Номер 746, страница 213 - гдз по алгебре 9 класс учебник Солтан, Солтан

Авторы: Солтан Г. Н., Солтан А. Е., Жумадилова А. Ж.
Тип: Учебник
Издательство: Кокшетау
Год издания: 2019 - 2025
Цвет обложки:
ISBN: 978-601-317-424-2
Рекомендовано Министерством образования и науки Республики Казахстан
Популярные ГДЗ в 9 классе
28. Преобразование суммы и разности тригонометрических функций в произведение. IV. Тригонометрия - номер 746, страница 213.
№746 (с. 213)
Условие. №746 (с. 213)
скриншот условия

746. Найдите наибольшее и наименьшее значения выражения:
а) $ \cos\left(\alpha - \frac{2\pi}{3}\right) - \cos\left(\alpha + \frac{2\pi}{3}\right); $
б) $ \cos\left(2\alpha - \frac{\pi}{6}\right) + \cos\left(2\alpha + \frac{\pi}{6}\right); $
в) $ \sin\left(\alpha + \frac{\pi}{4}\right) + \sin\left(\alpha - \frac{\pi}{4}\right); $
г) $ \sin\left(2\alpha + \frac{9\pi}{16}\right) - \sin\left(2\alpha + \frac{\pi}{16}\right). $
Решение. №746 (с. 213)



Решение 2 (rus). №746 (с. 213)
а) Для нахождения наибольшего и наименьшего значений выражения $ \cos(\alpha - \frac{2\pi}{3}) - \cos(\alpha + \frac{2\pi}{3}) $ воспользуемся формулой разности косинусов:
$ \cos(x) - \cos(y) = -2 \sin(\frac{x+y}{2}) \sin(\frac{x-y}{2}) $.
В нашем случае $ x = \alpha - \frac{2\pi}{3} $ и $ y = \alpha + \frac{2\pi}{3} $.
Найдем полусумму и полуразность аргументов:
$ \frac{x+y}{2} = \frac{(\alpha - \frac{2\pi}{3}) + (\alpha + \frac{2\pi}{3})}{2} = \frac{2\alpha}{2} = \alpha $.
$ \frac{x-y}{2} = \frac{(\alpha - \frac{2\pi}{3}) - (\alpha + \frac{2\pi}{3})}{2} = \frac{-\frac{4\pi}{3}}{2} = -\frac{2\pi}{3} $.
Подставим эти значения в формулу:
$ \cos(\alpha - \frac{2\pi}{3}) - \cos(\alpha + \frac{2\pi}{3}) = -2 \sin(\alpha) \sin(-\frac{2\pi}{3}) $.
Используя свойство нечетности синуса $ \sin(-z) = -\sin(z) $, получаем:
$ -2 \sin(\alpha) \sin(-\frac{2\pi}{3}) = 2 \sin(\alpha) \sin(\frac{2\pi}{3}) $.
Значение $ \sin(\frac{2\pi}{3}) = \frac{\sqrt{3}}{2} $.
Таким образом, выражение упрощается до:
$ 2 \sin(\alpha) \cdot \frac{\sqrt{3}}{2} = \sqrt{3} \sin(\alpha) $.
Область значений функции синуса $ E(\sin(\alpha)) = [-1, 1] $.
Следовательно, наибольшее значение выражения равно $ \sqrt{3} \cdot 1 = \sqrt{3} $.
Наименьшее значение выражения равно $ \sqrt{3} \cdot (-1) = -\sqrt{3} $.
Ответ: наибольшее значение $ \sqrt{3} $, наименьшее значение $ -\sqrt{3} $.
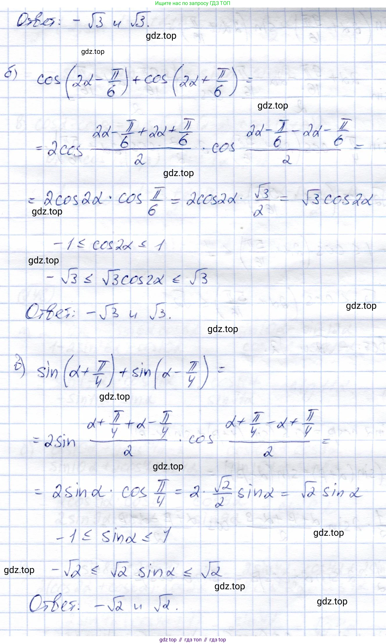
б) Для нахождения наибольшего и наименьшего значений выражения $ \cos(2\alpha - \frac{\pi}{6}) + \cos(2\alpha + \frac{\pi}{6}) $ воспользуемся формулой суммы косинусов:
$ \cos(x) + \cos(y) = 2 \cos(\frac{x+y}{2}) \cos(\frac{x-y}{2}) $.
В данном случае $ x = 2\alpha - \frac{\pi}{6} $ и $ y = 2\alpha + \frac{\pi}{6} $.
Найдем полусумму и полуразность аргументов:
$ \frac{x+y}{2} = \frac{(2\alpha - \frac{\pi}{6}) + (2\alpha + \frac{\pi}{6})}{2} = \frac{4\alpha}{2} = 2\alpha $.
