Номер 830, страница 227 - гдз по алгебре 9 класс учебник Солтан, Солтан

Авторы: Солтан Г. Н., Солтан А. Е., Жумадилова А. Ж.
Тип: Учебник
Издательство: Кокшетау
Год издания: 2019 - 2025
Цвет обложки:
ISBN: 978-601-317-424-2
Рекомендовано Министерством образования и науки Республики Казахстан
Популярные ГДЗ в 9 классе
30. Упражнения на повторение раздела «Тригонометрия». IV. Тригонометрия - номер 830, страница 227.
№830 (с. 227)
Условие. №830 (с. 227)
скриншот условия

830.
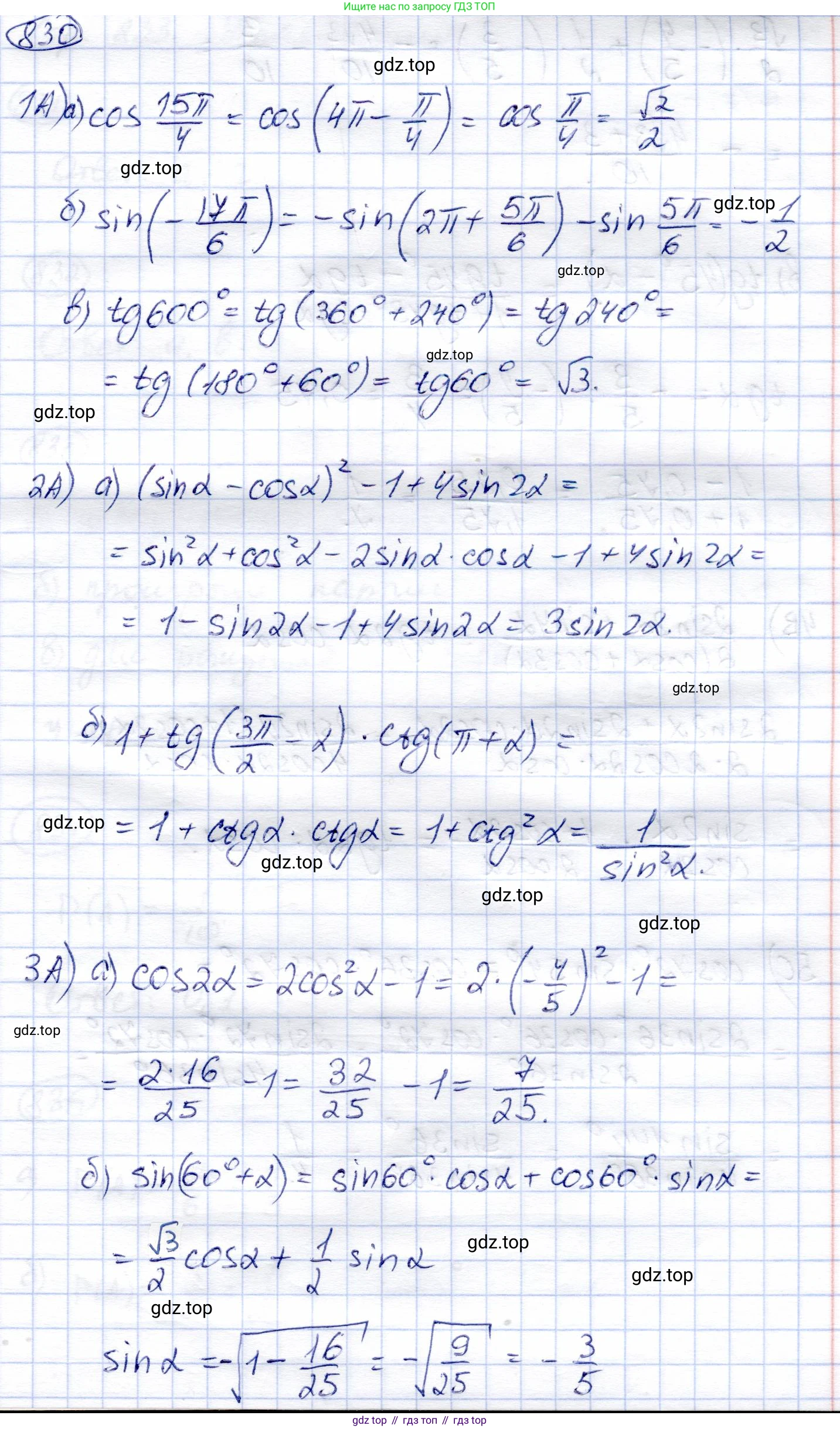
1A) Вычислите: а) $\cos \frac{15\pi}{4}$; б) $\sin \left(-\frac{17\pi}{6}\right)$; в) $\operatorname{tg} 600^\circ$.
