Номер 817, страница 225 - гдз по алгебре 9 класс учебник Солтан, Солтан

Авторы: Солтан Г. Н., Солтан А. Е., Жумадилова А. Ж.
Тип: Учебник
Издательство: Кокшетау
Год издания: 2019 - 2025
Цвет обложки:
ISBN: 978-601-317-424-2
Рекомендовано Министерством образования и науки Республики Казахстан
Популярные ГДЗ в 9 классе
30. Упражнения на повторение раздела «Тригонометрия». IV. Тригонометрия - номер 817, страница 225.
№817 (с. 225)
Условие. №817 (с. 225)
скриншот условия

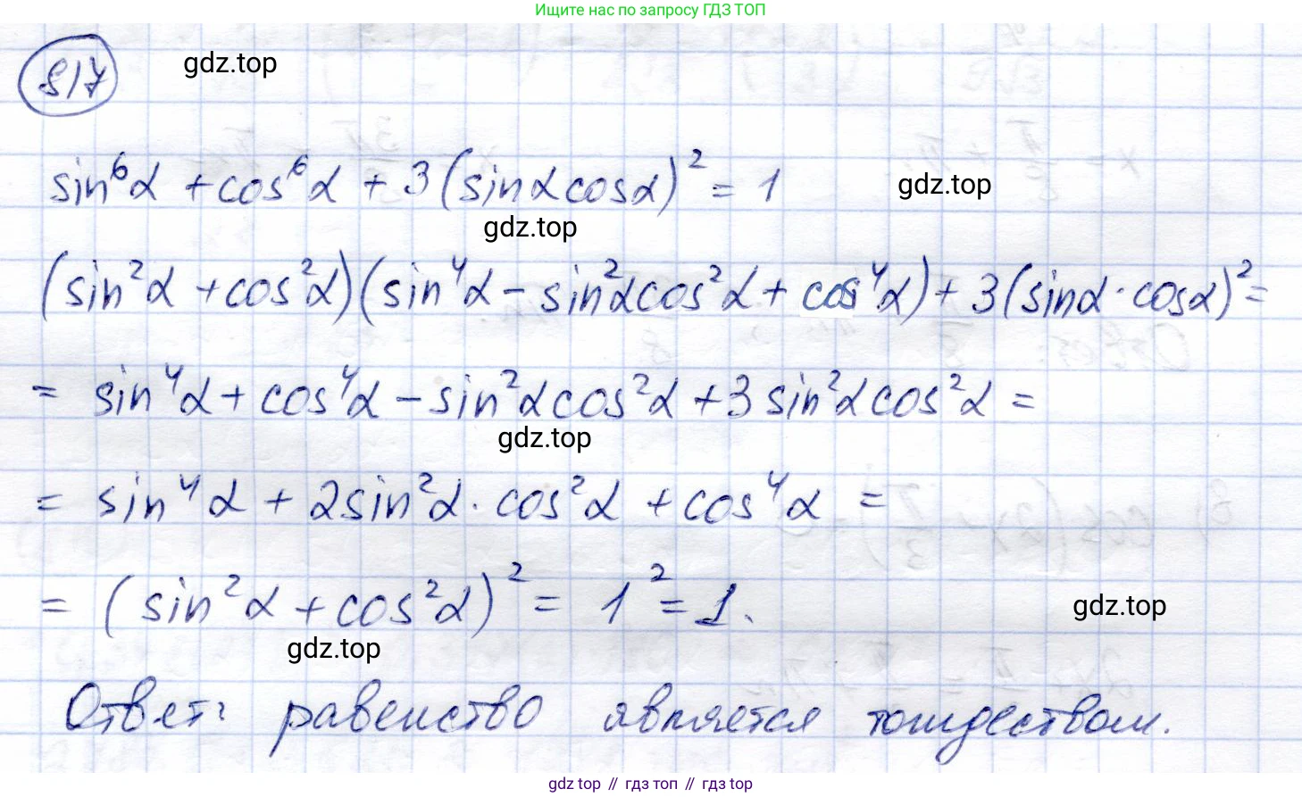
817. Является ли тождеством равенство $\sin^6\alpha + \cos^6\alpha + 3(\sin \alpha \cos \alpha)^2 = 1$?
Решение. №817 (с. 225)

Решение 2 (rus). №817 (с. 225)
Чтобы проверить, является ли равенство $ \sin^6\alpha + \cos^6\alpha + 3(\sin\alpha \cos\alpha)^2 = 1 $ тождеством, мы преобразуем его левую часть и сравним с правой.
Для преобразования воспользуемся основным тригонометрическим тождеством: $ \sin^2\alpha + \cos^2\alpha = 1 $.
Возведем обе части этого тождества в третью степень (в куб). Для левой части применим формулу куба суммы: $ (a+b)^3 = a^3 + b^3 + 3ab(a+b) $.
Пусть $ a = \sin^2\alpha $ и $ b = \cos^2\alpha $. Тогда:
$ (\sin^2\alpha + \cos^2\alpha)^3 = 1^3 $
Раскрывая скобки по формуле, получаем:
$ (\sin^2\alpha)^3 + (\cos^2\alpha)^3 + 3(\sin^2\alpha)(\cos^2\alpha)(\sin^2\alpha + \cos^2\alpha) = 1 $
Упростим выражение. Так как $ (\sin^2\alpha)^3 = \sin^6\alpha $, $ (\cos^2\alpha)^3 = \cos^6\alpha $ и $ \sin^2\alpha + \cos^2\alpha = 1 $, подставим эти значения в уравнение:
$ \sin^6\alpha + \cos^6\alpha + 3(\sin^2\alpha \cos^2\alpha)(1) = 1 $
$ \sin^6\alpha + \cos^6\alpha + 3\sin^2\alpha \cos^2\alpha = 1 $
Выражение $ 3\sin^2\alpha \cos^2\alpha $ можно переписать как $ 3(\sin\alpha \cos\alpha)^2 $. Подставив это в наше уравнение, мы получим левую часть исходного равенства:
$ \sin^6\alpha + \cos^6\alpha + 3(\sin\alpha \cos\alpha)^2 = 1 $
Мы показали, что левая часть равенства тождественно равна 1 при любых допустимых значениях $ \alpha $. Следовательно, исходное равенство является тождеством.
Ответ: да, является.
Другие задания:
Помогло решение? Оставьте отзыв в комментариях ниже.
Присоединяйтесь к Телеграм-группе @top_gdz
ПрисоединитьсяМы подготовили для вас ответ c подробным объяснением домашего задания по алгебре за 9 класс, для упражнения номер 817 расположенного на странице 225 к учебнику 2019 года издания для учащихся школ и гимназий.
Теперь на нашем сайте ГДЗ.ТОП вы всегда легко и бесплатно найдёте условие с правильным ответом на вопрос «Как решить ДЗ» и «Как сделать» задание по алгебре к упражнению №817 (с. 225), авторов: Солтан (Генадий Николаевич), Солтан (Алла Евгеньевна), Жумадилова (Аманбала Жумадиловна), учебного пособия издательства Кокшетау.