Номер 825, страница 226 - гдз по алгебре 9 класс учебник Солтан, Солтан

Авторы: Солтан Г. Н., Солтан А. Е., Жумадилова А. Ж.
Тип: Учебник
Издательство: Кокшетау
Год издания: 2019 - 2025
Цвет обложки:
ISBN: 978-601-317-424-2
Рекомендовано Министерством образования и науки Республики Казахстан
Популярные ГДЗ в 9 классе
30. Упражнения на повторение раздела «Тригонометрия». IV. Тригонометрия - номер 825, страница 226.
№825 (с. 226)
Условие. №825 (с. 226)
скриншот условия

825. Докажите тождество:
a) $cos^2\left(\frac{5\pi}{8} - \frac{\alpha}{2}\right) - sin^2\left(\frac{3\pi}{8} - \frac{\alpha}{2}\right) = -\frac{\sqrt{2}}{2} cos \alpha$;
б) $sin^2\left(\frac{7\pi}{12} + 3\alpha\right) - cos^2\left(\frac{5\pi}{12} + 3\alpha\right) = \frac{\sqrt{3}}{2} cos 6\alpha$;
в) $tg 20^\circ + tg 40^\circ + tg 50^\circ + tg 70^\circ = \frac{4\sqrt{3}}{1 + 2 sin 10^\circ}$.
Решение. №825 (с. 226)


Решение 2 (rus). №825 (с. 226)
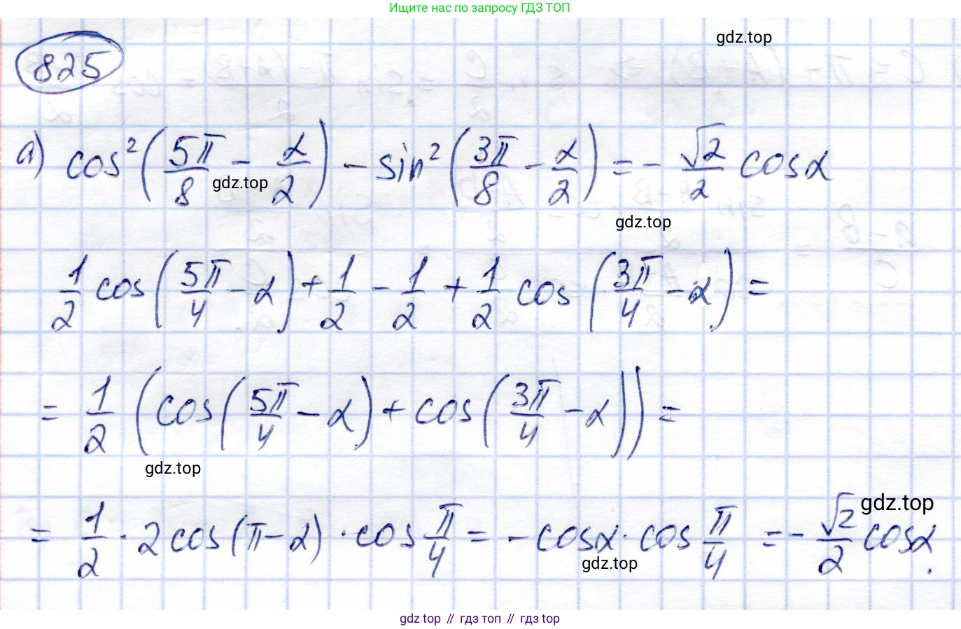
а) Докажем тождество $ \cos^2\left(\frac{5\pi}{8} - \frac{\alpha}{2}\right) - \sin^2\left(\frac{3\pi}{8} - \frac{\alpha}{2}\right) = -\frac{\sqrt{2}}{2}\cos \alpha $.
Преобразуем левую часть равенства, используя формулы понижения степени $ \cos^2 x = \frac{1+\cos(2x)}{2} $ и $ \sin^2 x = \frac{1-\cos(2x)}{2} $.
$ \cos^2\left(\frac{5\pi}{8} - \frac{\alpha}{2}\right) - \sin^2\left(\frac{3\pi}{8} - \frac{\alpha}{2}\right) = \frac{1 + \cos\left(2\left(\frac{5\pi}{8} - \frac{\alpha}{2}\right)\right)}{2} - \frac{1 - \cos\left(2\left(\frac{3\pi}{8} - \frac{\alpha}{2}\right)\right)}{2} = $
$ = \frac{1}{2} \left( 1 + \cos\left(\frac{5\pi}{4} - \alpha\right) - 1 + \cos\left(\frac{3\pi}{4} - \alpha\right) \right) = \frac{1}{2} \left( \cos\left(\frac{5\pi}{4} - \alpha\right) + \cos\left(\frac{3\pi}{4} - \alpha\right) \right) $.