2A) Упростите выражение:
а) $(\sin \alpha - \cos \alpha)^2 - 1 + 4\sin 2\alpha$; б) $1 + \operatorname{tg}\left(\frac{3\pi}{2} - \alpha\right) \cdot \operatorname{ctg}(\pi + \alpha)$.
3A) Дано: $\cos \alpha = -\frac{4}{5}$, $\pi < \alpha < \frac{3\pi}{2}$.
Найдите: а) $\cos 2\alpha$; б) $\sin(60^\circ + \alpha)$; в) $\operatorname{tg}(45^\circ - \alpha)$.
4B) Докажите тождество $\frac{2 \sin 2\alpha + \sin 4\alpha}{2(\cos \alpha + \cos 3\alpha)} = \operatorname{tg} 2\alpha \cdot \cos \alpha$.
5C) Найдите значение выражения $\cos 72^\circ \cdot \sin 54^\circ$.
Решение. №830 (с. 227)


Решение 2 (rus). №830 (с. 227)
1А) Вычислите:
а) Для вычисления $ \cos\frac{15\pi}{4} $ воспользуемся периодичностью косинуса ($ 2\pi $) и его четностью.
Представим угол в виде: $ \frac{15\pi}{4} = \frac{16\pi - \pi}{4} = 4\pi - \frac{\pi}{4} $.
Используя периодичность, отбросим $ 4\pi $ (два полных оборота):
$ \cos\frac{15\pi}{4} = \cos(4\pi - \frac{\pi}{4}) = \cos(-\frac{\pi}{4}) $.
Так как косинус - четная функция ($ \cos(-x) = \cos(x) $), то $ \cos(-\frac{\pi}{4}) = \cos(\frac{\pi}{4}) = \frac{\sqrt{2}}{2} $.
Ответ: $ \frac{\sqrt{2}}{2} $.
б) Для вычисления $ \sin(-\frac{17\pi}{6}) $ воспользуемся нечетностью синуса и его периодичностью.
Синус - нечетная функция ($ \sin(-x) = -\sin(x) $), поэтому $ \sin(-\frac{17\pi}{6}) = -\sin(\frac{17\pi}{6}) $.
Выделим целую часть оборотов: $ \frac{17\pi}{6} = \frac{12\pi + 5\pi}{6} = 2\pi + \frac{5\pi}{6} $.
$ -\sin(\frac{17\pi}{6}) = -\sin(2\pi + \frac{5\pi}{6}) = -\sin(\frac{5\pi}{6}) $.
Используем формулу приведения: $ \sin(\frac{5\pi}{6}) = \sin(\pi - \frac{\pi}{6}) = \sin(\frac{\pi}{6}) = \frac{1}{2} $.
Следовательно, искомое значение равно $ -\frac{1}{2} $.
Ответ: $ -\frac{1}{2} $.
в) Для вычисления $ \text{tg } 600^\circ $ воспользуемся периодичностью тангенса ($ 180^\circ $).
Представим угол в виде: $ 600^\circ = 3 \cdot 180^\circ + 60^\circ $.
$ \text{tg } 600^\circ = \text{tg}(3 \cdot 180^\circ + 60^\circ) = \text{tg } 60^\circ = \sqrt{3} $.
Ответ: $ \sqrt{3} $.
2А) Упростите выражение:
а) Раскроем скобки и используем тригонометрические тождества:
$ (\sin\alpha - \cos\alpha)^2 - 1 + 4\sin2\alpha = (\sin^2\alpha - 2\sin\alpha\cos\alpha + \cos^2\alpha) - 1 + 4\sin2\alpha $.
Используя основное тригонометрическое тождество $ \sin^2\alpha + \cos^2\alpha = 1 $ и формулу двойного угла $ \sin2\alpha = 2\sin\alpha\cos\alpha $, получаем:
$ (1 - \sin2\alpha) - 1 + 4\sin2\alpha = 1 - \sin2\alpha - 1 + 4\sin2\alpha = 3\sin2\alpha $.
Ответ: $ 3\sin2\alpha $.
б) Используем формулы приведения:
$ \text{tg}(\frac{3\pi}{2} - \alpha) = \text{ctg}\alpha $ (угол в III четверти, тангенс положителен, функция меняется на кофункцию).
