Номер 744, страница 213 - гдз по алгебре 9 класс учебник Солтан, Солтан

Авторы: Солтан Г. Н., Солтан А. Е., Жумадилова А. Ж.
Тип: Учебник
Издательство: Кокшетау
Год издания: 2019 - 2025
Цвет обложки:
ISBN: 978-601-317-424-2
Рекомендовано Министерством образования и науки Республики Казахстан
Популярные ГДЗ в 9 классе
28. Преобразование суммы и разности тригонометрических функций в произведение. IV. Тригонометрия - номер 744, страница 213.
№744 (с. 213)
Условие. №744 (с. 213)
скриншот условия

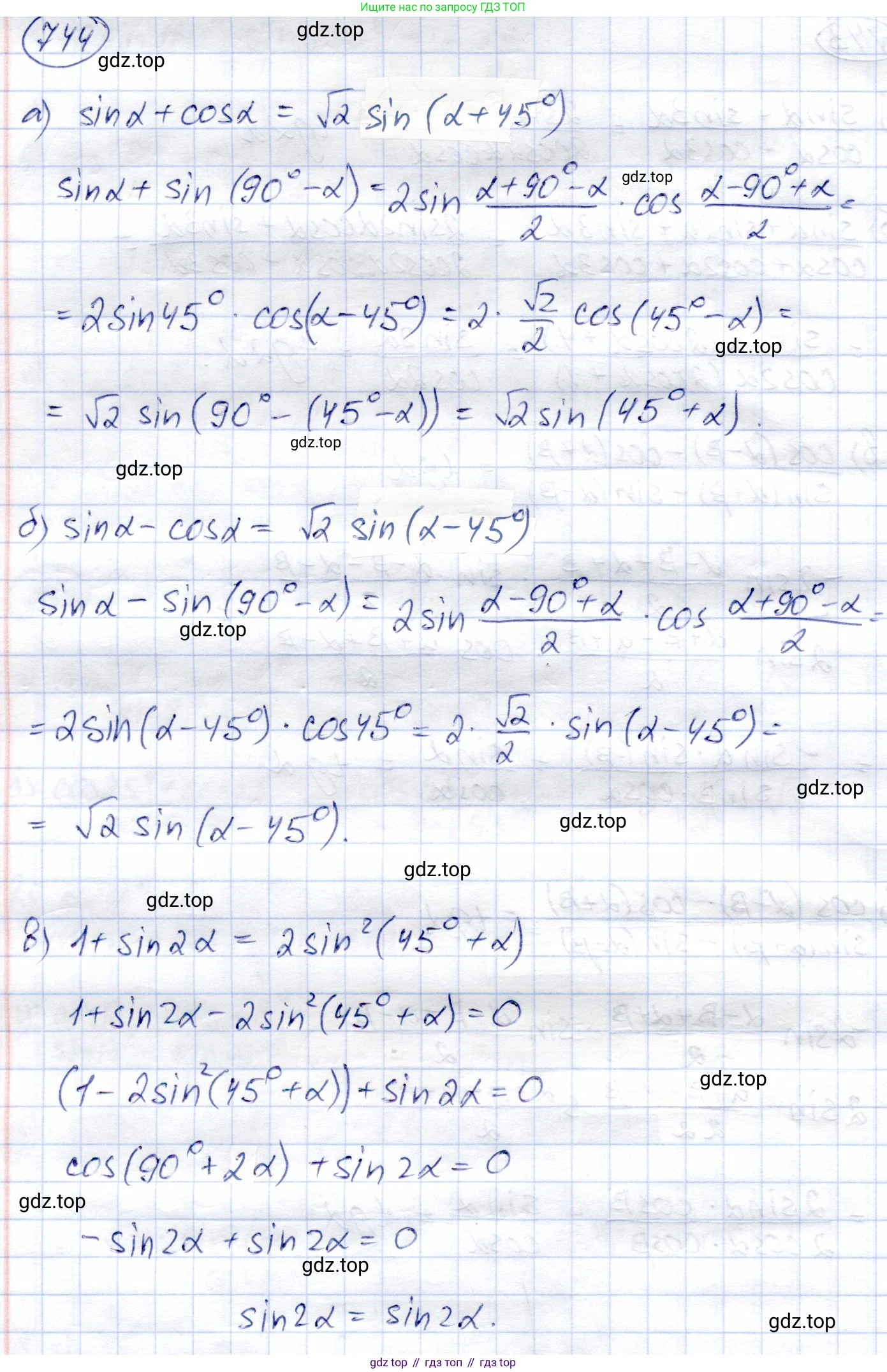
744. Докажите, что верно равенство:
a) $\sin \alpha + \cos \alpha = \sqrt{2} \sin(\alpha + 45^\circ)$
б) $\sin \alpha - \cos \alpha = \sqrt{2} \sin(\alpha - 45^\circ)$
в) $1 + \sin 2\alpha = 2\sin^2(45^\circ + \alpha)$
г) $1 - \sin 4\alpha = 2\sin^2(45^\circ - 2\alpha)$
Решение. №744 (с. 213)