Применим формулу суммы косинусов $ \cos A + \cos B = 2\cos\frac{A+B}{2}\cos\frac{A-B}{2} $.
$ A = \frac{5\pi}{4} - \alpha $, $ B = \frac{3\pi}{4} - \alpha $.
$ \frac{A+B}{2} = \frac{\frac{5\pi}{4} - \alpha + \frac{3\pi}{4} - \alpha}{2} = \frac{\frac{8\pi}{4} - 2\alpha}{2} = \frac{2\pi - 2\alpha}{2} = \pi - \alpha $.
$ \frac{A-B}{2} = \frac{\frac{5\pi}{4} - \alpha - \left(\frac{3\pi}{4} - \alpha\right)}{2} = \frac{\frac{2\pi}{4}}{2} = \frac{\pi}{4} $.
Подставим полученные значения обратно в выражение:
$ \frac{1}{2} \left( 2\cos(\pi - \alpha)\cos\left(\frac{\pi}{4}\right) \right) = \cos(\pi - \alpha)\cos\left(\frac{\pi}{4}\right) $.
Используя формулы приведения $ \cos(\pi - \alpha) = -\cos \alpha $ и значение $ \cos\left(\frac{\pi}{4}\right) = \frac{\sqrt{2}}{2} $, получаем:
$ -\cos \alpha \cdot \frac{\sqrt{2}}{2} = -\frac{\sqrt{2}}{2}\cos \alpha $.
Левая часть равна правой, тождество доказано.
Ответ: Тождество доказано.
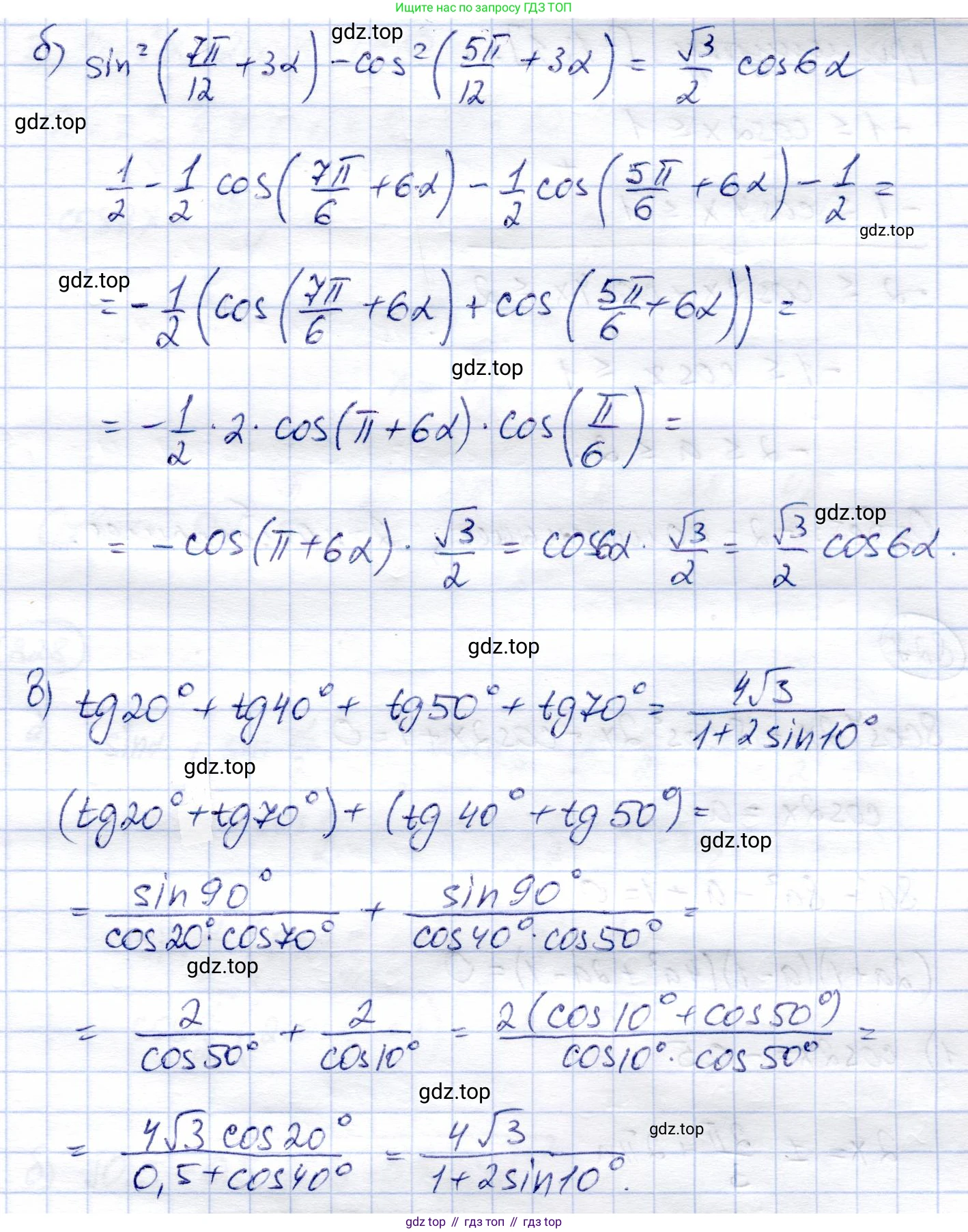
б) Докажем тождество $ \sin^2\left(\frac{7\pi}{12} + 3\alpha\right) - \cos^2\left(\frac{5\pi}{12} + 3\alpha\right) = \frac{\sqrt{3}}{2}\cos 6\alpha $.
Преобразуем левую часть, используя формулы понижения степени $ \sin^2 x = \frac{1-\cos(2x)}{2} $ и $ \cos^2 x = \frac{1+\cos(2x)}{2} $.
$ \sin^2\left(\frac{7\pi}{12} + 3\alpha\right) - \cos^2\left(\frac{5\pi}{12} + 3\alpha\right) = \frac{1 - \cos\left(2\left(\frac{7\pi}{12} + 3\alpha\right)\right)}{2} - \frac{1 + \cos\left(2\left(\frac{5\pi}{12} + 3\alpha\right)\right)}{2} = $
