Номер 814, страница 225 - гдз по алгебре 9 класс учебник Солтан, Солтан

Авторы: Солтан Г. Н., Солтан А. Е., Жумадилова А. Ж.
Тип: Учебник
Издательство: Кокшетау
Год издания: 2019 - 2025
Цвет обложки:
ISBN: 978-601-317-424-2
Рекомендовано Министерством образования и науки Республики Казахстан
Популярные ГДЗ в 9 классе
30. Упражнения на повторение раздела «Тригонометрия». IV. Тригонометрия - номер 814, страница 225.
№814 (с. 225)
Условие. №814 (с. 225)
скриншот условия

814. Найдите значение выражения $ \cos 7\alpha \cos 4\alpha - \cos 8\alpha \cos 3\alpha $, если
$ \cos \alpha = \frac{1}{\sqrt{3}} $.
Решение. №814 (с. 225)


Решение 2 (rus). №814 (с. 225)
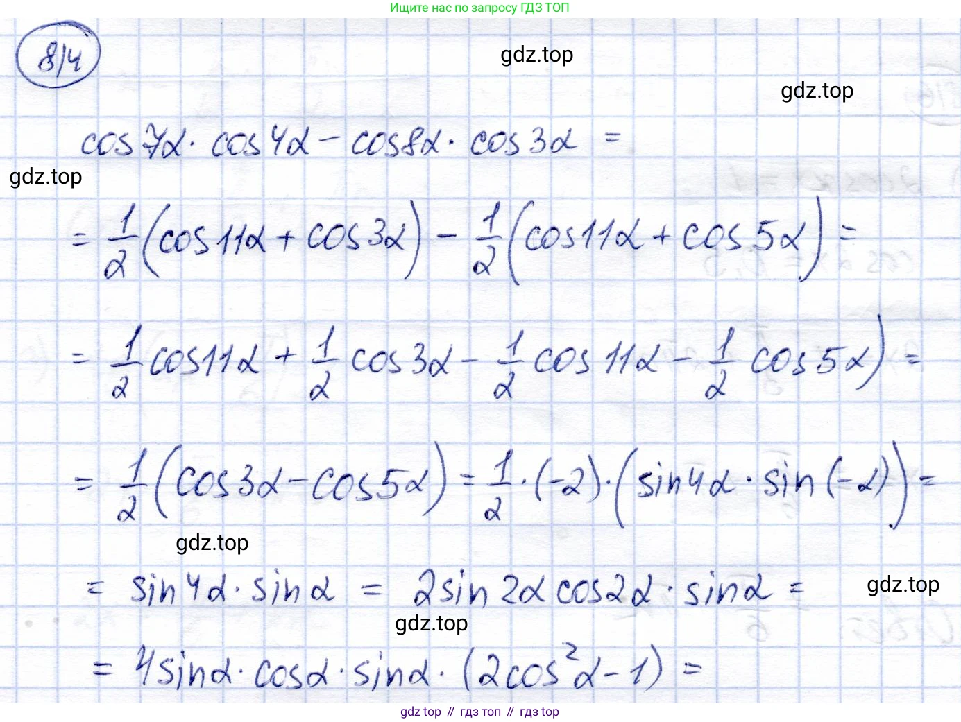
Для решения данной задачи мы сначала упростим исходное выражение, используя тригонометрические формулы. Исходное выражение: $\cos 7a \cos 4a - \cos 8a \cos 3a$.
Воспользуемся формулой преобразования произведения косинусов в сумму: $\cos x \cos y = \frac{1}{2}(\cos(x-y) + \cos(x+y))$.
Применим эту формулу к каждому члену выражения:
Для первого члена $\cos 7a \cos 4a$ имеем:$x = 7a$, $y = 4a$.$\cos 7a \cos 4a = \frac{1}{2}(\cos(7a-4a) + \cos(7a+4a)) = \frac{1}{2}(\cos 3a + \cos 11a)$.
Для второго члена $\cos 8a \cos 3a$ имеем:$x = 8a$, $y = 3a$.$\cos 8a \cos 3a = \frac{1}{2}(\cos(8a-3a) + \cos(8a+3a)) = \frac{1}{2}(\cos 5a + \cos 11a)$.
Теперь подставим полученные выражения в исходное:
$\cos 7a \cos 4a - \cos 8a \cos 3a = \frac{1}{2}(\cos 3a + \cos 11a) - \frac{1}{2}(\cos 5a + \cos 11a)$$= \frac{1}{2}\cos 3a + \frac{1}{2}\cos 11a - \frac{1}{2}\cos 5a - \frac{1}{2}\cos 11a = \frac{1}{2}(\cos 3a - \cos 5a)$.
Далее, преобразуем разность косинусов в произведение с помощью формулы: $\cos x - \cos y = -2 \sin\frac{x+y}{2} \sin\frac{x-y}{2}$.
$\frac{1}{2}(\cos 3a - \cos 5a) = \frac{1}{2} \left(-2 \sin\frac{3a+5a}{2} \sin\frac{3a-5a}{2}\right) = -\sin(4a) \sin(-a)$.
Так как $\sin(-a) = -\sin a$, получаем:$-\sin(4a) (-\sin a) = \sin(4a) \sin a$.
