Номер 760, страница 215 - гдз по алгебре 9 класс учебник Солтан, Солтан

Авторы: Солтан Г. Н., Солтан А. Е., Жумадилова А. Ж.
Тип: Учебник
Издательство: Кокшетау
Год издания: 2019 - 2025
Цвет обложки:
ISBN: 978-601-317-424-2
Рекомендовано Министерством образования и науки Республики Казахстан
Популярные ГДЗ в 9 классе
28. Преобразование суммы и разности тригонометрических функций в произведение. IV. Тригонометрия - номер 760, страница 215.
№760 (с. 215)
Условие. №760 (с. 215)
скриншот условия

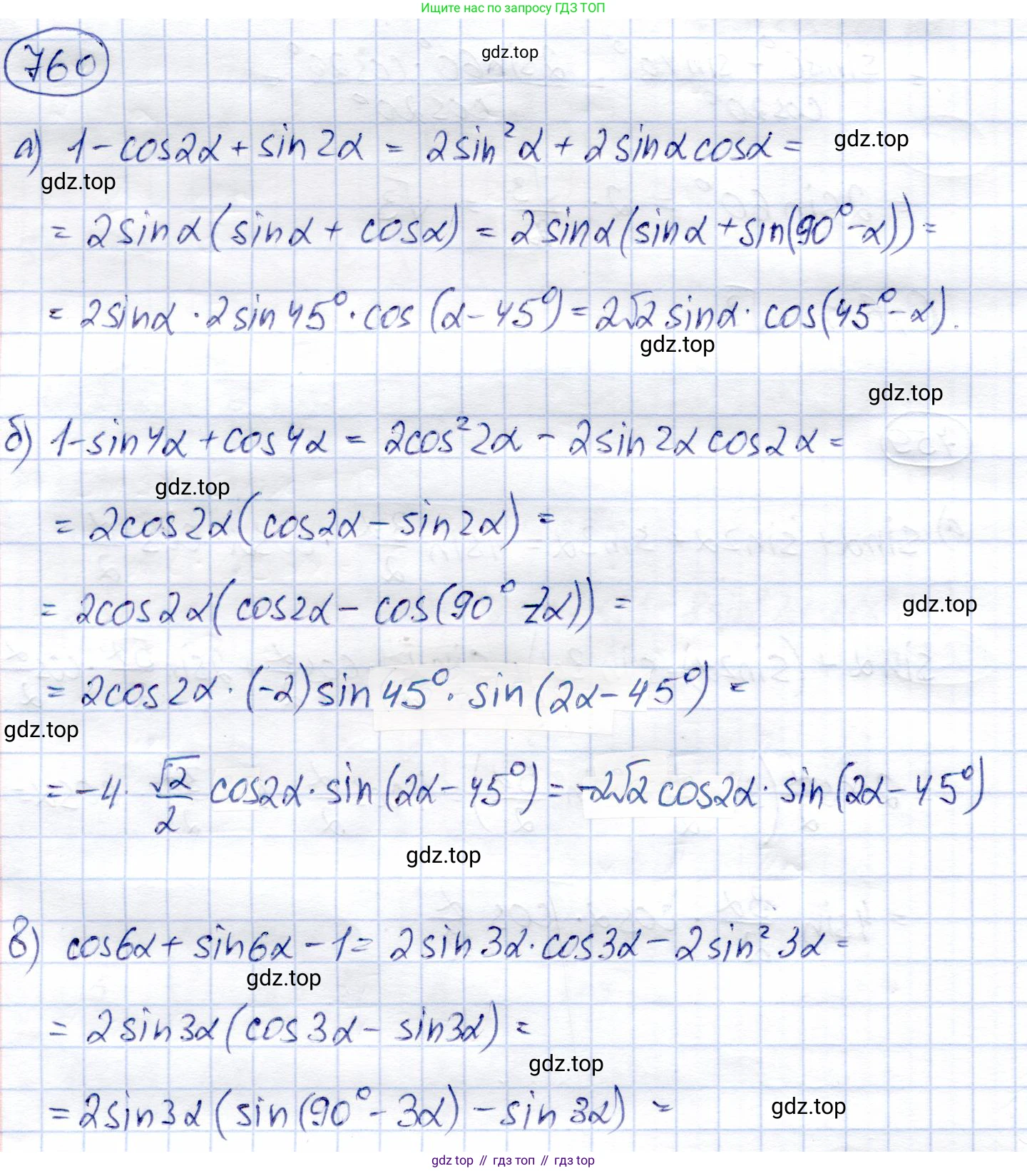
760. Представьте в виде произведения выражение:
а) $1 - \cos 2\alpha + \sin 2\alpha$;
б) $1 - \sin 4\alpha + \cos 4\alpha$;
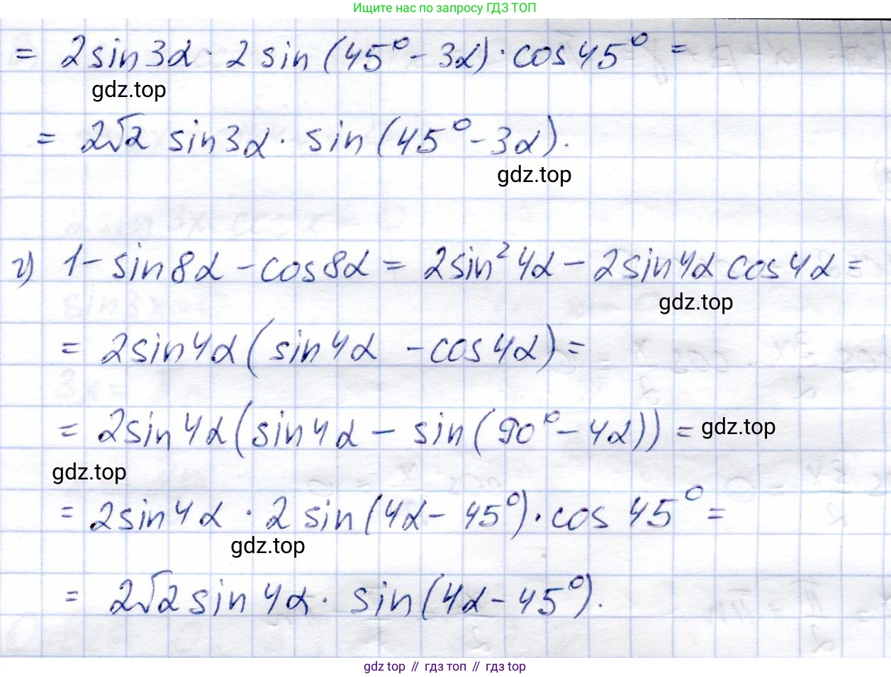
в) $\cos 6\alpha + \sin 6\alpha - 1$;
г) $1 - \sin 8\alpha - \cos 8\alpha$.
Решение. №760 (с. 215)


Решение 2 (rus). №760 (с. 215)
а) Для преобразования выражения $1 - \cos 2\alpha + \sin 2\alpha$ используем формулы двойного угла. В частности, формулу косинуса двойного угла в виде $1 - \cos 2\alpha = 2\sin^2 \alpha$ и формулу синуса двойного угла $\sin 2\alpha = 2\sin \alpha \cos \alpha$.
Подставим эти формулы в исходное выражение:
