3}\right)\left(2\left(\frac{\sqrt{3}}{3}\right)^2-1\right) = \frac{8\sqrt{3}}{9}\left(2\cdot\frac{1}{3}-1\right) = \frac{8\sqrt{3}}{9}\left(\frac{2}{3}-1\right) = \frac{8\sqrt{3}}{9}\left(-\frac{1}{3}\right) = -\frac{8\sqrt{3}}{27}$.
Ответ: $-\frac{8\sqrt{3}}{27}$
г) Исходное выражение $\sin 2\alpha \cdot \cos 5\alpha - \sin \alpha \cdot \cos 6\alpha$ полностью совпадает с выражением из пункта б).
Как было показано в решении пункта б), данное выражение можно упростить до вида $\cos 4\alpha \sin \alpha$.
По условию $\sin \alpha = \frac{\sqrt{5}}{4}$. Нам осталось найти $\cos 4\alpha$.
Найдем $\cos 2\alpha$ по формуле $\cos 2\alpha = 1 - 2\sin^2 \alpha$:
$\cos 2\alpha = 1 - 2\left(\frac{\sqrt{5}}{4}\right)^2 = 1 - 2 \cdot \frac{5}{16} = 1 - \frac{10}{16} = 1 - \frac{5}{8} = \frac{3}{8}$.
Теперь найдем $\cos 4\alpha$ по формуле $\cos 4\alpha = 2\cos^2(2\alpha) - 1$:
$\cos 4\alpha = 2\left(\frac{3}{8}\right)^2 - 1 = 2 \cdot \frac{9}{64} - 1 = \frac{18}{64} - 1 = \frac{9}{32} - \frac{32}{32} = -\frac{23}{32}$.
Вычислим итоговое значение $\cos 4\alpha \sin \alpha$:
$\left(-\frac{23}{32}\right) \cdot \left(\frac{\sqrt{5}}{4}\right) = -\frac{23\sqrt{5}}{128}$.
Ответ: $-\frac{23\sqrt{5}}{128}$
Другие задания:
Помогло решение? Оставьте отзыв в комментариях ниже.
Присоединяйтесь к Телеграм-группе @top_gdz
ПрисоединитьсяМы подготовили для вас ответ c подробным объяснением домашего задания по алгебре за 9 класс, для упражнения номер 773 расположенного на странице 218 к учебнику 2019 года издания для учащихся школ и гимназий.
Теперь на нашем сайте ГДЗ.ТОП вы всегда легко и бесплатно найдёте условие с правильным ответом на вопрос «Как решить ДЗ» и «Как сделать» задание по алгебре к упражнению №773 (с. 218), авторов: Солтан (Генадий Николаевич), Солтан (Алла Евгеньевна), Жумадилова (Аманбала Жумадиловна), учебного пособия издательства Кокшетау.