$ = \frac{1}{2} \left( 1 - \cos\left(\frac{7\pi}{6} + 6\alpha\right) - 1 - \cos\left(\frac{5\pi}{6} + 6\alpha\right) \right) = -\frac{1}{2} \left( \cos\left(\frac{7\pi}{6} + 6\alpha\right) + \cos\left(\frac{5\pi}{6} + 6\alpha\right) \right) $.
Применим формулу суммы косинусов $ \cos A + \cos B = 2\cos\frac{A+B}{2}\cos\frac{A-B}{2} $.
$ A = \frac{7\pi}{6} + 6\alpha $, $ B = \frac{5\pi}{6} + 6\alpha $.
$ \frac{A+B}{2} = \frac{\frac{7\pi}{6} + 6\alpha + \frac{5\pi}{6} + 6\alpha}{2} = \frac{\frac{12\pi}{6} + 12\alpha}{2} = \frac{2\pi + 12\alpha}{2} = \pi + 6\alpha $.
$ \frac{A-B}{2} = \frac{\frac{7\pi}{6} + 6\alpha - \left(\frac{5\pi}{6} + 6\alpha\right)}{2} = \frac{\frac{2\pi}{6}}{2} = \frac{\pi}{6} $.
Подставим полученные значения обратно в выражение:
$ -\frac{1}{2} \left( 2\cos(\pi + 6\alpha)\cos\left(\frac{\pi}{6}\right) \right) = -\cos(\pi + 6\alpha)\cos\left(\frac{\pi}{6}\right) $.
Используя формулы приведения $ \cos(\pi + x) = -\cos x $ и значение $ \cos\left(\frac{\pi}{6}\right) = \frac{\sqrt{3}}{2} $, получаем:
$ -(-\cos 6\alpha) \cdot \frac{\sqrt{3}}{2} = \frac{\sqrt{3}}{2}\cos 6\alpha $.
Левая часть равна правой, тождество доказано.
Ответ: Тождество доказано.
в) Докажем тождество $ \operatorname{tg} 20^\circ + \operatorname{tg} 40^\circ + \operatorname{tg} 50^\circ + \operatorname{tg} 70^\circ = \frac{4\sqrt{3}}{1+2\sin 10^\circ} $.