Решение 2 (rus). №744 (с. 213)
а) Для доказательства преобразуем правую часть равенства. Используем формулу синуса суммы `$\sin(x+y) = \sin x \cos y + \cos x \sin y$` и значения тригонометрических функций для угла $45^\circ$: `$\sin 45^\circ = \cos 45^\circ = \frac{\sqrt{2}}{2}$`.
`$\sqrt{2}\sin(\alpha + 45^\circ) = \sqrt{2}(\sin\alpha \cos 45^\circ + \cos\alpha \sin 45^\circ)$`
Подставляем числовые значения:
`$= \sqrt{2}(\sin\alpha \cdot \frac{\sqrt{2}}{2} + \cos\alpha \cdot \frac{\sqrt{2}}{2}) = \sqrt{2} \cdot \frac{\sqrt{2}}{2}(\sin\alpha + \cos\alpha) = \frac{2}{2}(\sin\alpha + \cos\alpha) = \sin\alpha + \cos\alpha$`.
Правая часть равенства тождественно равна левой части. Равенство доказано.
Ответ:
б) Для доказательства преобразуем правую часть равенства. Используем формулу синуса разности `$\sin(x-y) = \sin x \cos y - \cos x \sin y$` и значения `$\sin 45^\circ = \cos 45^\circ = \frac{\sqrt{2}}{2}$`.
`$\sqrt{2}\sin(\alpha - 45^\circ) = \sqrt{2}(\sin\alpha \cos 45^\circ - \cos\alpha \sin 45^\circ)$`
Подставляем числовые значения:
`$= \sqrt{2}(\sin\alpha \cdot \frac{\sqrt{2}}{2} - \cos\alpha \cdot \frac{\sqrt{2}}{2}) = \sqrt{2} \cdot \frac{\sqrt{2}}{2}(\sin\alpha - \cos\alpha) = \frac{2}{2}(\sin\alpha - \cos\alpha) = \sin\alpha - \cos\alpha$`.
Правая часть равенства тождественно равна левой части. Равенство доказано.
Ответ:
в) Для доказательства преобразуем правую часть равенства. Используем формулу понижения степени `$2\sin^2 x = 1 - \cos(2x)$`.
Пусть `$x = 45^\circ + \alpha$`, тогда `$2x = 2(45^\circ + \alpha) = 90^\circ + 2\alpha$`.
`$2\sin^2(45^\circ + \alpha) = 1 - \cos(2(45^\circ + \alpha)) = 1 - \cos(90^\circ + 2\alpha)$`.
Далее используем формулу приведения `$\cos(90^\circ + \beta) = -\sin\beta$`.
`$1 - \cos(90^\circ + 2\alpha) = 1 - (-\sin(2\alpha)) = 1 + \sin(2\alpha)$`.
Правая часть равенства тождественно равна левой части. Равенство доказано.
Ответ:
г) Для доказательства преобразуем правую часть равенства. Используем формулу понижения степени `$2\sin^2 x = 1 - \cos(2x)$`.
Пусть `$x = 45^\circ - 2\alpha$`, тогда `$2x = 2(45^\circ - 2\alpha) = 90^\circ - 4\alpha$`.
`$2\sin^2(45^\circ - 2\alpha) = 1 - \cos(2(45^\circ - 2\alpha)) = 1 - \cos(90^\circ - 4\alpha)$`.
Далее используем формулу приведения `$\cos(90^\circ - \beta) = \sin\beta$`.
`$1 - \cos(90^\circ - 4\alpha) = 1 - \sin(4\alpha)$`.
Правая часть равенства тождественно равна левой части. Равенство доказано.
Ответ:
Другие задания:
Помогло решение? Оставьте отзыв в комментариях ниже.
Присоединяйтесь к Телеграм-группе @top_gdz
ПрисоединитьсяМы подготовили для вас ответ c подробным объяснением домашего задания по алгебре за 9 класс, для упражнения номер 744 расположенного на странице 213 к учебнику 2019 года издания для учащихся школ и гимназий.
Теперь на нашем сайте ГДЗ.ТОП вы всегда легко и бесплатно найдёте условие с правильным ответом на вопрос «Как решить ДЗ» и «Как сделать» задание по алгебре к упражнению №744 (с. 213), авторов: Солтан (Генадий Николаевич), Солтан (Алла Евгеньевна), Жумадилова (Аманбала Жумадиловна), учебного пособия издательства Кокшетау.