$(1 - \cos 2\alpha) + \sin 2\alpha = 2\sin^2 \alpha + 2\sin \alpha \cos \alpha$.
Теперь вынесем общий множитель $2\sin \alpha$ за скобки:
$2\sin \alpha (\sin \alpha + \cos \alpha)$.
Для дальнейшего упрощения преобразуем сумму в скобках с помощью метода введения вспомогательного угла:
$\sin \alpha + \cos \alpha = \sqrt{2}(\frac{1}{\sqrt{2}}\sin \alpha + \frac{1}{\sqrt{2}}\cos \alpha) = \sqrt{2}(\sin \alpha \cos \frac{\pi}{4} + \cos \alpha \sin \frac{\pi}{4}) = \sqrt{2}\sin(\alpha + \frac{\pi}{4})$.
Таким образом, окончательное выражение в виде произведения:
$2\sin \alpha \cdot \sqrt{2}\sin(\alpha + \frac{\pi}{4}) = 2\sqrt{2}\sin \alpha \sin(\alpha + \frac{\pi}{4})$.
Ответ: $2\sqrt{2}\sin \alpha \sin(\alpha + \frac{\pi}{4})$.
б) Рассмотрим выражение $1 - \sin 4\alpha + \cos 4\alpha$. Сгруппируем его следующим образом: $(1 + \cos 4\alpha) - \sin 4\alpha$.
Применим формулы двойного угла для аргумента $4\alpha$: $1 + \cos 4\alpha = 2\cos^2 2\alpha$ и $\sin 4\alpha = 2\sin 2\alpha \cos 2\alpha$.
Подставим в выражение:
$2\cos^2 2\alpha - 2\sin 2\alpha \cos 2\alpha$.
Вынесем общий множитель $2\cos 2\alpha$ за скобки:
$2\cos 2\alpha (\cos 2\alpha - \sin 2\alpha)$.
