Номер 828, страница 227 - гдз по алгебре 9 класс учебник Солтан, Солтан

Авторы: Солтан Г. Н., Солтан А. Е., Жумадилова А. Ж.
Тип: Учебник
Издательство: Кокшетау
Год издания: 2019 - 2025
Цвет обложки:
ISBN: 978-601-317-424-2
Рекомендовано Министерством образования и науки Республики Казахстан
Популярные ГДЗ в 9 классе
30. Упражнения на повторение раздела «Тригонометрия». IV. Тригонометрия - номер 828, страница 227.
№828 (с. 227)
Условие. №828 (с. 227)
скриншот условия

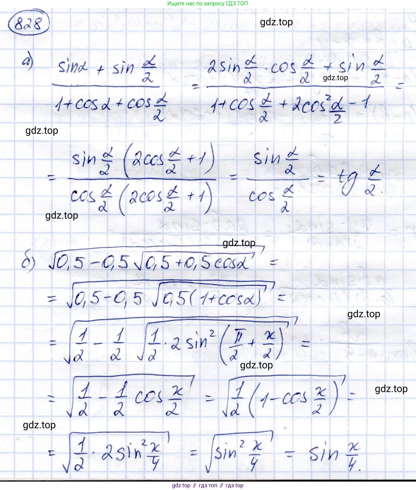
828. Упростите выражение:
a) $ \frac{\sin \alpha + \sin \frac{\alpha}{2}}{1 + \cos \alpha + \cos \frac{\alpha}{2}} $;
б) $ \sqrt{0.5 - 0.5\sqrt{0.5 + 0.5\cos \alpha}} $, если $ 0 < \alpha < \pi $.
Решение. №828 (с. 227)

Решение 2 (rus). №828 (с. 227)
а)
Для упрощения выражения $\frac{\sin \alpha + \sin \frac{\alpha}{2}}{1 + \cos \alpha + \cos \frac{\alpha}{2}}$ воспользуемся формулами двойного угла, выразив $\sin \alpha$ и $\cos \alpha$ через توابع угла $\frac{\alpha}{2}$.
Применим формулы:
$\sin \alpha = 2 \sin \frac{\alpha}{2} \cos \frac{\alpha}{2}$
$\cos \alpha = 2 \cos^2 \frac{\alpha}{2} - 1$, откуда $1 + \cos \alpha = 2 \cos^2 \frac{\alpha}{2}$.
Преобразуем числитель дроби:
$\sin \alpha + \sin \frac{\alpha}{2} = 2 \sin \frac{\alpha}{2} \cos \frac{\alpha}{2} + \sin \frac{\alpha}{2} = \sin \frac{\alpha}{2} (2 \cos \frac{\alpha}{2} + 1)$.
Преобразуем знаменатель дроби:
$1 + \cos \alpha + \cos \frac{\alpha}{2} = 2 \cos^2 \frac{\alpha}{2} + \cos \frac{\alpha}{2} = \cos \frac{\alpha}{2} (2 \cos \frac{\alpha}{2} + 1)$.
Теперь подставим преобразованные числитель и знаменатель обратно в дробь:
$\frac{\sin \frac{\alpha}{2} (2 \cos \frac{\alpha}{2} + 1)}{\cos \frac{\alpha}{2} (2 \cos \frac{\alpha}{2} + 1)}$.
При условии, что $2 \cos \frac{\alpha}{2} + 1 \ne 0$, мы можем сократить общий множитель:
$\frac{\sin \frac{\alpha}{2}}{\cos \frac{\alpha}{2}} = \tan \frac{\alpha}{2}$.
Ответ: $\tan \frac{\alpha}{2}$.
б)
Упростим выражение $\sqrt{0.5 - 0.5\sqrt{0.5 + 0.5\cos \alpha}}$ при условии $0 < \alpha < \pi$.
Начнем с внутреннего подкоренного выражения: $0.5 + 0.5\cos \alpha$.
Используя формулу понижения степени $1 + \cos \alpha = 2 \cos^2 \frac{\alpha}{2}$, получаем:
$0.5 + 0.5\cos \alpha = 0.5(1 + \cos \alpha) = 0.5 \cdot 2 \cos^2 \frac{\alpha}{2} = \cos^2 \frac{\alpha}{2}$.
Теперь исходное выражение принимает вид:
$\sqrt{0.5 - 0.5\sqrt{\cos^2 \frac{\alpha}{2}}} = \sqrt{0.5 - 0.5|\cos \frac{\alpha}{2}|}$.
По условию $0 < \alpha < \pi$, следовательно, $0 < \frac{\alpha}{2} < \frac{\pi}{2}$. В этом интервале (I четверть) косинус положителен, поэтому $|\cos \frac{\alpha}{2}| = \cos \frac{\alpha}{2}$.
Выражение упрощается до:
$\sqrt{0.5 - 0.5\cos \frac{\alpha}{2}}$.
Снова вынесем общий множитель и применим формулу понижения степени $1 - \cos \beta = 2 \sin^2 \frac{\beta}{2}$ для $\beta = \frac{\alpha}{2}$:
$0.5(1 - \cos \frac{\alpha}{2}) = 0.5 \cdot 2 \sin^2 \frac{\alpha/2}{2} = \sin^2 \frac{\alpha}{4}$.
Таким образом, мы получаем:
$\sqrt{\sin^2 \frac{\alpha}{4}} = |\sin \frac{\alpha}{4}|$.
Из условия $0 < \alpha < \pi$ следует, что $0 < \frac{\alpha}{4} < \frac{\pi}{4}$. В этом интервале (I четверть) синус положителен, поэтому $|\sin \frac{\alpha}{4}| = \sin \frac{\alpha}{4}$.
Ответ: $\sin \frac{\alpha}{4}$.
Другие задания:
Помогло решение? Оставьте отзыв в комментариях ниже.
Присоединяйтесь к Телеграм-группе @top_gdz
ПрисоединитьсяМы подготовили для вас ответ c подробным объяснением домашего задания по алгебре за 9 класс, для упражнения номер 828 расположенного на странице 227 к учебнику 2019 года издания для учащихся школ и гимназий.
Теперь на нашем сайте ГДЗ.ТОП вы всегда легко и бесплатно найдёте условие с правильным ответом на вопрос «Как решить ДЗ» и «Как сделать» задание по алгебре к упражнению №828 (с. 227), авторов: Солтан (Генадий Николаевич), Солтан (Алла Евгеньевна), Жумадилова (Аманбала Жумадиловна), учебного пособия издательства Кокшетау.