Номер 813, страница 225 - гдз по алгебре 9 класс учебник Солтан, Солтан

Авторы: Солтан Г. Н., Солтан А. Е., Жумадилова А. Ж.
Тип: Учебник
Издательство: Кокшетау
Год издания: 2019 - 2025
Цвет обложки:
ISBN: 978-601-317-424-2
Рекомендовано Министерством образования и науки Республики Казахстан
Популярные ГДЗ в 9 классе
30. Упражнения на повторение раздела «Тригонометрия». IV. Тригонометрия - номер 813, страница 225.
№813 (с. 225)
Условие. №813 (с. 225)
скриншот условия

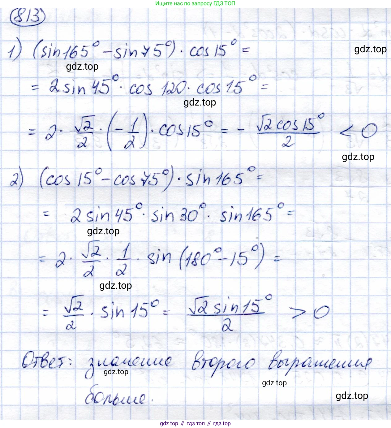
813. Что больше: $(\sin 165^\circ - \sin 75^\circ) \cdot \cos 15^\circ$ или $(\cos 15^\circ - \cos 75^\circ) \times \sin 165^\circ$?
Решение. №813 (с. 225)

Решение 2 (rus). №813 (с. 225)
Чтобы определить, какое из двух выражений больше, мы их упростим и сравним. Обозначим первое выражение как $A$, а второе как $B$.
$A = (\sin 165^\circ - \sin 75^\circ) \cdot \cos 15^\circ$
$B = (\cos 15^\circ - \cos 75^\circ) \cdot \sin 165^\circ$
Для упрощения выражений воспользуемся формулами приведения, чтобы привести все аргументы тригонометрических функций к одному углу, например, $15^\circ$.
$\sin 165^\circ = \sin(180^\circ - 15^\circ) = \sin 15^\circ$
$\sin 75^\circ = \sin(90^\circ - 15^\circ) = \cos 15^\circ$
$\cos 75^\circ = \cos(90^\circ - 15^\circ) = \sin 15^\circ$
Теперь подставим эти значения в исходные выражения:
Упрощение первого выражения:
$A = (\sin 15^\circ - \cos 15^\circ) \cdot \cos 15^\circ = \sin 15^\circ \cos 15^\circ - \cos^2 15^\circ$
Упрощение второго выражения:
$B = (\cos 15^\circ - \sin 15^\circ) \cdot \sin 15^\circ = \cos 15^\circ \sin 15^\circ - \sin^2 15^\circ$
Сравнение полученных выражений:
Нам нужно сравнить $A = \sin 15^\circ \cos 15^\circ - \cos^2 15^\circ$ и $B = \sin 15^\circ \cos 15^\circ - \sin^2 15^\circ$.
Так как слагаемое $\sin 15^\circ \cos 15^\circ$ присутствует в обоих выражениях, для сравнения достаточно сравнить слагаемые $-\cos^2 15^\circ$ и $-\sin^2 15^\circ$.
Сравним сначала значения $\cos 15^\circ$ и $\sin 15^\circ$. Угол $15^\circ$ находится в первой четверти ($0^\circ < 15^\circ < 90^\circ$), где синус и косинус положительны. На интервале $(0^\circ, 45^\circ)$ график косинуса лежит выше графика синуса, поэтому:
$\cos 15^\circ > \sin 15^\circ$
Возведем обе части неравенства в квадрат. Так как обе части положительны, знак неравенства сохранится:
$\cos^2 15^\circ > \sin^2 15^\circ$
Теперь умножим обе части на $-1$. При умножении на отрицательное число знак неравенства меняется на противоположный:
$-\cos^2 15^\circ < -\sin^2 15^\circ$
Наконец, добавим к обеим частям неравенства общее слагаемое $\sin 15^\circ \cos 15^\circ$:
$\sin 15^\circ \cos 15^\circ - \cos^2 15^\circ < \sin 15^\circ \cos 15^\circ - \sin^2 15^\circ$
Таким образом, мы получили, что $A < B$. Это означает, что второе выражение больше первого.
Ответ: $(\cos 15^\circ - \cos 75^\circ) \cdot \sin 165^\circ$ больше, чем $(\sin 165^\circ - \sin 75^\circ) \cdot \cos 15^\circ$.
Другие задания:
Помогло решение? Оставьте отзыв в комментариях ниже.
Присоединяйтесь к Телеграм-группе @top_gdz
ПрисоединитьсяМы подготовили для вас ответ c подробным объяснением домашего задания по алгебре за 9 класс, для упражнения номер 813 расположенного на странице 225 к учебнику 2019 года издания для учащихся школ и гимназий.
Теперь на нашем сайте ГДЗ.ТОП вы всегда легко и бесплатно найдёте условие с правильным ответом на вопрос «Как решить ДЗ» и «Как сделать» задание по алгебре к упражнению №813 (с. 225), авторов: Солтан (Генадий Николаевич), Солтан (Алла Евгеньевна), Жумадилова (Аманбала Жумадиловна), учебного пособия издательства Кокшетау.