Номер 821, страница 226 - гдз по алгебре 9 класс учебник Солтан, Солтан

Авторы: Солтан Г. Н., Солтан А. Е., Жумадилова А. Ж.
Тип: Учебник
Издательство: Кокшетау
Год издания: 2019 - 2025
Цвет обложки:
ISBN: 978-601-317-424-2
Рекомендовано Министерством образования и науки Республики Казахстан
Популярные ГДЗ в 9 классе
30. Упражнения на повторение раздела «Тригонометрия». IV. Тригонометрия - номер 821, страница 226.
№821 (с. 226)
Условие. №821 (с. 226)
скриншот условия

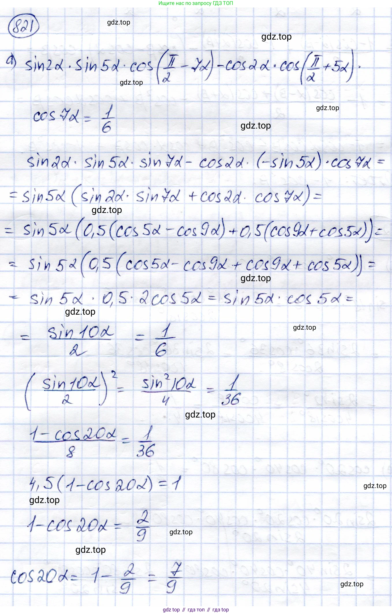
821. Найдите:
a) cos 20$\alpha$, если $ \sin 2\alpha \cdot \sin 5\alpha \cdot \cos\left(\frac{\pi}{2}-7\alpha\right)-\cos 2\alpha \cdot \cos\left(\frac{\pi}{2}+5\alpha\right) \times \cos 7\alpha = \frac{1}{6}; $
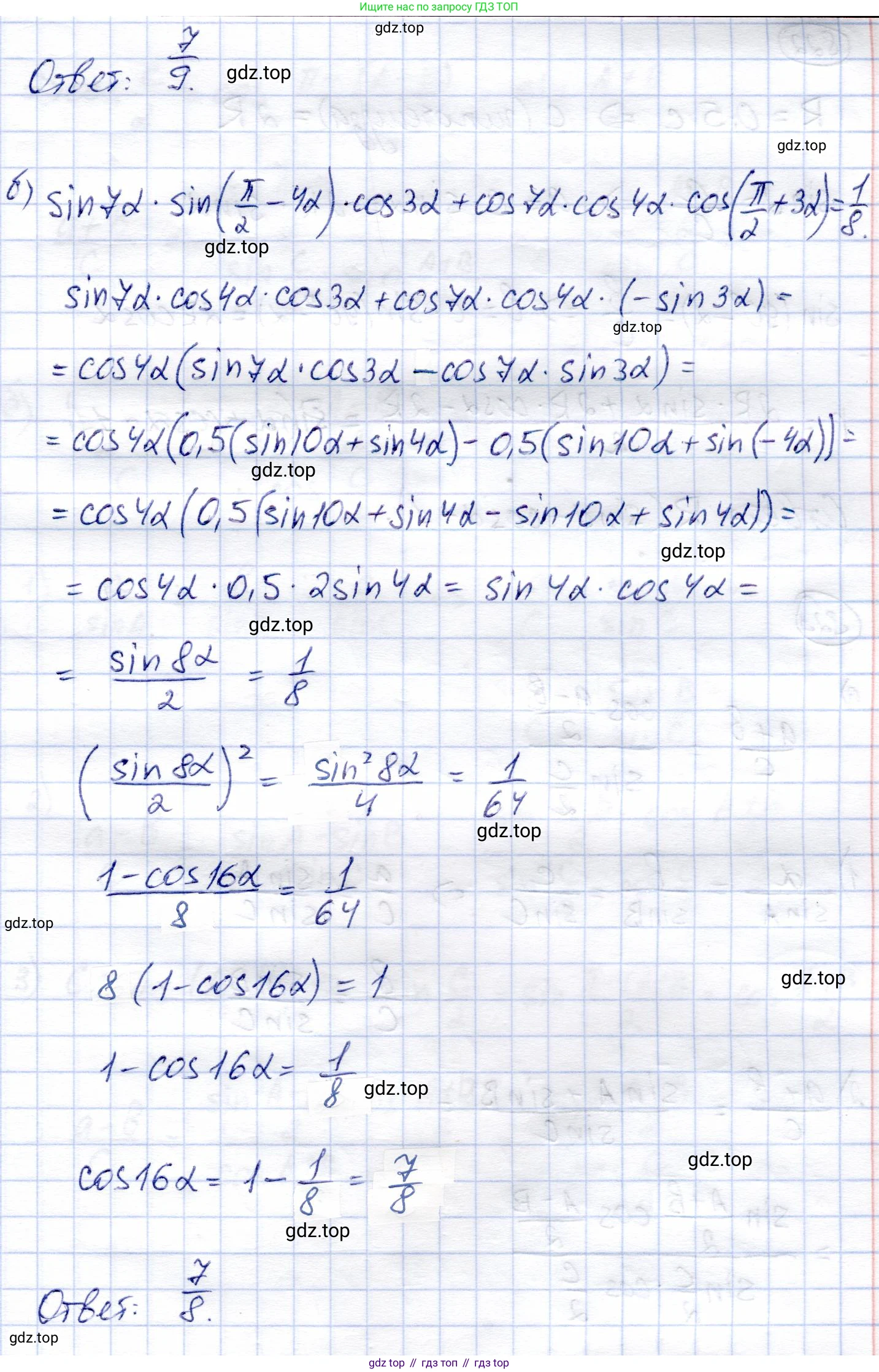
б) cos 16$\alpha$, если $ \sin 7\alpha \cdot \sin\left(\frac{\pi}{2}-4\alpha\right) \cdot \cos 3\alpha + \cos 7\alpha \cdot \cos 4\alpha \times \cos\left(\frac{\pi}{2}+3\alpha\right) = \frac{1}{8}. $
Решение. №821 (с. 226)


Решение 2 (rus). №821 (с. 226)
а) Требуется найти $ \cos(20\alpha) $, если известно, что $ \sin(2\alpha) \cdot \sin(5\alpha) \cdot \cos(\frac{\pi}{2} - 7\alpha) - \cos(2\alpha) \cdot \cos(\frac{\pi}{2} + 5\alpha) \cdot \cos(7\alpha) = \frac{1}{6} $.
Сначала упростим левую часть равенства, используя формулы приведения:
$ \cos(\frac{\pi}{2} - 7\alpha) = \sin(7\alpha) $
$ \cos(\frac{\pi}{2} + 5\alpha) = -\sin(5\alpha) $
Подставим эти выражения в исходное уравнение:
$ \sin(2\alpha) \cdot \sin(5\alpha) \cdot \sin(7\alpha) - \cos(2\alpha) \cdot (-\sin(5\alpha)) \cdot \cos(7\alpha) = \frac{1}{6} $
$ \sin(2\alpha)\sin(5\alpha)\sin(7\alpha) + \cos(2\alpha)\cos(7\alpha)\sin(5\alpha) = \frac{1}{6} $
Вынесем общий множитель $ \sin(5\alpha) $ за скобки:
$ \sin(5\alpha)(\cos(2\alpha)\cos(7\alpha) + \sin(2\alpha)\sin(7\alpha)) = \frac{1}{6} $
Выражение в скобках является формулой косинуса разности $ \cos(x-y) = \cos x \cos y + \sin x \sin y $. Применим ее:
$ \sin(5\alpha)\cos(7\alpha - 2\alpha) = \frac{1}{6} $
$ \sin(5\alpha)\cos(5\alpha) = \frac{1}{6} $
Используем формулу синуса двойного угла $ \sin(2x) = 2\sin x \cos x $, откуда $ \sin x \cos x = \frac{1}{2}\sin(2x) $:
$ \frac{1}{2}\sin(2 \cdot 5\alpha) = \frac{1}{6} $
$ \frac{1}{2}\sin(10\alpha) = \frac{1}{6} $
$ \sin(10\alpha) = \frac{2}{6} = \frac{1}{3} $
Теперь найдем $ \cos(20\alpha) $, используя формулу косинуса двойного угла $ \cos(2x) = 1 - 2\sin^2 x $:
$ \cos(20\alpha) = \cos(2 \cdot 10\alpha) = 1 - 2\sin^2(10\alpha) = 1 - 2 \cdot (\frac{1}{3})^2 = 1 - 2 \cdot \frac{1}{9} = 1 - \frac{2}{9} = \frac{7}{9} $.