Преобразуем левую часть тождества. Используем формулу приведения $ \operatorname{tg}(90^\circ - x) = \operatorname{ctg} x $.
$ \operatorname{tg} 70^\circ = \operatorname{tg}(90^\circ - 20^\circ) = \operatorname{ctg} 20^\circ $.
$ \operatorname{tg} 50^\circ = \operatorname{tg}(90^\circ - 40^\circ) = \operatorname{ctg} 40^\circ $.
Сгруппируем слагаемые:
$ (\operatorname{tg} 20^\circ + \operatorname{ctg} 20^\circ) + (\operatorname{tg} 40^\circ + \operatorname{ctg} 40^\circ) $.
Используем тождество $ \operatorname{tg} x + \operatorname{ctg} x = \frac{\sin x}{\cos x} + \frac{\cos x}{\sin x} = \frac{\sin^2 x + \cos^2 x}{\sin x \cos x} = \frac{1}{\frac{1}{2}\sin(2x)} = \frac{2}{\sin(2x)} $.
Тогда выражение примет вид:
$ \frac{2}{\sin(2 \cdot 20^\circ)} + \frac{2}{\sin(2 \cdot 40^\circ)} = \frac{2}{\sin 40^\circ} + \frac{2}{\sin 80^\circ} = 2\left(\frac{\sin 80^\circ + \sin 40^\circ}{\sin 40^\circ \sin 80^\circ}\right) $.
Преобразуем числитель по формуле суммы синусов $ \sin A + \sin B = 2\sin\frac{A+B}{2}\cos\frac{A-B}{2} $:
$ \sin 80^\circ + \sin 40^\circ = 2\sin\left(\frac{80^\circ+40^\circ}{2}\right)\cos\left(\frac{80^\circ-40^\circ}{2}\right) = 2\sin 60^\circ \cos 20^\circ = 2 \cdot \frac{\sqrt{3}}{2} \cos 20^\circ = \sqrt{3}\cos 20^\circ $.
Преобразуем знаменатель, используя формулу синуса двойного угла и формулу приведения:
$ \sin 40^\circ \sin 80^\circ = (2\sin 20^\circ \cos 20^\circ) \sin(90^\circ - 10^\circ) = 2\sin 20^\circ \cos 20^\circ \cos 10^\circ $.
Подставим преобразованные числитель и знаменатель в выражение для левой части:
$ 2 \cdot \frac{\sqrt{3}\cos 20^\circ}{2\sin 20^\circ \cos 20^\circ \cos 10^\circ} = \frac{\sqrt{3}}{\sin 20^\circ \cos 10^\circ} $.
Теперь преобразуем правую часть тождества. Используем тот факт, что $ 1 = 2 \cdot \frac{1}{2} = 2\sin 30^\circ $:
$ \frac{4\sqrt{3}}{1+2\sin 10^\circ} = \frac{4\sqrt{3}}{2\sin 30^\circ + 2\sin 10^\circ} = \frac{2\sqrt{3}}{\sin 30^\circ + \sin 10^\circ} $.
Применим к знаменателю формулу суммы синусов:
$ \sin 30^\circ + \sin 10^\circ = 2\sin\left(\frac{30^\circ+10^\circ}{2}\right)\cos\left(\frac{30^\circ-10^\circ}{2}\right) = 2\sin 20^\circ \cos 10^\circ $.
Подставим в выражение для правой части:
$ \frac{2\sqrt{3}}{2\sin 20^\circ \cos 10^\circ} = \frac{\sqrt{3}}{\sin 20^\circ \cos 10^\circ} $.
Мы получили, что левая и правая части равны одному и тому же выражению, следовательно, тождество доказано.
Ответ: Тождество доказано.
Другие задания:
Помогло решение? Оставьте отзыв в комментариях ниже.
Присоединяйтесь к Телеграм-группе @top_gdz
ПрисоединитьсяМы подготовили для вас ответ c подробным объяснением домашего задания по алгебре за 9 класс, для упражнения номер 825 расположенного на странице 226 к учебнику 2019 года издания для учащихся школ и гимназий.
Теперь на нашем сайте ГДЗ.ТОП вы всегда легко и бесплатно найдёте условие с правильным ответом на вопрос «Как решить ДЗ» и «Как сделать» задание по алгебре к упражнению №825 (с. 226), авторов: Солтан (Генадий Николаевич), Солтан (Алла Евгеньевна), Жумадилова (Аманбала Жумадиловна), учебного пособия издательства Кокшетау.