Номер 819, страница 225 - гдз по алгебре 9 класс учебник Солтан, Солтан

Авторы: Солтан Г. Н., Солтан А. Е., Жумадилова А. Ж.
Тип: Учебник
Издательство: Кокшетау
Год издания: 2019 - 2025
Цвет обложки:
ISBN: 978-601-317-424-2
Рекомендовано Министерством образования и науки Республики Казахстан
Популярные ГДЗ в 9 классе
30. Упражнения на повторение раздела «Тригонометрия». IV. Тригонометрия - номер 819, страница 225.
№819 (с. 225)
Условие. №819 (с. 225)
скриншот условия


819. Алихан получил задание: упростить выражение
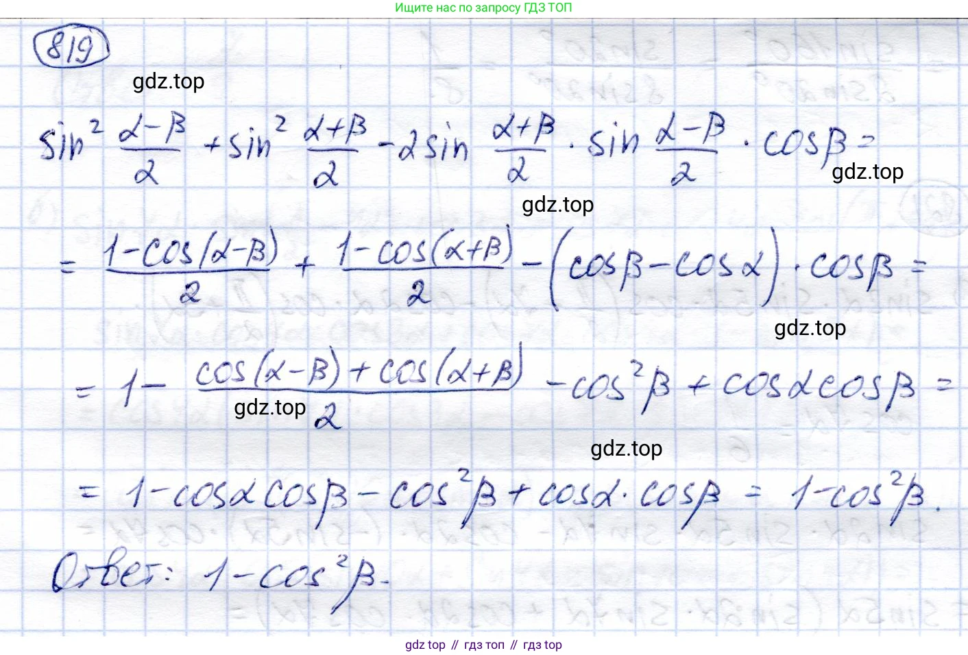
$\sin^2 \frac{\alpha - \beta}{2} + \sin^2 \frac{\alpha + \beta}{2} - 2\sin \frac{\alpha + \beta}{2} \cdot \sin \frac{\alpha - \beta}{2} \cdot \cos \beta.$ Он провел следующие преобразования этого выражения:
$\frac{1 - \cos(\alpha - \beta)}{2} + \frac{1 - \cos(\alpha + \beta)}{2} - (\cos \alpha + \cos \beta) \cdot \cos \beta =$
$= 1 - \frac{\cos(\alpha - \beta) + \cos(\alpha + \beta)}{2} - \cos \alpha \cdot \cos \beta - \cos^2\beta =$
$= 1 - \cos \alpha \cdot \cos \beta - \cos \alpha \cdot \cos \beta - \cos^2\beta = \sin^2\beta - 2\cos \alpha \cdot \cos \beta.$
Софии было поручено проверить, получил ли Алихан правильный ответ. Она вместо $\alpha$ и $\beta$ подставила в исходное и последнее выражение $0$ и получила неверное равенство $0 = -2.$
Следовательно, ответ неправильный. Найдите ошибку в преобразованиях Алихана и выполните задание правильно.
Решение. №819 (с. 225)