$ \frac{x-y}{2} = \frac{(2\alpha - \frac{\pi}{6}) - (2\alpha + \frac{\pi}{6})}{2} = \frac{-\frac{2\pi}{6}}{2} = -\frac{\pi}{6} $.
Подставим эти значения в формулу:
$ \cos(2\alpha - \frac{\pi}{6}) + \cos(2\alpha + \frac{\pi}{6}) = 2 \cos(2\alpha) \cos(-\frac{\pi}{6}) $.
Используя свойство четности косинуса $ \cos(-z) = \cos(z) $, получаем:
$ 2 \cos(2\alpha) \cos(\frac{\pi}{6}) $.
Значение $ \cos(\frac{\pi}{6}) = \frac{\sqrt{3}}{2} $.
Таким образом, выражение упрощается до:
$ 2 \cos(2\alpha) \cdot \frac{\sqrt{3}}{2} = \sqrt{3} \cos(2\alpha) $.
Область значений функции косинуса $ E(\cos(2\alpha)) = [-1, 1] $.
Следовательно, наибольшее значение выражения равно $ \sqrt{3} \cdot 1 = \sqrt{3} $.
Наименьшее значение выражения равно $ \sqrt{3} \cdot (-1) = -\sqrt{3} $.
Ответ: наибольшее значение $ \sqrt{3} $, наименьшее значение $ -\sqrt{3} $.
в) Для нахождения наибольшего и наименьшего значений выражения $ \sin(\alpha + \frac{\pi}{4}) + \sin(\alpha - \frac{\pi}{4}) $ воспользуемся формулой суммы синусов:
$ \sin(x) + \sin(y) = 2 \sin(\frac{x+y}{2}) \cos(\frac{x-y}{2}) $.
Здесь $ x = \alpha + \frac{\pi}{4} $ и $ y = \alpha - \frac{\pi}{4} $.
Найдем полусумму и полуразность аргументов:
$ \frac{x+y}{2} = \frac{(\alpha + \frac{\pi}{4}) + (\alpha - \frac{\pi}{4})}{2} = \frac{2\alpha}{2} = \alpha $.
$ \frac{x-y}{2} = \frac{(\alpha + \frac{\pi}{4}) - (\alpha - \frac{\pi}{4})}{2} = \frac{\frac{2\pi}{4}}{2} = \frac{\pi}{4} $.
Подставим эти значения в формулу:
$ \sin(\alpha + \frac{\pi}{4}) + \sin(\alpha - \frac{\pi}{4}) = 2 \sin(\alpha) \cos(\frac{\pi}{4}) $.
Значение $ \cos(\frac{\pi}{4}) = \frac{\sqrt{2}}{2} $.
Таким образом, выражение упрощается до:
$ 2 \sin(\alpha) \cdot \frac{\sqrt{2}}{2} = \sqrt{2} \sin(\alpha) $.
Область значений функции синуса $ E(\sin(\alpha)) = [-1, 1] $.
Следовательно, наибольшее значение выражения равно $ \sqrt{2} \cdot 1 = \sqrt{2} $.
Наименьшее значение выражения равно $ \sqrt{2} \cdot (-1) = -\sqrt{2} $.
Ответ: наибольшее значение $ \sqrt{2} $, наименьшее значение $ -\sqrt{2} $.
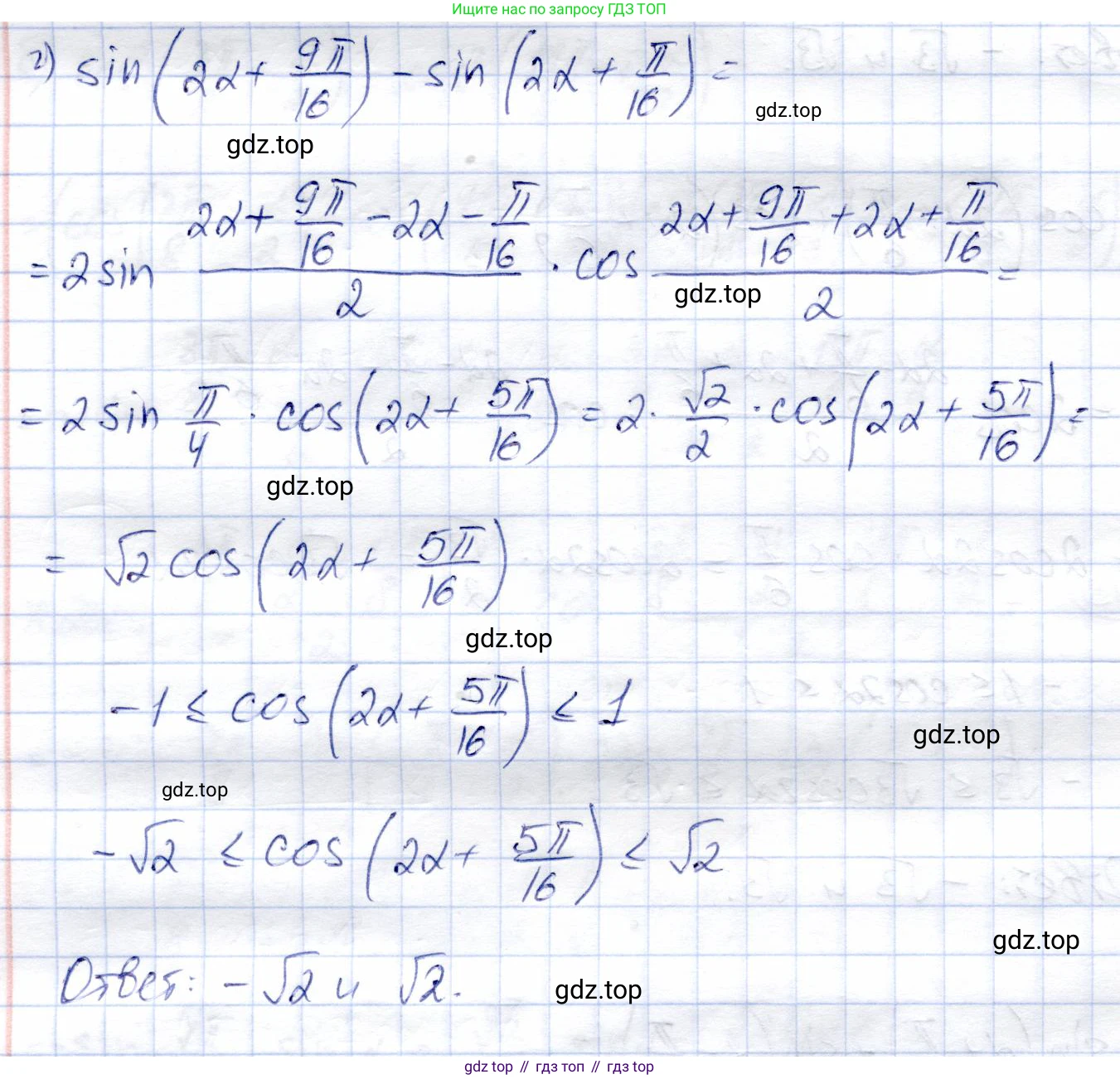