$ \text{ctg}(\pi + \alpha) = \text{ctg}\alpha $ (угол в III четверти, котангенс положителен, функция не меняется).
Подставляем в исходное выражение:
$ 1 + \text{tg}(\frac{3\pi}{2} - \alpha) \cdot \text{ctg}(\pi + \alpha) = 1 + \text{ctg}\alpha \cdot \text{ctg}\alpha = 1 + \text{ctg}^2\alpha $.
По основному тригонометрическому тождеству $ 1 + \text{ctg}^2\alpha = \frac{1}{\sin^2\alpha} $.
Ответ: $ \frac{1}{\sin^2\alpha} $.
3А) Дано: $ \cos\alpha = -\frac{4}{5} $, $ \pi < \alpha < \frac{3\pi}{2} $.
Сначала найдем $ \sin\alpha $. Из основного тригонометрического тождества $ \sin^2\alpha + \cos^2\alpha = 1 $:
$ \sin^2\alpha = 1 - \cos^2\alpha = 1 - (-\frac{4}{5})^2 = 1 - \frac{16}{25} = \frac{9}{25} $.
Так как угол $ \alpha $ находится в III четверти ($ \pi < \alpha < \frac{3\pi}{2} $), синус отрицателен: $ \sin\alpha = -\sqrt{\frac{9}{25}} = -\frac{3}{5} $.
а) Найдем $ \cos2\alpha $ по формуле двойного угла:
$ \cos2\alpha = 2\cos^2\alpha - 1 = 2(-\frac{4}{5})^2 - 1 = 2(\frac{16}{25}) - 1 = \frac{32}{25} - \frac{25}{25} = \frac{7}{25} $.
Ответ: $ \frac{7}{25} $.
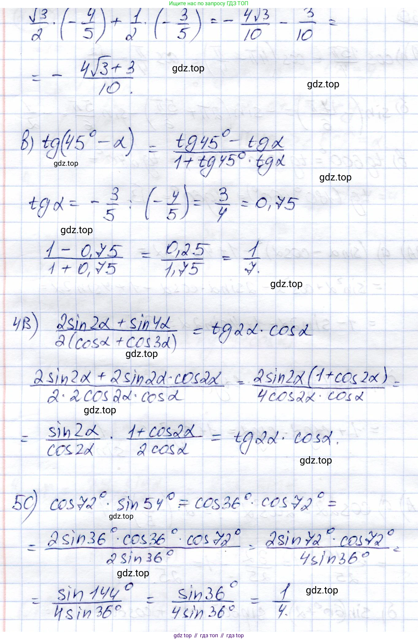
б) Найдем $ \sin(60^\circ + \alpha) $ по формуле синуса суммы:
$ \sin(60^\circ + \alpha) = \sin60^\circ\cos\alpha + \cos60^\circ\sin\alpha $.
Подставляем известные значения $ \sin60^\circ = \frac{\sqrt{3}}{2} $, $ \cos60^\circ = \frac{1}{2} $, $ \cos\alpha = -\frac{4}{5} $ и $ \sin\alpha = -\frac{3}{5} $:
$ \sin(60^\circ + \alpha) = \frac{\sqrt{3}}{2} \cdot (-\frac{4}{5}) + \frac{1}{2} \cdot (-\frac{3}{5}) = -\frac{4\sqrt{3}}{10} - \frac{3}{10} = -\frac{3+4\sqrt{3}}{10} $.
Ответ: $ -\frac{3+4\sqrt{3}}{10} $.
в) Найдем $ \text{tg}(45^\circ - \alpha) $ по формуле тангенса разности. Сначала найдем $ \text{tg}\alpha $:
$ \text{tg}\alpha = \frac{\sin\alpha}{\cos\alpha} = \frac{-3/5}{-4/5} = \frac{3}{4} $.
Теперь используем формулу $ \text{tg}(45^\circ - \alpha) = \frac{\text{tg}45^\circ - \text{tg}\alpha}{1 + \text{tg}45^\circ\text{tg}\alpha} $.
Подставляем $ \text{tg}45^\circ = 1 $ и $ \text{tg}\alpha = \frac{3}{4} $:
$ \text{tg}(45^\circ - \alpha) = \frac{1 - \frac{3}{4}}{1 + 1 \cdot \frac{3}{4}} = \frac{\frac{4-3}{4}}{\frac{4+3}{4}} = \frac{1/4}{7/4} = \frac{1}{7} $.
Ответ: $ \frac{1}{7} $.