Преобразуем разность в скобках с помощью вспомогательного угла:
$\cos 2\alpha - \sin 2\alpha = \sqrt{2}(\frac{1}{\sqrt{2}}\cos 2\alpha - \frac{1}{\sqrt{2}}\sin 2\alpha) = \sqrt{2}(\cos 2\alpha \cos \frac{\pi}{4} - \sin 2\alpha \sin \frac{\pi}{4}) = \sqrt{2}\cos(2\alpha + \frac{\pi}{4})$.
Получаем итоговое произведение:
$2\cos 2\alpha \cdot \sqrt{2}\cos(2\alpha + \frac{\pi}{4}) = 2\sqrt{2}\cos 2\alpha \cos(2\alpha + \frac{\pi}{4})$.
Ответ: $2\sqrt{2}\cos 2\alpha \cos(2\alpha + \frac{\pi}{4})$.
в) Преобразуем выражение $\cos 6\alpha + \sin 6\alpha - 1$. Перегруппируем слагаемые: $\sin 6\alpha - (1 - \cos 6\alpha)$.
Используем формулы двойного угла для аргумента $6\alpha$: $\sin 6\alpha = 2\sin 3\alpha \cos 3\alpha$ и $1 - \cos 6\alpha = 2\sin^2 3\alpha$.
Подставив, получим:
$2\sin 3\alpha \cos 3\alpha - 2\sin^2 3\alpha$.
Вынесем общий множитель $2\sin 3\alpha$:
$2\sin 3\alpha (\cos 3\alpha - \sin 3\alpha)$.
Как и в предыдущем пункте, преобразуем разность в скобках:
$\cos 3\alpha - \sin 3\alpha = \sqrt{2}(\frac{1}{\sqrt{2}}\cos 3\alpha - \frac{1}{\sqrt{2}}\sin 3\alpha) = \sqrt{2}\cos(3\alpha + \frac{\pi}{4})$.
В результате получаем произведение:
$2\sin 3\alpha \cdot \sqrt{2}\cos(3\alpha + \frac{\pi}{4}) = 2\sqrt{2}\sin 3\alpha \cos(3\alpha + \frac{\pi}{4})$.
Ответ: $2\sqrt{2}\sin 3\alpha \cos(3\alpha + \frac{\pi}{4})$.
г) Для выражения $1 - \sin 8\alpha - \cos 8\alpha$ сгруппируем члены так: $(1 - \cos 8\alpha) - \sin 8\alpha$.
Применим формулы двойного угла для аргумента $8\alpha$: $1 - \cos 8\alpha = 2\sin^2 4\alpha$ и $\sin 8\alpha = 2\sin 4\alpha \cos 4\alpha$.
Подставим их в выражение:
$2\sin^2 4\alpha - 2\sin 4\alpha \cos 4\alpha$.
Вынесем общий множитель $2\sin 4\alpha$ за скобки:
$2\sin 4\alpha (\sin 4\alpha - \cos 4\alpha)$.
Преобразуем выражение в скобках:
$\sin 4\alpha - \cos 4\alpha = \sqrt{2}(\frac{1}{\sqrt{2}}\sin 4\alpha - \frac{1}{\sqrt{2}}\cos 4\alpha) = \sqrt{2}(\sin 4\alpha \cos \frac{\pi}{4} - \cos 4\alpha \sin \frac{\pi}{4}) = \sqrt{2}\sin(4\alpha - \frac{\pi}{4})$.
Окончательный вид произведения:
$2\sin 4\alpha \cdot \sqrt{2}\sin(4\alpha - \frac{\pi}{4}) = 2\sqrt{2}\sin 4\alpha \sin(4\alpha - \frac{\pi}{4})$.
Ответ: $2\sqrt{2}\sin 4\alpha \sin(4\alpha - \frac{\pi}{4})$.
Другие задания:
Помогло решение? Оставьте отзыв в комментариях ниже.
Присоединяйтесь к Телеграм-группе @top_gdz
ПрисоединитьсяМы подготовили для вас ответ c подробным объяснением домашего задания по алгебре за 9 класс, для упражнения номер 760 расположенного на странице 215 к учебнику 2019 года издания для учащихся школ и гимназий.
Теперь на нашем сайте ГДЗ.ТОП вы всегда легко и бесплатно найдёте условие с правильным ответом на вопрос «Как решить ДЗ» и «Как сделать» задание по алгебре к упражнению №760 (с. 215), авторов: Солтан (Генадий Николаевич), Солтан (Алла Евгеньевна), Жумадилова (Аманбала Жумадиловна), учебного пособия издательства Кокшетау.