Номер 766, страница 217 - гдз по алгебре 9 класс учебник Солтан, Солтан

Авторы: Солтан Г. Н., Солтан А. Е., Жумадилова А. Ж.
Тип: Учебник
Издательство: Кокшетау
Год издания: 2019 - 2025
Цвет обложки:
ISBN: 978-601-317-424-2
Рекомендовано Министерством образования и науки Республики Казахстан
Популярные ГДЗ в 9 классе
29. Преобразование произведения тригонометрических функций в сумму и разность. IV. Тригонометрия - номер 766, страница 217.
№766 (с. 217)
Условие. №766 (с. 217)
скриншот условия

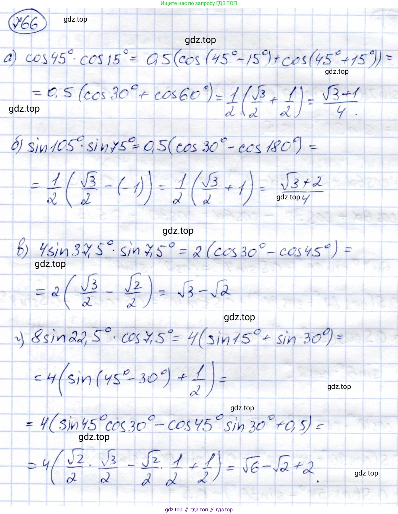
766. Вычислите:
а) $ \cos 45^\circ \cdot \cos 15^\circ; $
б) $ \sin 105^\circ \cdot \sin 75^\circ; $
в) $ 4\sin 37,5^\circ \cdot \sin 7,5^\circ; $
г) $ 8\sin 22,5^\circ \cdot \cos 7,5^\circ. $
Решение. №766 (с. 217)

Решение 2 (rus). №766 (с. 217)
а) Для вычисления произведения косинусов воспользуемся формулой преобразования произведения в сумму: $ \cos \alpha \cdot \cos \beta = \frac{1}{2}(\cos(\alpha - \beta) + \cos(\alpha + \beta)) $.
Подставим значения $\alpha = 45^\circ$ и $\beta = 15^\circ$ в формулу:
$ \cos 45^\circ \cdot \cos 15^\circ = \frac{1}{2}(\cos(45^\circ - 15^\circ) + \cos(45^\circ + 15^\circ)) = \frac{1}{2}(\cos 30^\circ + \cos 60^\circ) $.
Зная, что $ \cos 30^\circ = \frac{\sqrt{3}}{2} $ и $ \cos 60^\circ = \frac{1}{2} $, получаем:
$ \frac{1}{2} \left( \frac{\sqrt{3}}{2} + \frac{1}{2} \right) = \frac{1}{2} \cdot \frac{\sqrt{3} + 1}{2} = \frac{\sqrt{3} + 1}{4} $.
Ответ: $ \frac{\sqrt{3} + 1}{4} $.
б) Для вычисления произведения синусов используем формулу преобразования произведения в сумму: $ \sin \alpha \cdot \sin \beta = \frac{1}{2}(\cos(\alpha - \beta) - \cos(\alpha + \beta)) $.
Подставим значения $\alpha = 105^\circ$ и $\beta = 75^\circ$ в формулу:
$ \sin 105^\circ \cdot \sin 75^\circ = \frac{1}{2}(\cos(105^\circ - 75^\circ) - \cos(105^\circ + 75^\circ)) = \frac{1}{2}(\cos 30^\circ - \cos 180^\circ) $.
Зная, что $ \cos 30^\circ = \frac{\sqrt{3}}{2} $ и $ \cos 180^\circ = -1 $, получаем:
$ \frac{1}{2} \left( \frac{\sqrt{3}}{2} - (-1) \right) = \frac{1}{2} \left( \frac{\sqrt{3}}{2} + 1 \right) = \frac{1}{2} \cdot \frac{\sqrt{3} + 2}{2} = \frac{\sqrt{3} + 2}{4} $.
Ответ: $ \frac{\sqrt{3} + 2}{4} $.
в) Используем формулу преобразования произведения синусов в сумму: $ \sin \alpha \cdot \sin \beta = \frac{1}{2}(\cos(\alpha - \beta) - \cos(\alpha + \beta)) $.
$ 4\sin 37,5^\circ \cdot \sin 7,5^\circ = 4 \cdot \frac{1}{2}(\cos(37,5^\circ - 7,5^\circ) - \cos(37,5^\circ + 7,5^\circ)) = 2(\cos 30^\circ - \cos 45^\circ) $.
Зная, что $ \cos 30^\circ = \frac{\sqrt{3}}{2} $ и $ \cos 45^\circ = \frac{\sqrt{2}}{2} $, получаем:
$ 2 \left( \frac{\sqrt{3}}{2} - \frac{\sqrt{2}}{2} \right) = 2 \cdot \frac{\sqrt{3} - \sqrt{2}}{2} = \sqrt{3} - \sqrt{2} $.
Ответ: $ \sqrt{3} - \sqrt{2} $.
г) Используем формулу преобразования произведения синуса на косинус в сумму: $ \sin \alpha \cdot \cos \beta = \frac{1}{2}(\sin(\alpha + \beta) + \sin(\alpha - \beta)) $.
$ 8\sin 22,5^\circ \cdot \cos 7,5^\circ = 8 \cdot \frac{1}{2}(\sin(22,5^\circ + 7,5^\circ) + \sin(22,5^\circ - 7,5^\circ)) = 4(\sin 30^\circ + \sin 15^\circ) $.
Значение $ \sin 30^\circ = \frac{1}{2} $. Для $ \sin 15^\circ $ используем формулу синуса разности:
$ \sin 15^\circ = \sin(45^\circ - 30^\circ) = \sin 45^\circ \cos 30^\circ - \cos 45^\circ \sin 30^\circ = \frac{\sqrt{2}}{2} \cdot \frac{\sqrt{3}}{2} - \frac{\sqrt{2}}{2} \cdot \frac{1}{2} = \frac{\sqrt{6} - \sqrt{2}}{4} $.
Подставляем значения в выражение:
$ 4 \left( \frac{1}{2} + \frac{\sqrt{6} - \sqrt{2}}{4} \right) = 4 \left( \frac{2}{4} + \frac{\sqrt{6} - \sqrt{2}}{4} \right) = 4 \cdot \frac{2 + \sqrt{6} - \sqrt{2}}{4} = 2 + \sqrt{6} - \sqrt{2} $.
Ответ: $ 2 + \sqrt{6} - \sqrt{2} $.
Другие задания:
Помогло решение? Оставьте отзыв в комментариях ниже.
Присоединяйтесь к Телеграм-группе @top_gdz
ПрисоединитьсяМы подготовили для вас ответ c подробным объяснением домашего задания по алгебре за 9 класс, для упражнения номер 766 расположенного на странице 217 к учебнику 2019 года издания для учащихся школ и гимназий.
Теперь на нашем сайте ГДЗ.ТОП вы всегда легко и бесплатно найдёте условие с правильным ответом на вопрос «Как решить ДЗ» и «Как сделать» задание по алгебре к упражнению №766 (с. 217), авторов: Солтан (Генадий Николаевич), Солтан (Алла Евгеньевна), Жумадилова (Аманбала Жумадиловна), учебного пособия издательства Кокшетау.