4B) Докажите тождество
Требуется доказать тождество $ \frac{2 \sin 2\alpha + \sin 4\alpha}{2(\cos \alpha + \cos 3\alpha)} = \text{tg } 2\alpha \cdot \cos \alpha $.
Преобразуем левую часть (ЛЧ) тождества.
Преобразуем числитель, используя формулу синуса двойного угла $ \sin 4\alpha = 2 \sin 2\alpha \cos 2\alpha $:
$ 2 \sin 2\alpha + \sin 4\alpha = 2 \sin 2\alpha + 2 \sin 2\alpha \cos 2\alpha = 2 \sin 2\alpha (1 + \cos 2\alpha) $.
Преобразуем знаменатель, используя формулу суммы косинусов $ \cos x + \cos y = 2\cos\frac{x+y}{2}\cos\frac{x-y}{2} $:
$ 2(\cos \alpha + \cos 3\alpha) = 2 \cdot (2\cos\frac{\alpha+3\alpha}{2}\cos\frac{3\alpha-\alpha}{2}) = 4\cos 2\alpha \cos\alpha $.
Запишем преобразованную дробь:
ЛЧ $ = \frac{2 \sin 2\alpha (1 + \cos 2\alpha)}{4\cos 2\alpha \cos\alpha} $.
Используем формулу косинуса двойного угла для понижения степени $ 1 + \cos 2\alpha = 2\cos^2\alpha $:
ЛЧ $ = \frac{2 \sin 2\alpha \cdot (2\cos^2\alpha)}{4\cos 2\alpha \cos\alpha} = \frac{4 \sin 2\alpha \cos^2\alpha}{4\cos 2\alpha \cos\alpha} $.
Сокращаем общие множители $ 4 $ и $ \cos\alpha $:
ЛЧ $ = \frac{\sin 2\alpha \cos\alpha}{\cos 2\alpha} = \frac{\sin 2\alpha}{\cos 2\alpha} \cdot \cos\alpha = \text{tg } 2\alpha \cdot \cos\alpha $.
Левая часть равна правой, тождество доказано.
5С) Найдите значение выражения
Требуется найти значение $ \cos 72^\circ \cdot \sin 54^\circ $.
Используем формулу приведения: $ \sin 54^\circ = \sin(90^\circ - 36^\circ) = \cos 36^\circ $.
Выражение принимает вид: $ \cos 72^\circ \cdot \cos 36^\circ $.
Домножим и разделим выражение на $ 2\sin 36^\circ $ (это возможно, так как $ \sin 36^\circ \neq 0 $):
$ \frac{2\sin 36^\circ \cos 36^\circ \cdot \cos 72^\circ}{2\sin 36^\circ} $.
Используем формулу синуса двойного угла $ \sin 2x = 2\sin x \cos x $ для числителя:
$ \frac{\sin(2 \cdot 36^\circ) \cdot \cos 72^\circ}{2\sin 36^\circ} = \frac{\sin 72^\circ \cdot \cos 72^\circ}{2\sin 36^\circ} $.
Снова применяем ту же формулу для числителя:
$ \frac{\frac{1}{2} \cdot (2\sin 72^\circ \cos 72^\circ)}{2\sin 36^\circ} = \frac{\frac{1}{2} \sin(2 \cdot 72^\circ)}{2\sin 36^\circ} = \frac{\frac{1}{2} \sin 144^\circ}{2\sin 36^\circ} $.
Используем формулу приведения: $ \sin 144^\circ = \sin(180^\circ - 36^\circ) = \sin 36^\circ $.
Подставляем и сокращаем:
$ \frac{\frac{1}{2} \sin 36^\circ}{2\sin 36^\circ} = \frac{1/2}{2} = \frac{1}{4} $.
Ответ: $ \frac{1}{4} $.
Другие задания:
Помогло решение? Оставьте отзыв в комментариях ниже.
Присоединяйтесь к Телеграм-группе @top_gdz
ПрисоединитьсяМы подготовили для вас ответ c подробным объяснением домашего задания по алгебре за 9 класс, для упражнения номер 830 расположенного на странице 227 к учебнику 2019 года издания для учащихся школ и гимназий.
Теперь на нашем сайте ГДЗ.ТОП вы всегда легко и бесплатно найдёте условие с правильным ответом на вопрос «Как решить ДЗ» и «Как сделать» задание по алгебре к упражнению №830 (с. 227), авторов: Солтан (Генадий Николаевич), Солтан (Алла Евгеньевна), Жумадилова (Аманбала Жумадиловна), учебного пособия издательства Кокшетау.