Теперь необходимо найти значение выражения $\sin(4a) \sin a$, зная, что $\cos a = \frac{1}{\sqrt{3}}$.
Выразим $\sin(4a)$ через функции от угла $a$. Используем формулы двойного угла:$\sin(4a) = 2\sin(2a)\cos(2a)$$\sin(2a) = 2\sin a \cos a$$\cos(2a) = 2\cos^2 a - 1$Подставим это в наше выражение:$\sin(4a) \sin a = (2\sin(2a)\cos(2a))\sin a = (2(2\sin a \cos a)(2\cos^2 a - 1))\sin a = 4\sin^2 a \cos a (2\cos^2 a - 1)$.
По основному тригонометрическому тождеству найдем $\sin^2 a$:$\sin^2 a = 1 - \cos^2 a$.Нам дано, что $\cos a = \frac{1}{\sqrt{3}}$, тогда $\cos^2 a = \left(\frac{1}{\sqrt{3}}\right)^2 = \frac{1}{3}$.$\sin^2 a = 1 - \frac{1}{3} = \frac{2}{3}$.
Подставим значения $\cos a$ и $\sin^2 a$ в полученное выражение:$4\sin^2 a \cos a (2\cos^2 a - 1) = 4 \cdot \frac{2}{3} \cdot \frac{1}{\sqrt{3}} \cdot \left(2 \cdot \frac{1}{3} - 1\right) = \frac{8}{3\sqrt{3}} \cdot \left(\frac{2}{3} - 1\right) = \frac{8}{3\sqrt{3}} \cdot \left(-\frac{1}{3}\right) = -\frac{8}{9\sqrt{3}}$.
Избавимся от иррациональности в знаменателе, домножив числитель и знаменатель на $\sqrt{3}$:$-\frac{8}{9\sqrt{3}} = -\frac{8\sqrt{3}}{9\sqrt{3} \cdot \sqrt{3}} = -\frac{8\sqrt{3}}{9 \cdot 3} = -\frac{8\sqrt{3}}{27}$.
Ответ: $-\frac{8\sqrt{3}}{27}$.
Другие задания:
Помогло решение? Оставьте отзыв в комментариях ниже.
Присоединяйтесь к Телеграм-группе @top_gdz
ПрисоединитьсяМы подготовили для вас ответ c подробным объяснением домашего задания по алгебре за 9 класс, для упражнения номер 814 расположенного на странице 225 к учебнику 2019 года издания для учащихся школ и гимназий.
Теперь на нашем сайте ГДЗ.ТОП вы всегда легко и бесплатно найдёте условие с правильным ответом на вопрос «Как решить ДЗ» и «Как сделать» задание по алгебре к упражнению №814 (с. 225), авторов: Солтан (Генадий Николаевич), Солтан (Алла Евгеньевна), Жумадилова (Аманбала Жумадиловна), учебного пособия издательства Кокшетау.