Номер 779, страница 219 - гдз по алгебре 9 класс учебник Солтан, Солтан

Авторы: Солтан Г. Н., Солтан А. Е., Жумадилова А. Ж.
Тип: Учебник
Издательство: Кокшетау
Год издания: 2019 - 2025
Цвет обложки:
ISBN: 978-601-317-424-2
Рекомендовано Министерством образования и науки Республики Казахстан
Популярные ГДЗ в 9 классе
29. Преобразование произведения тригонометрических функций в сумму и разность. IV. Тригонометрия - номер 779, страница 219.
№779 (с. 219)
Условие. №779 (с. 219)
скриншот условия

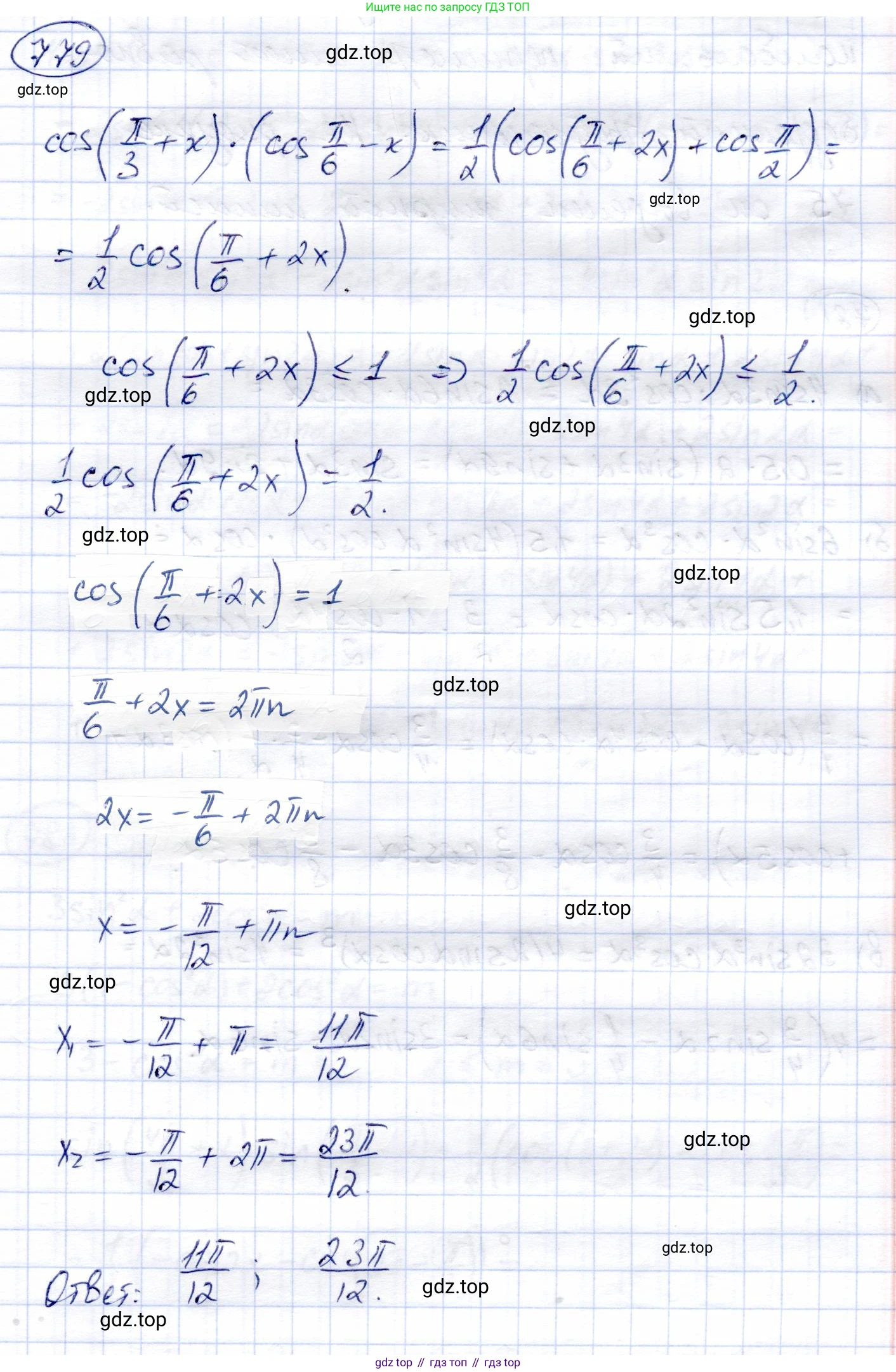
779. Исследуйте, при каком $x \in [0; 2\pi]$ принимает наибольшее значение выражение $ \cos\left(\frac{\pi}{3} + x\right) \cdot \cos\left(\frac{\pi}{6} - x\right). $
Решение. №779 (с. 219)