Решение 2 (rus). №819 (с. 225)
Найдите ошибку в преобразованиях Алихана
Алихан получил задание упростить выражение $ \sin^2\frac{\alpha - \beta}{2} + \sin^2\frac{\alpha + \beta}{2} - 2\sin\frac{\alpha + \beta}{2} \cdot \sin\frac{\alpha - \beta}{2} \cdot \cos\beta $.
Приступая к решению, он совершил ошибку в первом же шаге преобразования, неверно применив формулу для произведения синусов. В его решении слагаемое $ - 2\sin\frac{\alpha + \beta}{2} \cdot \sin\frac{\alpha - \beta}{2} \cdot \cos\beta $ было преобразовано с использованием неверного равенства $ 2\sin\frac{\alpha + \beta}{2} \sin\frac{\alpha - \beta}{2} = (\cos\alpha + \cos\beta) $.
Правильная формула преобразования произведения синусов в сумму (разность) косинусов выглядит так: $ 2\sin A \sin B = \cos(A-B) - \cos(A+B) $.
Применяя эту формулу к нашему случаю, где $ A = \frac{\alpha+\beta}{2} $ и $ B = \frac{\alpha-\beta}{2} $, получаем:
$ 2\sin\frac{\alpha + \beta}{2} \sin\frac{\alpha - \beta}{2} = \cos\left(\frac{\alpha + \beta}{2} - \frac{\alpha - \beta}{2}\right) - \cos\left(\frac{\alpha + \beta}{2} + \frac{\alpha - \beta}{2}\right) = \cos\beta - \cos\alpha $.
Таким образом, Алихан должен был использовать выражение $ (\cos\beta - \cos\alpha) $ вместо $ (\cos\alpha + \cos\beta) $, что и привело к неверному конечному результату.
Ответ: Ошибка Алихана заключается в неверном применении формулы преобразования произведения синусов в сумму. Он заменил выражение $2\sin\frac{\alpha + \beta}{2} \sin\frac{\alpha - \beta}{2}$ на $(\cos\alpha + \cos\beta)$, в то время как правильное преобразование дает $(\cos\beta - \cos\alpha)$.
Выполните задание правильно
Упростим исходное выражение, используя правильные тригонометрические формулы.
Исходное выражение: $ E = \sin^2\frac{\alpha - \beta}{2} + \sin^2\frac{\alpha + \beta}{2} - 2\sin\frac{\alpha + \beta}{2} \cdot \sin\frac{\alpha - \beta}{2} \cdot \cos\beta $.
1. Преобразуем первые два слагаемых, используя формулу понижения степени $ \sin^2 x = \frac{1-\cos(2x)}{2} $:
$ \sin^2\frac{\alpha - \beta}{2} + \sin^2\frac{\alpha + \beta}{2} = \frac{1 - \cos(\alpha - \beta)}{2} + \frac{1 - \cos(\alpha + \beta)}{2} $
$ = \frac{1 - \cos(\alpha - \beta) + 1 - \cos(\alpha + \beta)}{2} = \frac{2 - (\cos(\alpha - \beta) + \cos(\alpha + \beta))}{2} $
2. Применим формулу суммы косинусов $ \cos(\alpha - \beta) + \cos(\alpha + \beta) = 2\cos\alpha\cos\beta $. Подставим это в выражение:
$ \frac{2 - 2\cos\alpha\cos\beta}{2} = 1 - \cos\alpha\cos\beta $.
3. Теперь преобразуем третье слагаемое, используя правильную формулу произведения синусов $ 2\sin\frac{\alpha + \beta}{2} \sin\frac{\alpha - \beta}{2} = \cos\beta - \cos\alpha $:
$ -2\sin\frac{\alpha + \beta}{2} \sin\frac{\alpha - \beta}{2} \cdot \cos\beta = -(\cos\beta - \cos\alpha) \cdot \cos\beta = -\cos^2\beta + \cos\alpha\cos\beta $.
4. Сложим результаты преобразований:
$ E = (1 - \cos\alpha\cos\beta) + (-\cos^2\beta + \cos\alpha\cos\beta) $
$ E = 1 - \cos\alpha\cos\beta - \cos^2\beta + \cos\alpha\cos\beta $
$ E = 1 - \cos^2\beta $.
5. Используя основное тригонометрическое тождество $ \sin^2\beta + \cos^2\beta = 1 $, получаем окончательный результат:
$ E = \sin^2\beta $.
Ответ: $ \sin^2\beta $.
Другие задания:
Помогло решение? Оставьте отзыв в комментариях ниже.
Присоединяйтесь к Телеграм-группе @top_gdz
ПрисоединитьсяМы подготовили для вас ответ c подробным объяснением домашего задания по алгебре за 9 класс, для упражнения номер 819 расположенного на странице 225 к учебнику 2019 года издания для учащихся школ и гимназий.
Теперь на нашем сайте ГДЗ.ТОП вы всегда легко и бесплатно найдёте условие с правильным ответом на вопрос «Как решить ДЗ» и «Как сделать» задание по алгебре к упражнению №819 (с. 225), авторов: Солтан (Генадий Николаевич), Солтан (Алла Евгеньевна), Жумадилова (Аманбала Жумадиловна), учебного пособия издательства Кокшетау.