Номер 768, страница 217 - гдз по алгебре 9 класс учебник Солтан, Солтан

Авторы: Солтан Г. Н., Солтан А. Е., Жумадилова А. Ж.
Тип: Учебник
Издательство: Кокшетау
Год издания: 2019 - 2025
Цвет обложки:
ISBN: 978-601-317-424-2
Рекомендовано Министерством образования и науки Республики Казахстан
Популярные ГДЗ в 9 классе
29. Преобразование произведения тригонометрических функций в сумму и разность. IV. Тригонометрия - номер 768, страница 217.
№768 (с. 217)
Условие. №768 (с. 217)
скриншот условия


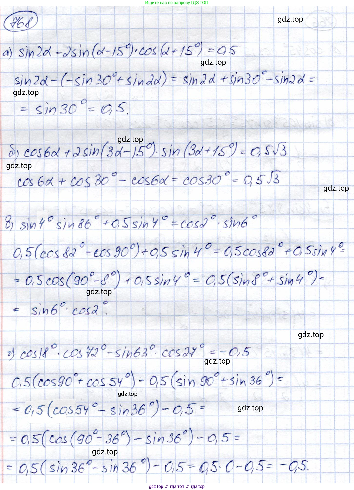
768. Докажите тождество:
a) $\sin 2\alpha - 2\sin(\alpha - 15^\circ) \cdot \cos(\alpha + 15^\circ) = 0,5;$
б) $\cos 6\alpha + 2\sin(3\alpha - 15^\circ) \cdot \sin(3\alpha + 15^\circ) = 0,5\sqrt{3};$
в) $\sin 4^\circ \cdot \sin 86^\circ + 0,5\sin 4^\circ = \cos 2^\circ \cdot \sin 6^\circ;$
г) $\cos 18^\circ \cdot \cos 72^\circ - \sin 63^\circ \cdot \cos 27^\circ = -0,5.$
Решение. №768 (с. 217)

