Номер 764, страница 217 - гдз по алгебре 9 класс учебник Солтан, Солтан

Авторы: Солтан Г. Н., Солтан А. Е., Жумадилова А. Ж.
Тип: Учебник
Издательство: Кокшетау
Год издания: 2019 - 2025
Цвет обложки:
ISBN: 978-601-317-424-2
Рекомендовано Министерством образования и науки Республики Казахстан
Популярные ГДЗ в 9 классе
29. Преобразование произведения тригонометрических функций в сумму и разность. IV. Тригонометрия - номер 764, страница 217.
№764 (с. 217)
Условие. №764 (с. 217)
скриншот условия

764. Представьте в виде суммы или разности выражение:
а) $ \cos(-5^\circ) \cdot \cos 35^\circ; $
б) $ \sin 32^\circ \cdot \sin 28^\circ; $
в) $ 2\cos 17^\circ \cdot \cos(-28^\circ); $
г) $ 2\sin(\alpha + 2\beta) \cdot \cos(\alpha - 2\beta); $
д) $ 2\cos(3\alpha + \beta) \cdot \sin(3\alpha - \beta); $
е) $ 2\sin(4\alpha - 3\beta) \cdot \sin(4\alpha + 3\beta). $
Решение. №764 (с. 217)


Решение 2 (rus). №764 (с. 217)
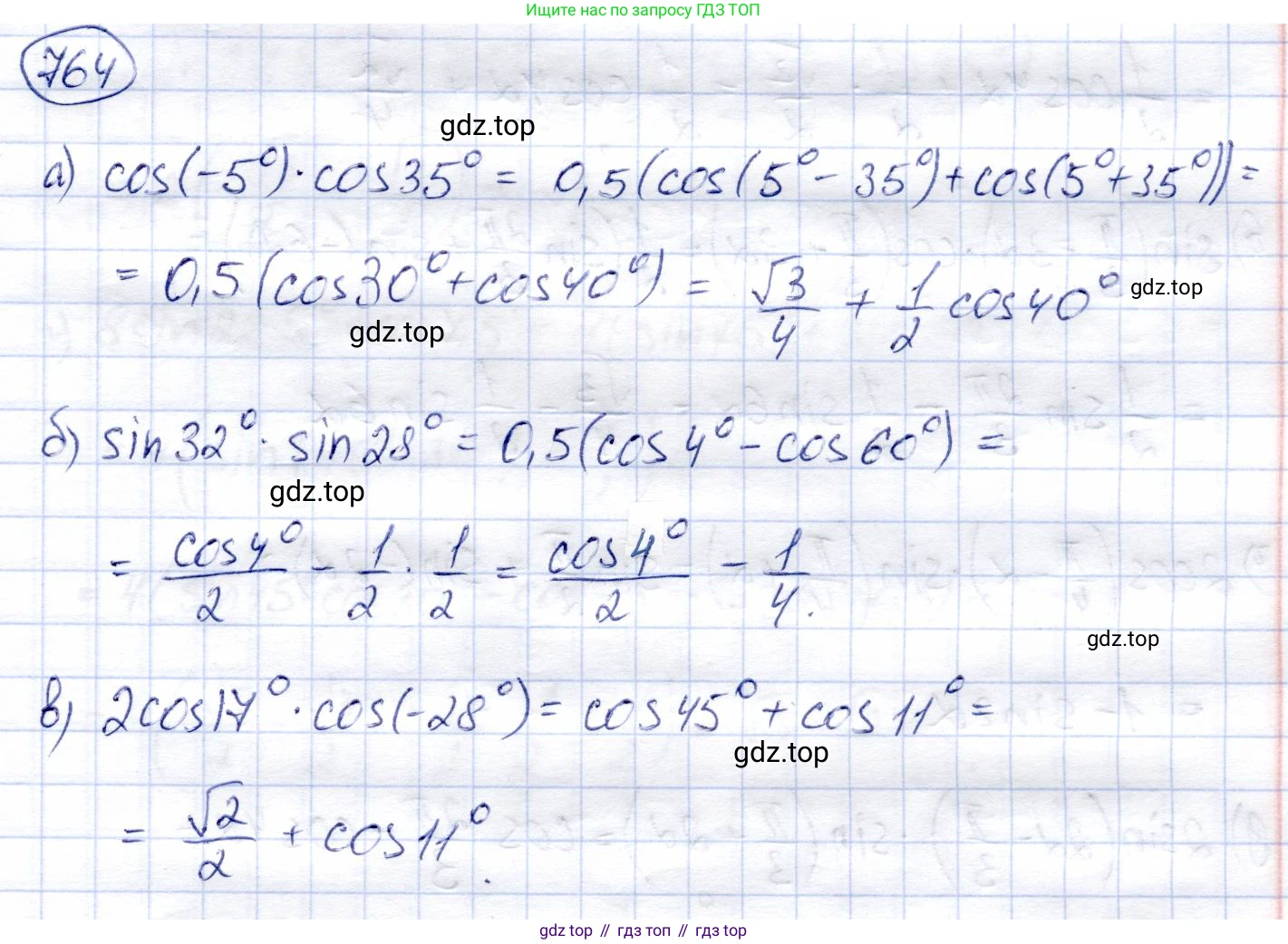
а) Для преобразования произведения косинусов в сумму используем формулу $ \cos \alpha \cdot \cos \beta = \frac{1}{2}(\cos(\alpha - \beta) + \cos(\alpha + \beta)) $. Также воспользуемся свойством четности функции косинус: $ \cos(-5^\circ) = \cos(5^\circ) $.
$ \cos(-5^\circ) \cdot \cos(35^\circ) = \cos(35^\circ) \cdot \cos(5^\circ) = \frac{1}{2}(\cos(35^\circ - 5^\circ) + \cos(35^\circ + 5^\circ)) = \frac{1}{2}(\cos(30^\circ) + \cos(40^\circ)) $.
Так как $ \cos(30^\circ) = \frac{\sqrt{3}}{2} $, выражение можно записать как $ \frac{1}{2}(\frac{\sqrt{3}}{2} + \cos(40^\circ)) = \frac{\sqrt{3}}{4} + \frac{1}{2}\cos(40^\circ) $.
Ответ: $ \frac{\sqrt{3}}{4} + \frac{1}{2}\cos(40^\circ) $.
б) Для преобразования произведения синусов в разность используем формулу $ \sin \alpha \cdot \sin \beta = \frac{1}{2}(\cos(\alpha - \beta) - \cos(\alpha + \beta)) $.
$ \sin 32^\circ \cdot \sin 28^\circ = \frac{1}{2}(\cos(32^\circ - 28^\circ) - \cos(32^\circ + 28^\circ)) = \frac{1}{2}(\cos(4^\circ) - \cos(60^\circ)) $.
Так как $ \cos(60^\circ) = \frac{1}{2} $, получаем: $ \frac{1}{2}(\cos(4^\circ) - \frac{1}{2}) = \frac{1}{2}\cos(4^\circ) - \frac{1}{4} $.
Ответ: $ \frac{1}{2}\cos(4^\circ) - \frac{1}{4} $.
в) Используем свойство четности косинуса $ \cos(-28^\circ) = \cos(28^\circ) $ и формулу $ 2\cos \alpha \cdot \cos \beta = \cos(\alpha - \beta) + \cos(\alpha + \beta) $.