Решение 2 (rus). №779 (с. 219)
Для того чтобы найти, при каком значении $x$ выражение принимает наибольшее значение, мы можем упростить его с помощью тригонометрических формул. Обозначим данное выражение как $y(x)$:
$y(x) = \cos(\frac{\pi}{3} + x) \cdot \cos(\frac{\pi}{6} - x)$
Воспользуемся формулой произведения косинусов:$\cos\alpha \cdot \cos\beta = \frac{1}{2}(\cos(\alpha + \beta) + \cos(\alpha - \beta))$
В нашем случае пусть $\alpha = \frac{\pi}{3} + x$ и $\beta = \frac{\pi}{6} - x$. Найдем сумму и разность этих углов:
Сумма углов:$\alpha + \beta = (\frac{\pi}{3} + x) + (\frac{\pi}{6} - x) = \frac{2\pi}{6} + \frac{\pi}{6} = \frac{3\pi}{6} = \frac{\pi}{2}$
Разность углов:$\alpha - \beta = (\frac{\pi}{3} + x) - (\frac{\pi}{6} - x) = \frac{\pi}{3} - \frac{\pi}{6} + 2x = \frac{2\pi - \pi}{6} + 2x = \frac{\pi}{6} + 2x$
Теперь подставим полученные значения в формулу произведения косинусов:$y(x) = \frac{1}{2}\left(\cos\left(\frac{\pi}{2}\right) + \cos\left(\frac{\pi}{6} + 2x\right)\right)$
Поскольку $\cos(\frac{\pi}{2}) = 0$, выражение значительно упрощается:$y(x) = \frac{1}{2}\left(0 + \cos\left(\frac{\pi}{6} + 2x\right)\right) = \frac{1}{2}\cos\left(\frac{\pi}{6} + 2x\right)$
Наибольшее значение функции косинус равно 1. Следовательно, наибольшее значение выражения $y(x)$ равно $\frac{1}{2} \cdot 1 = \frac{1}{2}$.
Это значение достигается, когда аргумент функции косинус равен $2k\pi$, где $k$ — любое целое число:$\frac{\pi}{6} + 2x = 2k\pi$
Решим это уравнение относительно $x$:$2x = 2k\pi - \frac{\pi}{6}$$x = k\pi - \frac{\pi}{12}$
Теперь нам нужно найти все значения $x$, которые принадлежат заданному отрезку $[0; 2\pi]$. Для этого решим двойное неравенство:$0 \le k\pi - \frac{\pi}{12} \le 2\pi$
Разделим все части неравенства на $\pi$:$0 \le k - \frac{1}{12} \le 2$
Прибавим $\frac{1}{12}$ ко всем частям неравенства:$\frac{1}{12} \le k \le 2 + \frac{1}{12}$$\frac{1}{12} \le k \le \frac{25}{12}$
Поскольку $k$ должно быть целым числом, из этого промежутка подходят значения $k=1$ и $k=2$.
Найдем соответствующие значения $x$:
1. При $k=1$:$x = 1 \cdot \pi - \frac{\pi}{12} = \pi - \frac{\pi}{12} = \frac{11\pi}{12}$
2. При $k=2$:$x = 2 \cdot \pi - \frac{\pi}{12} = 2\pi - \frac{\pi}{12} = \frac{23\pi}{12}$
Оба найденных значения $x$ принадлежат отрезку $[0; 2\pi]$.
Ответ: выражение принимает наибольшее значение при $x = \frac{11\pi}{12}$ и $x = \frac{23\pi}{12}$.
Другие задания:
Помогло решение? Оставьте отзыв в комментариях ниже.
Присоединяйтесь к Телеграм-группе @top_gdz
ПрисоединитьсяМы подготовили для вас ответ c подробным объяснением домашего задания по алгебре за 9 класс, для упражнения номер 779 расположенного на странице 219 к учебнику 2019 года издания для учащихся школ и гимназий.
Теперь на нашем сайте ГДЗ.ТОП вы всегда легко и бесплатно найдёте условие с правильным ответом на вопрос «Как решить ДЗ» и «Как сделать» задание по алгебре к упражнению №779 (с. 219), авторов: Солтан (Генадий Николаевич), Солтан (Алла Евгеньевна), Жумадилова (Аманбала Жумадиловна), учебного пособия издательства Кокшетау.