Решение 2 (rus). №768 (с. 217)
а)
Для доказательства тождества преобразуем его левую часть. Воспользуемся формулой преобразования произведения в сумму: $2\sin(X)\cos(Y) = \sin(X+Y) + \sin(X-Y)$.
Применим её ко второму слагаемому $2\sin(\alpha - 15^\circ)\cos(\alpha + 15^\circ)$, где $X = \alpha - 15^\circ$ и $Y = \alpha + 15^\circ$:
$2\sin(\alpha - 15^\circ)\cos(\alpha + 15^\circ) = \sin((\alpha - 15^\circ) + (\alpha + 15^\circ)) + \sin((\alpha - 15^\circ) - (\alpha + 15^\circ)) = \sin(2\alpha) + \sin(-30^\circ)$.
Зная, что $\sin(-30^\circ) = -\sin(30^\circ) = -0,5$, получаем, что $2\sin(\alpha - 15^\circ)\cos(\alpha + 15^\circ) = \sin(2\alpha) - 0,5$.
Теперь подставим это в левую часть исходного тождества:
$\sin(2\alpha) - (\sin(2\alpha) - 0,5) = \sin(2\alpha) - \sin(2\alpha) + 0,5 = 0,5$.
Левая часть равна $0,5$, что совпадает с правой частью. Тождество доказано.
Ответ: Тождество доказано.
б)
Для доказательства тождества преобразуем его левую часть. Воспользуемся формулой преобразования произведения синусов в сумму: $2\sin(X)\sin(Y) = \cos(X-Y) - \cos(X+Y)$.
Применим её к слагаемому $2\sin(3\alpha - 15^\circ)\sin(3\alpha + 15^\circ)$, где $X = 3\alpha - 15^\circ$ и $Y = 3\alpha + 15^\circ$:
$2\sin(3\alpha - 15^\circ)\sin(3\alpha + 15^\circ) = \cos((3\alpha - 15^\circ) - (3\alpha + 15^\circ)) - \cos((3\alpha - 15^\circ) + (3\alpha + 15^\circ)) = \cos(-30^\circ) - \cos(6\alpha)$.
Зная, что $\cos(-30^\circ) = \cos(30^\circ) = \frac{\sqrt{3}}{2} = 0,5\sqrt{3}$, получаем, что $2\sin(3\alpha - 15^\circ)\sin(3\alpha + 15^\circ) = 0,5\sqrt{3} - \cos(6\alpha)$.
Теперь подставим это в левую часть исходного тождества:
$\cos(6\alpha) + (0,5\sqrt{3} - \cos(6\alpha)) = \cos(6\alpha) + 0,5\sqrt{3} - \cos(6\alpha) = 0,5\sqrt{3}$.
Левая часть равна $0,5\sqrt{3}$, что совпадает с правой частью. Тождество доказано.
Ответ: Тождество доказано.
в)
Для доказательства тождества преобразуем его левую часть. Сначала используем формулу приведения для $\sin(86^\circ)$: $\sin(86^\circ) = \sin(90^\circ - 4^\circ) = \cos(4^\circ)$.
Левая часть принимает вид: $\sin(4^\circ)\cos(4^\circ) + 0,5\sin(4^\circ)$.
Далее используем формулу синуса двойного угла $\sin(2x) = 2\sin(x)\cos(x)$, из которой следует, что $\sin(x)\cos(x) = \frac{1}{2}\sin(2x)$.
Тогда первое слагаемое $\sin(4^\circ)\cos(4^\circ) = \frac{1}{2}\sin(2 \cdot 4^\circ) = 0,5\sin(8^\circ)$.
Таким образом, левая часть равна: $0,5\sin(8^\circ) + 0,5\sin(4^\circ) = 0,5(\sin(8^\circ) + \sin(4^\circ))$.
Применим формулу преобразования суммы синусов в произведение: $\sin(X) + \sin(Y) = 2\sin(\frac{X+Y}{2})\cos(\frac{X-Y}{2})$:
$0,5(\sin(8^\circ) + \sin(4^\circ)) = 0,5 \cdot \left( 2\sin\left(\frac{8^\circ+4^\circ}{2}\right)\cos\left(\frac{8^\circ-4^\circ}{2}\right) \right) = \sin(6^\circ)\cos(2^\circ)$.
Полученное выражение совпадает с правой частью тождества. Тождество доказано.
Ответ: Тождество доказано.
г)
Для доказательства тождества преобразуем его левую часть, работая с каждым слагаемым по отдельности.
Первое слагаемое: $\cos(18^\circ)\cos(72^\circ)$. Используем формулу приведения $\cos(72^\circ) = \cos(90^\circ - 18^\circ) = \sin(18^\circ)$. Получаем $\cos(18^\circ)\sin(18^\circ)$. По формуле синуса двойного угла это равно $\frac{1}{2}\sin(2 \cdot 18^\circ) = \frac{1}{2}\sin(36^\circ)$.
Второе слагаемое (вычитаемое): $\sin(63^\circ)\cos(27^\circ)$. Используем формулу приведения $\sin(63^\circ) = \sin(90^\circ - 27^\circ) = \cos(27^\circ)$. Получаем $\cos(27^\circ)\cos(27^\circ) = \cos^2(27^\circ)$. По формуле понижения степени $\cos^2(x) = \frac{1+\cos(2x)}{2}$ имеем $\cos^2(27^\circ) = \frac{1+\cos(2 \cdot 27^\circ)}{2} = \frac{1+\cos(54^\circ)}{2}$.
Теперь соберем левую часть: $\frac{1}{2}\sin(36^\circ) - \frac{1+\cos(54^\circ)}{2}$.
Снова воспользуемся формулой приведения: $\cos(54^\circ) = \cos(90^\circ - 36^\circ) = \sin(36^\circ)$.
Подставляем и упрощаем: $\frac{1}{2}\sin(36^\circ) - \frac{1+\sin(36^\circ)}{2} = \frac{\sin(36^\circ) - (1+\sin(36^\circ))}{2} = \frac{\sin(36^\circ) - 1 - \sin(36^\circ)}{2} = \frac{-1}{2} = -0,5$.
Левая часть равна $-0,5$, что совпадает с правой частью. Тождество доказано.
Ответ: Тождество доказано.
Другие задания:
Помогло решение? Оставьте отзыв в комментариях ниже.
Присоединяйтесь к Телеграм-группе @top_gdz
ПрисоединитьсяМы подготовили для вас ответ c подробным объяснением домашего задания по алгебре за 9 класс, для упражнения номер 768 расположенного на странице 217 к учебнику 2019 года издания для учащихся школ и гимназий.
Теперь на нашем сайте ГДЗ.ТОП вы всегда легко и бесплатно найдёте условие с правильным ответом на вопрос «Как решить ДЗ» и «Как сделать» задание по алгебре к упражнению №768 (с. 217), авторов: Солтан (Генадий Николаевич), Солтан (Алла Евгеньевна), Жумадилова (Аманбала Жумадиловна), учебного пособия издательства Кокшетау.