г) Для нахождения наибольшего и наименьшего значений выражения $ \sin(2\alpha + \frac{9\pi}{16}) - \sin(2\alpha + \frac{\pi}{16}) $ воспользуемся формулой разности синусов:
$ \sin(x) - \sin(y) = 2 \cos(\frac{x+y}{2}) \sin(\frac{x-y}{2}) $.
В этом случае $ x = 2\alpha + \frac{9\pi}{16} $ и $ y = 2\alpha + \frac{\pi}{16} $.
Найдем полусумму и полуразность аргументов:
$ \frac{x+y}{2} = \frac{(2\alpha + \frac{9\pi}{16}) + (2\alpha + \frac{\pi}{16})}{2} = \frac{4\alpha + \frac{10\pi}{16}}{2} = 2\alpha + \frac{5\pi}{16} $.
$ \frac{x-y}{2} = \frac{(2\alpha + \frac{9\pi}{16}) - (2\alpha + \frac{\pi}{16})}{2} = \frac{\frac{8\pi}{16}}{2} = \frac{\frac{\pi}{2}}{2} = \frac{\pi}{4} $.
Подставим эти значения в формулу:
$ \sin(2\alpha + \frac{9\pi}{16}) - \sin(2\alpha + \frac{\pi}{16}) = 2 \cos(2\alpha + \frac{5\pi}{16}) \sin(\frac{\pi}{4}) $.
Значение $ \sin(\frac{\pi}{4}) = \frac{\sqrt{2}}{2} $.
Таким образом, выражение упрощается до:
$ 2 \cos(2\alpha + \frac{5\pi}{16}) \cdot \frac{\sqrt{2}}{2} = \sqrt{2} \cos(2\alpha + \frac{5\pi}{16}) $.
Область значений функции косинуса $ E(\cos(2\alpha + \frac{5\pi}{16})) = [-1, 1] $, так как сдвиг аргумента не влияет на область значений.
Следовательно, наибольшее значение выражения равно $ \sqrt{2} \cdot 1 = \sqrt{2} $.
Наименьшее значение выражения равно $ \sqrt{2} \cdot (-1) = -\sqrt{2} $.
Ответ: наибольшее значение $ \sqrt{2} $, наименьшее значение $ -\sqrt{2} $.
Другие задания:
Помогло решение? Оставьте отзыв в комментариях ниже.
Присоединяйтесь к Телеграм-группе @top_gdz
ПрисоединитьсяМы подготовили для вас ответ c подробным объяснением домашего задания по алгебре за 9 класс, для упражнения номер 746 расположенного на странице 213 к учебнику 2019 года издания для учащихся школ и гимназий.
Теперь на нашем сайте ГДЗ.ТОП вы всегда легко и бесплатно найдёте условие с правильным ответом на вопрос «Как решить ДЗ» и «Как сделать» задание по алгебре к упражнению №746 (с. 213), авторов: Солтан (Генадий Николаевич), Солтан (Алла Евгеньевна), Жумадилова (Аманбала Жумадиловна), учебного пособия издательства Кокшетау.