$ 2\cos 17^\circ \cdot \cos(-28^\circ) = 2\cos 28^\circ \cdot \cos 17^\circ = \cos(28^\circ - 17^\circ) + \cos(28^\circ + 17^\circ) = \cos(11^\circ) + \cos(45^\circ) $.
Так как $ \cos(45^\circ) = \frac{\sqrt{2}}{2} $, получаем: $ \cos(11^\circ) + \frac{\sqrt{2}}{2} $.
Ответ: $ \cos(11^\circ) + \frac{\sqrt{2}}{2} $.
г) Для преобразования данного произведения в сумму используем формулу $ 2\sin X \cdot \cos Y = \sin(X+Y) + \sin(X-Y) $.
Пусть $ X = \alpha + 2\beta $ и $ Y = \alpha - 2\beta $. Тогда:
$ X+Y = (\alpha + 2\beta) + (\alpha - 2\beta) = 2\alpha $
$ X-Y = (\alpha + 2\beta) - (\alpha - 2\beta) = 4\beta $
Подставляем в формулу: $ 2\sin(\alpha + 2\beta) \cdot \cos(\alpha - 2\beta) = \sin(2\alpha) + \sin(4\beta) $.
Ответ: $ \sin(2\alpha) + \sin(4\beta) $.
д) Используем формулу $ 2\cos X \cdot \sin Y = \sin(X+Y) - \sin(X-Y) $.
Пусть $ X = 3\alpha + \beta $ и $ Y = 3\alpha - \beta $. Тогда:
$ X+Y = (3\alpha + \beta) + (3\alpha - \beta) = 6\alpha $
$ X-Y = (3\alpha + \beta) - (3\alpha - \beta) = 2\beta $
Подставляем в формулу: $ 2\cos(3\alpha + \beta) \cdot \sin(3\alpha - \beta) = \sin(6\alpha) - \sin(2\beta) $.
Ответ: $ \sin(6\alpha) - \sin(2\beta) $.
е) Используем формулу $ 2\sin X \cdot \sin Y = \cos(X-Y) - \cos(X+Y) $.
Поскольку умножение коммутативно, мы можем поменять множители местами: $ 2\sin(4\alpha - 3\beta) \cdot \sin(4\alpha + 3\beta) = 2\sin(4\alpha + 3\beta) \cdot \sin(4\alpha - 3\beta) $.
Пусть $ X = 4\alpha + 3\beta $ и $ Y = 4\alpha - 3\beta $. Это позволит избежать отрицательного аргумента у косинуса в результате.
$ X-Y = (4\alpha + 3\beta) - (4\alpha - 3\beta) = 6\beta $
$ X+Y = (4\alpha + 3\beta) + (4\alpha - 3\beta) = 8\alpha $
Подставляем в формулу: $ \cos(6\beta) - \cos(8\alpha) $.
Ответ: $ \cos(6\beta) - \cos(8\alpha) $.
Другие задания:
Помогло решение? Оставьте отзыв в комментариях ниже.
Присоединяйтесь к Телеграм-группе @top_gdz
ПрисоединитьсяМы подготовили для вас ответ c подробным объяснением домашего задания по алгебре за 9 класс, для упражнения номер 764 расположенного на странице 217 к учебнику 2019 года издания для учащихся школ и гимназий.
Теперь на нашем сайте ГДЗ.ТОП вы всегда легко и бесплатно найдёте условие с правильным ответом на вопрос «Как решить ДЗ» и «Как сделать» задание по алгебре к упражнению №764 (с. 217), авторов: Солтан (Генадий Николаевич), Солтан (Алла Евгеньевна), Жумадилова (Аманбала Жумадиловна), учебного пособия издательства Кокшетау.