Ответ: $ \frac{7}{9} $.
б) Требуется найти $ \cos(16\alpha) $, если известно, что $ \sin(7\alpha) \cdot \sin(\frac{\pi}{2} - 4\alpha) \cdot \cos(3\alpha) + \cos(7\alpha) \cdot \cos(4\alpha) \cdot \cos(\frac{\pi}{2} + 3\alpha) = \frac{1}{8} $.
Упростим левую часть равенства с помощью формул приведения:
$ \sin(\frac{\pi}{2} - 4\alpha) = \cos(4\alpha) $
$ \cos(\frac{\pi}{2} + 3\alpha) = -\sin(3\alpha) $
Подставим полученные выражения в уравнение:
$ \sin(7\alpha) \cdot \cos(4\alpha) \cdot \cos(3\alpha) + \cos(7\alpha) \cdot \cos(4\alpha) \cdot (-\sin(3\alpha)) = \frac{1}{8} $
$ \sin(7\alpha)\cos(4\alpha)\cos(3\alpha) - \cos(7\alpha)\cos(4\alpha)\sin(3\alpha) = \frac{1}{8} $
Вынесем общий множитель $ \cos(4\alpha) $ за скобки:
$ \cos(4\alpha)(\sin(7\alpha)\cos(3\alpha) - \cos(7\alpha)\sin(3\alpha)) = \frac{1}{8} $
Выражение в скобках является формулой синуса разности $ \sin(x-y) = \sin x \cos y - \cos x \sin y $. Применим ее:
$ \cos(4\alpha)\sin(7\alpha - 3\alpha) = \frac{1}{8} $
$ \cos(4\alpha)\sin(4\alpha) = \frac{1}{8} $
Используем формулу синуса двойного угла $ \sin x \cos x = \frac{1}{2}\sin(2x) $:
$ \frac{1}{2}\sin(2 \cdot 4\alpha) = \frac{1}{8} $
$ \frac{1}{2}\sin(8\alpha) = \frac{1}{8} $
$ \sin(8\alpha) = \frac{2}{8} = \frac{1}{4} $
Для нахождения $ \cos(16\alpha) $ применим формулу косинуса двойного угла $ \cos(2x) = 1 - 2\sin^2 x $:
$ \cos(16\alpha) = \cos(2 \cdot 8\alpha) = 1 - 2\sin^2(8\alpha) = 1 - 2 \cdot (\frac{1}{4})^2 = 1 - 2 \cdot \frac{1}{16} = 1 - \frac{2}{16} = 1 - \frac{1}{8} = \frac{7}{8} $.
Ответ: $ \frac{7}{8} $.
Другие задания:
Помогло решение? Оставьте отзыв в комментариях ниже.
Присоединяйтесь к Телеграм-группе @top_gdz
ПрисоединитьсяМы подготовили для вас ответ c подробным объяснением домашего задания по алгебре за 9 класс, для упражнения номер 821 расположенного на странице 226 к учебнику 2019 года издания для учащихся школ и гимназий.
Теперь на нашем сайте ГДЗ.ТОП вы всегда легко и бесплатно найдёте условие с правильным ответом на вопрос «Как решить ДЗ» и «Как сделать» задание по алгебре к упражнению №821 (с. 226), авторов: Солтан (Генадий Николаевич), Солтан (Алла Евгеньевна), Жумадилова (Аманбала Жумадиловна), учебного пособия издательства Кокшетау.